Optimal Design of a Dual-Pressure Steam Turbine for Rankine Cycle Based on Constructal Theory
Abstract
:1. Introduction
2. Marine DPST Model
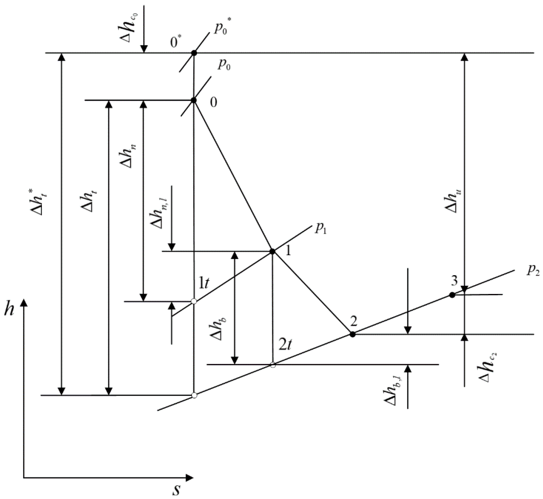
2.1. ST Model with Axial Flow
2.1.1. Expansion Process of the Steam in the Nozzle
2.1.2. Flow and Energy Conversion Processes of the Steam in a Rotating Cascade
2.1.3. Loss Model in the Stage
2.1.4. Internal Power of the Stage
2.1.5. Volume of the DPST
2.2. Performance of the DPST
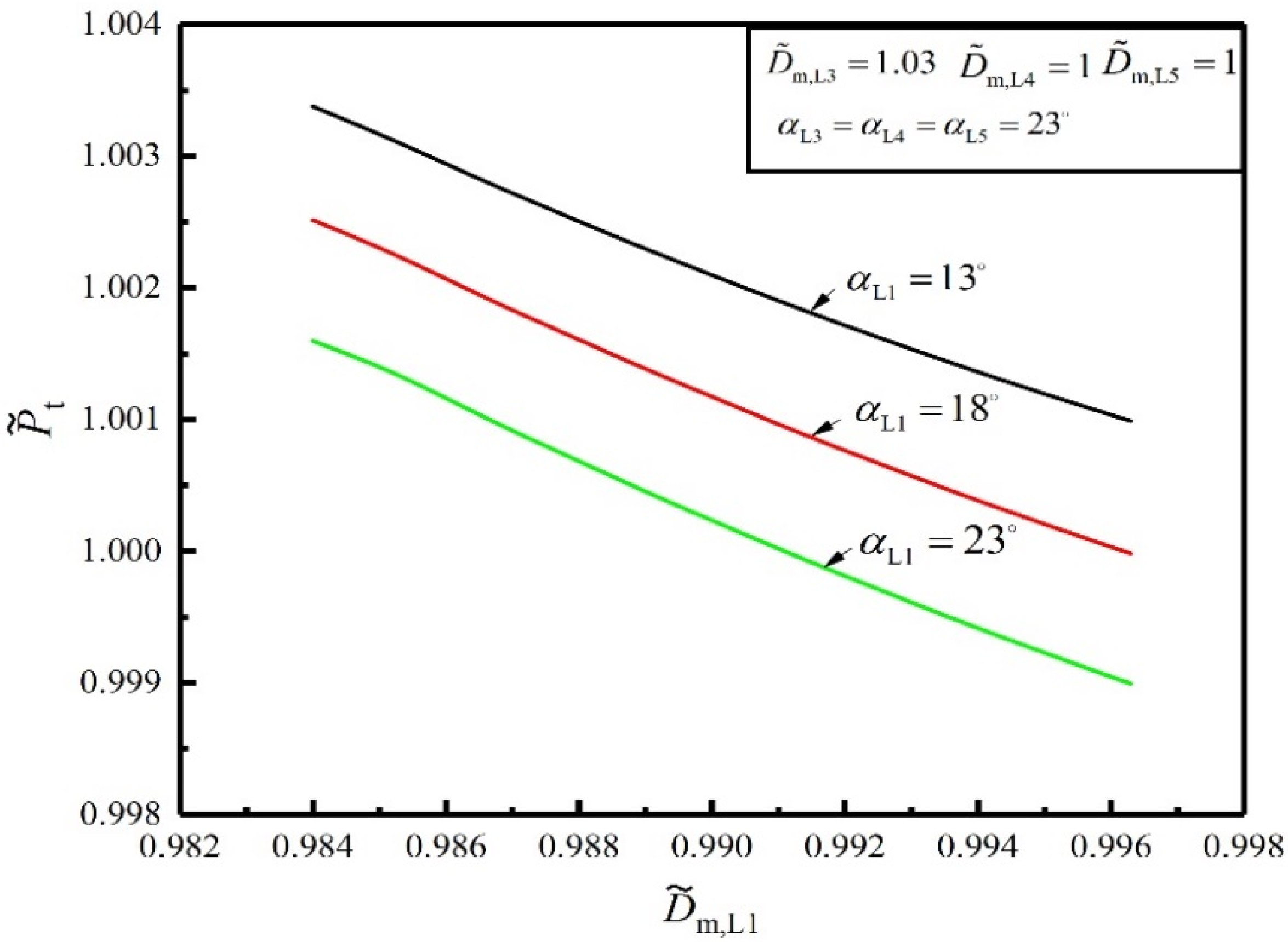
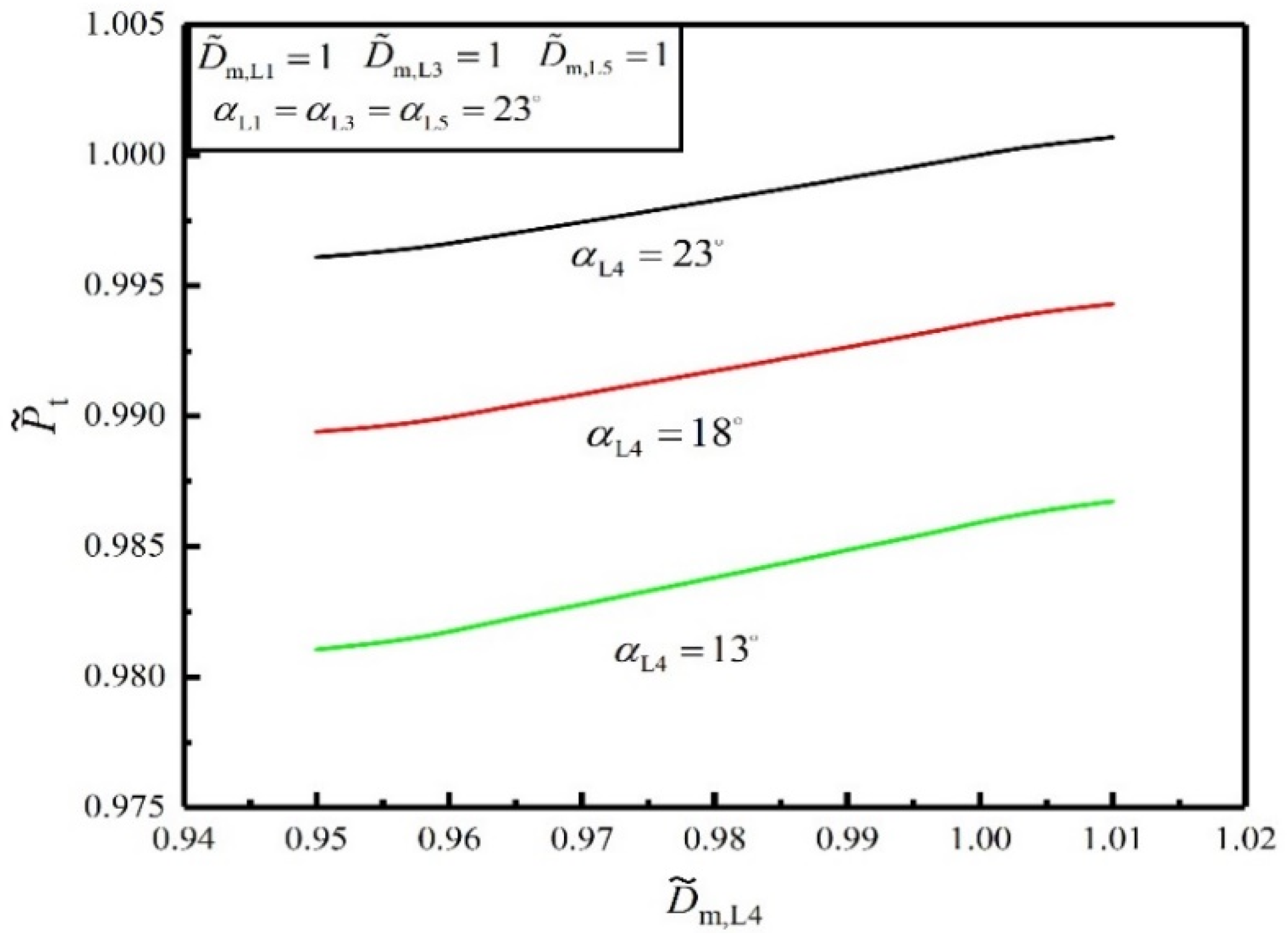
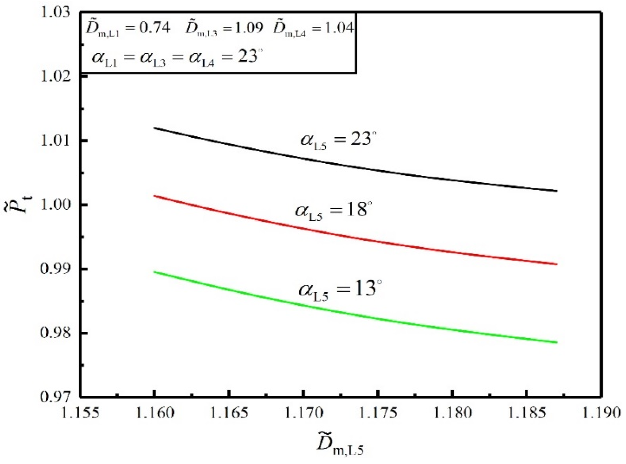
3. Optimal Design of the DPST Based on Constructal Theory
4. Conclusions
Author Contributions
Funding
Institutional Review Board Statement
Informed Consent Statement
Acknowledgments
Conflicts of Interest
Nomenclature
| Empirical coefficient | |
| Stage type coefficient | |
| Absolute velocity (m/s) | |
| Average diameter of the turbine casing (m) | |
| Average diameter of the rotating cascade (m) | |
| Average diameter of the stage (m) | |
| Average diameter of the stationary cascade (m) | |
| Length ratio | |
| Empirical coefficient | |
| Maximum length of the ST (m) | |
| Cascade height (m) | |
| Height of the rotating blade (m) | |
| Steam mass flow rate of the stage (kg/s) | |
| Rotational speed (Revolutions/s) | |
| Internal power (kW) | |
| Power output of the high-pressure ST (kW) | |
| Power output of the low-pressure ST (kW) | |
| Total power output of the multistage ST (kW) | |
| Theoretical power output of the ST (kW) | |
| Pressure (Pa) | |
| Circumferential velocity (m/s) | |
| Volume of the high-pressure ST (m3) | |
| Volume of the low-pressure ST (m3) | |
| Total volume of the dual-pressure ST (m3) | |
| Average specific volume of the steam (m−3) | |
| Relative velocity (m/s) | |
| Average dryness of the steam | |
| Volume ratio of the high-pressure ST | |
| Group number of the nozzles | |
| Greek symbols | |
| Absolute angle (degree) | |
| Relative angle (degree) | |
| Efficiency of the dual-pressure ST | |
| Utilization coefficient | |
| Discharge coefficient | |
| Nozzle velocity coefficient | |
| Speed coefficient | |
| Enthalpy drop (kJ) | |
| Leakage mass flow rate of the steam (m/s) | |
| Friction power consumption of the impeller (kW) | |
| Average reaction degree | |
| Superscript | |
| Dimensionless | |
| * | Stagnation state |
