A New Wind Turbine Power Performance Assessment Approach: SCADA to Power Model Based with Regression-Kriging
Abstract
:1. Introduction
2. Factors of Wind Turbine Power Output
3. Regression-Kriging Algorithm
4. A Data-Driven Equivalence Validation of Input Variables
5. Case Study
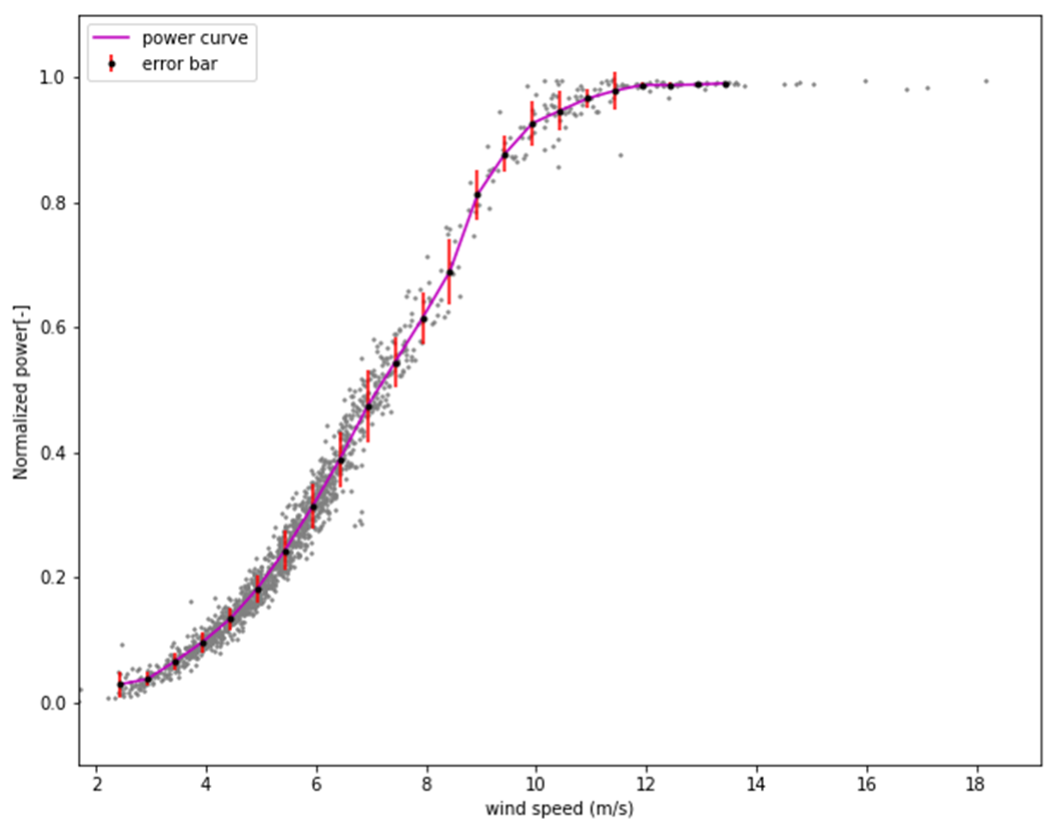
5.1. Test Case Overview
5.2. Data Processing
5.3. Regression-Kriging Model of WTG OP
5.4. Model Validation
6. Conclusions
Author Contributions
Funding
Institutional Review Board Statement
Informed Consent Statement
Data Availability Statement
Acknowledgments
Conflicts of Interest
References
- IEC. Wind Turbines—Part 26-2: Production-Based Availability for Wind Turbines; International Electrotechnical Commission: Geneva, Switzerland, 2014. [Google Scholar]
- Yan, J.; Zhang, H.; Liu, Y.Q.; Han, S.; Li, L. Uncertainty estimation for wind energy conversion by probabilistic wind turbine power curve modelling. Appl. Energy 2019, 239, 1356–1370. [Google Scholar] [CrossRef]
- Foley, A.M.; Hialeah, P.G.; Marvuglia, A.; Mckeogh, E.J. Current methods and advances in forecasting of wind power generation. Renew. Energy 2012, 37, 1–8. [Google Scholar] [CrossRef] [Green Version]
- Han, S.; Qiao, Y.; Yan, P.; Yan, J.; Liu, Y.; Li, L. Wind turbine power curve modeling based on interval extreme probability density for the integration of renewable energies and electric vehicles. Renew. Energy 2020, 157, 190–203. [Google Scholar] [CrossRef]
- Lee, J.C.Y.; Stuart, P.; Clifton, A.; Fields, M.J.; Housley, P. The Power Curve Working Group’s assessment of wind turbine power performance prediction methods. Wind. Energy Sci. 2020, 5, 199–223. [Google Scholar] [CrossRef] [Green Version]
- Hedevang, E. Wind turbine power curves incorporating turbulence intensity. Wind Energy 2014, 17, 173–195. [Google Scholar] [CrossRef]
- Wagner, R.; Courtney, M.; Gottschall, J.; Lindeloew-Marsden, P. Accounting for the speed shear in wind turbine power performance measurement. Wind Energy 2011, 14, 993–1004. [Google Scholar] [CrossRef] [Green Version]
- Lee, G.; Ding, Y.; Genton, M.G.; Xie, L. Power Curve Estimation with Multivariate Environmental Factors for Inland and Offshore Wind Farms. J. Am. Stat. Assoc. 2015, 110, 56–67. [Google Scholar] [CrossRef] [Green Version]
- IEC. Wind Turbines—Part 12-2: Power Performance of Electricity Producing Wind Turbines Based on Nacelle Anemometry; International Electrotechnical Commission: Geneva, Switzerland, 2013. [Google Scholar]
- IEC. Wind Turbines—Part 12-1: Power Performance Measurements of Electricity Producing Wind Turbines; International Electrotechnical Commission: Geneva, Switzerland, 2017. [Google Scholar]