| . | Rate |
| Subscripts | |
| b | Rotating blade |
| DSH | Curtis stage of the high-pressure |
| H | High-pressure |
| i | Internal |
| L | Low-pressure |
| m | Middle |
| max | Maximum |
| n | nozzle |
| T | Total |
| the | Theoretical |
| 0 | State point at the inlet of the nozzle |
| 1, 2 | State points at the inlet and outlet of the rotating blade |
| Abbreviations | |
| ARD | Average reaction degree |
| DAD | Dimensionless average diameter |
| DPST | Dual-pressure steam turbine |
| PO | Power output |
| SIA | Steam inlet angle |
| ST | Steam turbine |
References
- Saito, E.; Matsuno, N.; Tanaka, K.; Nishimoto, S.; Yamamoto, R.; Imano, S. Latest technologies and future prospects for a new steam turbine. Mitsubishi Heavy Ind. Tech. Rev. 2015, 52, 39. [Google Scholar]
- Shibaev, T.L. A review of trends in development of cogeneration steam turbine units. Thermal Eng. 2020, 67, 903–908. [Google Scholar] [CrossRef]
- Chen, L.G.; Zhang, J.M.; Wu, C.; Sun, F.R. Analysis of multi-objective decision-making for marine steam turbine stage. Int. J. Power Energy Syst. 1998, 18, 96–101. [Google Scholar]
- Qin, X.Y.; Chen, L.G.; Sun, F.R.; Wu, C. Optimization for a steam turbine stage efficiency using a genetic algorithm. Appl. Thermal Eng. 2003, 23, 2307–2316. [Google Scholar] [CrossRef]
- Ni, H.; Xiao, H.; Zeng, F.M.; Sun, F.R. Segmented lumped parameter modeling of steam turbine based on cascade calculation. J. System Simul. 2014, 26, 294–299. (In Chinese) [Google Scholar]
- Abadi, S.M.A.N.R.; Ahmadpour, A.; Abadi, S.M.N.R.; Meyer, J.P. CFD-based shape optimization of steam turbine blade cascade in transonic two phase flows. Appl. Thermal Eng. 2017, 112, 1575–1589. [Google Scholar] [CrossRef] [Green Version]
- Anđelić, N.; Mrzljak, V.; Lorencin, I.; Baressi Segota, S. Comparison of exergy and various energy analysis methods for a main marine steam turbine at different loads. Pomor. Zb. 2020, 59, 9–34. [Google Scholar] [CrossRef]
- Zhao, X.D.; Li, A.; Zhang, Y.J.; Ma, L.Q.; Ge, Z.H.; Du, X.Z. Performance improvement of low-pressure cylinder in high back pressure steam turbine for direct heating. Appl. Thermal Eng. 2021, 182, 116170. [Google Scholar] [CrossRef]
- Vedran, M.; Jasna, P.O.; Igor, P.; Ivica, G. Energy evaluation of a steam turbine from solar-based combined cycle power plant. Mach. Tech. Mater. 2022, 16, 86–89. [Google Scholar]
- Klonowicz, P.; Lampart, P.; Suchocki, T.; Zaniewski, D.; Klimaszewski, P. Optimization of an axial turbine for a small scale ORC waste heat recovery system. Energy 2020, 205, 118059. [Google Scholar]
- Klun, M.; Guzović, Z.; Rašković, P. Innovative small axial multistage turbine with partial admission for bottoming ORC. Energy Rep. 2021, 7, 9069–9093. [Google Scholar] [CrossRef]
- Symes, R.; Djaname, T.N.; Deligant, M.; Sauret, E. Design and optimization of a radial inflow turbine for use with a low temperature ORC. Energies 2021, 14, 8526. [Google Scholar] [CrossRef]
- Grönman, A.; Uusitalo, A. Analysis of radial-outflow turbine design for supercritical CO2 and comparison to radial-inflow turbines. Energy Convers. Mgmt. 2022, 252, 115089. [Google Scholar] [CrossRef]
- Bejan, A. Street network theory of organization in nature. J. Adv. Transp. 1996, 30, 85–107. [Google Scholar] [CrossRef]
- Bejan, A. Constructal-theory network of conducting paths for cooling a heat generating volume. Int. J. Heat Mass Transf. 1997, 40, 799–816. [Google Scholar] [CrossRef]
- Bejan, A.; Lorente, S. Design with Constructal Theory; Wiley: Hoboken, NJ, USA, 2008. [Google Scholar]
- Chen, L.G. Progress in study on constructal theory and its applications. Sci. China: Tech. Sci. 2012, 42, 505–524. [Google Scholar] [CrossRef]
- Chen, L.G.; Feng, H.J. Multi-objective Constructal Optimization for Flow and Heat and Mass Transfer Processes; Science Press: Beijing, China, 2017. [Google Scholar]
- Chen, L.G.; Feng, H.J.; Xie, Z.H.; Sun, F.R. Progress of constructal theory in China over the past decade. Int. J. Heat Mass Transf. 2019, 130, 393–419. [Google Scholar] [CrossRef]
- Chen, L.G.; Wu, W.H.; Feng, H.J. Constructal Design for Heat Conduction; Book Publisher International: London, UK, 2021. [Google Scholar]
- Hajmohammadi, M.R.; Bahrami, M.; Ahmadian-Elmi, M. Thermal performance improvement of microchannel heat sinks by utilizing variable cross-section microchannels filled with porous media. Int. Comm. Heat Mass Transf. 2021, 126, 105360. [Google Scholar] [CrossRef]
- Zhu, H.W.; Chen, L.G.; Ge, Y.L.; Feng, H.J. Constructal entropy generation rate minimization of heat conduction for leaf-shaped quadrilateral heat generation body. Euro. Phys. J. Plus 2022, 137, 275. [Google Scholar] [CrossRef]