- Wagner, R.; Pedersen, T.F.; Courtney, M.; Antoniou, I.; Davoust, S.; Rivera, R.L. Power curve measurement with a nacelle mounted lidar. Wind Energy 2013, 17, 1441–1453. [Google Scholar] [CrossRef] [Green Version]
- Ding, Y.; Kumar, N.; Prakash, A.; Kio, A.E.; Liu, X.; Liu, L.; Li, Q. A case study of space-time performance comparison of wind turbines on a wind farm. Renew. Energy 2021, 171, 735–746. [Google Scholar] [CrossRef]
- Astolfi, D.; Pandit, R. Multivariate Wind Turbine Power Curve Model Based on Data Clustering and Polynomial LASSO Regression. Appl. Sci. 2022, 12, 72. [Google Scholar] [CrossRef]
- Astolfi, D.; Castellani, F.; Lombardi, A.; Terzi, L. Multivariate SCADA Data Analysis Methods for Real-World Wind Turbine Power Curve Monitoring. Energies 2021, 14, 1105. [Google Scholar] [CrossRef]
- Janssens, O.; Noppe, N.; Devriendt, C.; van de Walle, R.; van Hoecke, S. Data-driven multivariate power curve modeling of offshore wind turbines. Eng. Appl. Artif. Intell. 2016, 55, 331–338. [Google Scholar] [CrossRef]
- Astolfi, D. Perspectives on SCADA Data Analysis Methods for Multivariate Wind Turbine Power Curve Modeling. Machines 2021, 9, 100. [Google Scholar] [CrossRef]
- Cascianelli, S.; Astolfi, D.; Castellani, F.; Cucchiara, R.; Fravolini, M.L. Wind Turbine Power Curve Monitoring Based on Environmental and Operational Data. IEEE Trans. Ind. Inform. 2022, 18, 5209–5218. [Google Scholar] [CrossRef]
- Guo, P.; Infield, D. Wind turbine power curve modeling and monitoring with Gaussian process and SPRT. IEEE Trans. Sustain. Energy 2018, 11, 107–115. [Google Scholar] [CrossRef] [Green Version]
- Karamichailidou, D.; Kaloutsa, V.; Alexandridis, A. Wind turbine power curve modeling using radial basis function neural networks and tabu search. Renew. Energy 2021, 163, 2137–2152. [Google Scholar] [CrossRef]
- Pandit, R.; Kolios, A. SCADA Data-Based Support Vector MachineWind Turbine Power Curve Uncertainty Estimation and Its Comparative Studies. Appl. Sci. 2020, 10, 8685. [Google Scholar] [CrossRef]
- Helbing, G.; Ritter, M. Improving Wind Turbine Power Curve Monitoring with Standardisation. Renew. Energy 2020, 145, 1040–1048. [Google Scholar] [CrossRef]
- Sumner, J.; Masson, C. Influence of Atmospheric Stability on Wind Turbine Power Performance Curves. J. Sol. Energy Eng. 2006, 128, 531–538. [Google Scholar] [CrossRef]
- IEC. Wind Energy Generation Systems—Part 1: Design Requirements; International Electrotechnical Commission: Geneva, Switzerland, 2019. [Google Scholar]
- Rasmussen, C.E.; Williams, C. Gaussian Processes for Machine Learning; MIT Press: Cambridge, MA, USA, 2005; ISBN 026218253X. [Google Scholar]