- Gungor, S.; Cetkin, E.; Lorente, S. Canopy-to-canopy liquid cooling for the thermal management of lithium-ion batteries, a constructal approach. Int. J. Heat Mass Transf. 2022, 182, 121918. [Google Scholar] [CrossRef]
- Sun, K.; Feng, H.J.; Chen, L.G.; Ge, Y.L. Constructal design of a cooling channel with semi-circular sidewall ribs in a rectangular heat generation body. Int. Comm. Heat Mass Transfer 2022, 134, 106040. [Google Scholar] [CrossRef]
- Bejan, A. Heat Transfer: Evolution, Design and Performance; Wiley: Hoboken, NJ, USA, 2022. [Google Scholar]
- Bejan, A.; Gunes, U. Virus spreading and heat spreading. Int. J. Thermal Sci. 2022, 174, 107433. [Google Scholar] [CrossRef]
- Xie, Z.J.; Feng, H.J.; Chen, L.G.; Wu, Z.X. Constructal design for supercharged boiler evaporator. Int. J. Heat Mass Transf. 2019, 138, 571–579. [Google Scholar] [CrossRef]
- Feng, H.J.; Xie, Z.J.; Chen, L.G.; Wu, Z.X.; Xia, S.J. Constructal design for supercharged boiler superheater. Energy 2020, 191, 116484. [Google Scholar] [CrossRef]
- Tang, W.; Feng, H.J.; Chen, L.G.; Xie, Z.J.; Shi, J.C. Constructal design for a boiler economizer. Energy 2021, 223, 120013. [Google Scholar] [CrossRef]
- Guarino, F.; Cellura, M.; Traverso, M. Costructal law, exergy analysis and life cycle energy sustainability assessment: An expanded framework applied to a boiler. Int. J. Life Cycle Assess. 2020, 25, 2063–2085. [Google Scholar] [CrossRef]
- Feng, H.J.; Chen, L.G.; Xie, Z.J.; Tang, W.; Ge, Y.L. Multi-objective constructal design for a marine boiler considering entropy generation rate and power consumption. Energy Rep. 2022, 8, 1519–1527. [Google Scholar] [CrossRef]
- Nejad, A.H.; Ekici, K.; Sabau, A.S.; Bejan, A.; Arimilli, R.V. Counter cross-flow evaporator geometries for supercritical organic Rankine cycles. Int. J. Heat Mass Transf. 2019, 135, 425–435. [Google Scholar] [CrossRef]
- Feng, H.J.; Chen, L.G.; Wu, Z.X.; Xie, Z.J. Constructal design of a shell-and-tube heat exchanger for organic fluid evaporation process. Int. J. Heat Mass Transf. 2019, 131, 750–756. [Google Scholar] [CrossRef]
- Wu, Z.X.; Feng, H.J.; Chen, L.G.; Xie, Z.J.; Cai, C.G. Pumping power minimization of an evaporator in ocean thermal energy conversion system based on constructal theory. Energy 2019, 181, 974–984. [Google Scholar] [CrossRef]
- Cai, C.G.; Feng, H.J.; Chen, L.G.; Wu, Z.X.; Xie, Z.J. Constructal design of a shell-and-tube evaporator with ammonia-water working fluid. Int. J. Heat Mass Transf. 2019, 135, 541–547. [Google Scholar] [CrossRef]
- Bejan, A.; Lee, J.; Lorente, S.; Kim, Y. The evolutionary design of condensers. J. Appl. Phys. 2015, 117, 125101. [Google Scholar] [CrossRef]
- Feng, H.J.; Cai, C.G.; Chen, L.G.; Wu, Z.X.; Lorenzini, G. Constructal design of a shell-and-tube condenser with ammonia-water working fluid. Int. Comm. Heat Mass Transf. 2020, 118, 104867. [Google Scholar] [CrossRef]
- Wu, Z.X.; Feng, H.J.; Chen, L.G.; Ge, Y.L. Performance optimization of a condenser in OTECS based on constructal theory and multi-objective genetic algorithm. Entropy 2020, 22, 641. [Google Scholar] [CrossRef]
- Feng, H.J.; Tang, W.; Chen, L.G.; Shi, J.C.; Wu, Z.X. Multi-objective constructal optimization for marine condensers. Energies 2021, 14, 5545. [Google Scholar] [CrossRef]
- Bejan, A.; Lorente, S.; Kang, D.H. Constructal design of regenerators. Int. J. Energy Res. 2013, 37, 1509–1518. [Google Scholar] [CrossRef]
- Hajabdollahi, H.; Dehaj, M.S. Rotary regenerator: Constructal thermoeconomic optimization. J. Taiwan Inst. Chem. Eng. 2020, 113, 231–240. [Google Scholar] [CrossRef]
- Kim, Y.S.; Lorente, S.; Bejan, A. Distribution of size in steam turbine power plants. Int. J. Energy Res. 2009, 33, 989–998. [Google Scholar] [CrossRef]
- Beyene, A.; Peffley, J. Constructal theory, adaptive motion, and their theoretical application to low-speed turbine design. J. Energy Eng. 2009, 135, 112–118. [Google Scholar] [CrossRef]
- Feng, H.J.; Chen, L.G.; Xie, Z.H.; Sun, F.R. Constructal design for gas-turbine blade based on minimization of maximum thermal resistance. Appl. Therm. Eng. 2015, 90, 792–797. [Google Scholar] [CrossRef]
- Stanescu, G.; Barbu, E.; Vilag, V.; Andreescu, T. Constructal approach on the feasibility of compressed air temperature control by evaporative cooling in gas turbine power plants. Proc. Rom. Acad. Ser. A 2018, 19, 201–206. [Google Scholar]
- Wu, Z.X.; Feng, H.J.; Chen, L.G.; Xie, Z.J.; Cai, C.G.; Xia, S.J. Optimal design of dual-pressure turbine in OTEC system based on constructal theory. Energy Convers. Manag. 2019, 201, 112179. [Google Scholar] [CrossRef]
- Chen, L.G.; Wu, Z.X.; Feng, H.J.; Ge, Y.L. Constructal design for dual-pressure axial-flow turbine in organic Rankine cycle. Energy Rep. 2022, 8, 45–55. [Google Scholar] [CrossRef]
- Wu, Z.X.; Feng, H.J.; Chen, L.G.; Tang, W.; Shi, J.C.; Ge, Y.L. Constructal thermodynamic optimization for ocean thermal energy conversion system with dual-pressure organic Rankine cycle. Energy Convers. Manag. 2020, 210, 112727. [Google Scholar] [CrossRef]
- Feng, H.J.; Wu, Z.X.; Chen, L.G.; Ge, Y.L. Constructal thermodynamic optimization for dual-pressure organic Rankine cycle in waste heat utilization system. Energy Convers. Manag. 2021, 227, 113585. [Google Scholar] [CrossRef]
- Wu, Z.X.; Chen, L.G.; Feng, H.J.; Ge, Y.L. Constructal thermodynamic optimization for a novel Kalina-organic Rankine combined cycle to utilize waste heat. Energy Rep. 2021, 7, 6095–6106. [Google Scholar] [CrossRef]
- Xiao, Z.H.; Sheng, W. Steam Turbine Equipment and System; China Electric Power Press: Beijng, China, 2008. (In Chinese) [Google Scholar]














| Items | Expressions | Equation Numbers |
|---|---|---|
| Nozzle energy loss | Equation (4) | |
| Rotating blade loss | Equation (13) | |
| Residual speed loss | Equation (14) | |
| Spanwise loss | Equation (16) | |
| Sector loss | Equation (17) | |
| Impeller friction loss | Equation (19) | |
| Admission loss | Equation (23) | |
| Steam leakage loss | Equation (25) | |
| Wet steam loss | Equation (29) | |
| Effective enthalpy drop of the stage | Equation (30) | |
| Internal power () of the stage | Equation (31) |
| Items | Contents |
|---|---|
| Constant parameters | Steam mass flow rate (), pressure (), temperature (), total volume () and rotational speed () |
| Design variables | DADs (, , , , , and ), SIAs (, , and ), ARDs (, , , and ) and volume ratio () |
| Optimization objective | Total PO () of the multistage DPST |
| Constraints | Total volume () of the DPST and increasing average DADs of the stages along the flow direction |
| Number | Variables | Names of the Variables | Variation Ranges |
|---|---|---|---|
| 1 | DAD of the Curtis stage | 0.69~1.32 | |
| 2 | DAD of the third stage from last of the high-pressure ST | 0.69~1.32 | |
| 3 | DAD of the last stage of the high-pressure ST | 0.67~1.27 | |
| 4 | DAD of the first stage of the low-pressure ST | 0.86~1.36 | |
| 5 | DAD of the third stage of the low-pressure ST | 0.80~1.26 | |
| 6 | DAD of the fourth stage of the low-pressure ST | 0.76~1.20 | |
| 7 | DAD of the fifth stage of the low-pressure ST | 0.70~1.0 | |
| 8 | SIA of the first row of the rotating blade for the Curtis stage | 8~25° | |
| 9 | SIA of the second row of the rotating blade for the Curtis stage | 8~25° | |
| 10 | ARD of the first row of the rotating blade for the Curtis stage | 0.05~0.2 | |
| 11 | ARD of the guide vane for the Curtis stage | 0.05~0.2 | |
| 12 | ARD of the second row of the rotating blade for the Curtis stage | 0.05~0.2 | |
| 13 | SIA of the third stage from last of the high-pressure ST | 8~25° | |
| 14 | SIA of the first stage of the low-pressure ST | 8~25° | |
| 15 | ARD of the single row stage for the high-pressure ST | 0.05~0.2 | |
| 16 | ARD of the single row stage for the low-pressure ST | 0.05~0.2 | |
| 17 | Volume ratio of the high-pressure ST | 0.05~0.4 |
| Optimization Objectives and Variables | Before Optimization | After Optimization |
|---|---|---|
| 1.0 | 1.108 | |
| 0.875 | 0.97 | |
| 1.0 | 0.69 | |
| 1.0 | 0.69 | |
| 1.0 | 0.77 | |
| 1.0 | 0.86 | |
| 1.0 | 1.24 | |
| 1.0 | 1.18 | |
| 1.0 | 1.1 | |
| 14° | 8° | |
| 23.4° | 8° | |
| 0.12 | 0.05 | |
| 0.12 | 0.05 | |
| 0.12 | 0.05 | |
| 12° | 25° | |
| 23° | 25° | |
| 0.12 | 0.2 | |
| 0.12 | 0.2 | |
| 0.16 | 0.08 |
Publisher’s Note: MDPI stays neutral with regard to jurisdictional claims in published maps and institutional affiliations. |
© 2022 by the authors. Licensee MDPI, Basel, Switzerland. This article is an open access article distributed under the terms and conditions of the Creative Commons Attribution (CC BY) license (https://creativecommons.org/licenses/by/4.0/).
Share and Cite
Feng, H.; Chen, L.; Tang, W.; Ge, Y. Optimal Design of a Dual-Pressure Steam Turbine for Rankine Cycle Based on Constructal Theory. Energies 2022, 15, 4854. https://doi.org/10.3390/en15134854
Feng H, Chen L, Tang W, Ge Y. Optimal Design of a Dual-Pressure Steam Turbine for Rankine Cycle Based on Constructal Theory. Energies. 2022; 15(13):4854. https://doi.org/10.3390/en15134854
Chicago/Turabian StyleFeng, Huijun, Lingen Chen, Wei Tang, and Yanlin Ge. 2022. "Optimal Design of a Dual-Pressure Steam Turbine for Rankine Cycle Based on Constructal Theory" Energies 15, no. 13: 4854. https://doi.org/10.3390/en15134854
APA StyleFeng, H., Chen, L., Tang, W., & Ge, Y. (2022). Optimal Design of a Dual-Pressure Steam Turbine for Rankine Cycle Based on Constructal Theory. Energies, 15(13), 4854. https://doi.org/10.3390/en15134854