- Bjerager, P.; Krenk, S. Parametric sensitivity in first order reliability theory. J. Eng. Mech. 1989, 115, 1577–1582. [Google Scholar] [CrossRef]
- Dubourg, V. Adaptive Surrogate Models for Reliability Analysis and Reliability-Based Design Optimization. Ph.D. Thesis, Université Blaise Pascal—Clermont-Ferrand II, Clermont-Ferrand, France, 5 December 2011. [Google Scholar]
- Pandit, R.K.; Infield, D.; Kolios, A. Gaussian process power curve models incorporating wind turbine operational variables. Energy Rep. 2020, 6, 1658–1669. [Google Scholar] [CrossRef]
- Robert, C.P.; Casella, G. Monte Carlo Statistical Methods, 2nd ed.; Springer: New York, NY, USA, 2004; ISBN 9780387212395. [Google Scholar]
- Pelletier, F.; Masson, C.; Tahan, A. Wind turbine power curve modelling using artificial neural network. Renew. Energy 2016, 89, 207–214. [Google Scholar] [CrossRef]
- Santner, T.J.; Williams, B.J.; Notz, W.I. The Design and Analysis of Computer Experiments; Springer Series in Statistics; Springer: New York, NY, USA, 2003; ISBN 978-0-387-95420-2. [Google Scholar]
















| Model Name | Input Factor | Number of Functional Basis | Model | Functional Basis | Covariance Equation | 
|---|---|---|---|---|---|
| SCADA2power model | Pitch angle, Rotor rotational speed, Nacelle acceleration-X, Nacelle acceleration-Y, Nacelle wind speed | 21 | Regression-Kriging | Quadratic Regular functional basis | Exponential Autocorrelation Function | 
| wind2power model | Wind speed, Turbulence intensity, Air density, Wind shear | 15 | |||
| Nacelle Power Curve | Nacelle speed | - | Defined in IEC61400 Standard | - | - | 
| Model Name | MAE | MSE | MAE | Explained Variance Score | R2 | 
|---|---|---|---|---|---|
| SCADA2power model | 0.0110 | 0.0003 | 0.0057 | 0.9949 | 0.99497 | 
| wind2power model | 0.0136 | 0.0005 | 0.0070 | 0.9922 | 0.99213 | 
| Nacelle Power Curve | 0.0249 | 0.0014 | 0.0168 | 0.9784 | 0.97666 | 
| Model Name | P10 | P30 | P50 | P70 | P90 | 
|---|---|---|---|---|---|
| SCADA2power model | −0.03141 | −0.01527 | −0.00876 | −0.00258 | 0.009902 | 
| wind2power model | −0.04417 | −0.01866 | −0.01059 | −0.00357 | 0.015647 | 
| Nacelle Power Curve | −0.08048 | −0.0389 | −0.0116 | 0.009568 | 0.035237 | 
| Publisher’s Note: MDPI stays neutral with regard to jurisdictional claims in published maps and institutional affiliations. | 
© 2022 by the authors. Licensee MDPI, Basel, Switzerland. This article is an open access article distributed under the terms and conditions of the Creative Commons Attribution (CC BY) license (https://creativecommons.org/licenses/by/4.0/).
Share and Cite
Zhang, P.; Xing, Z.; Guo, S.; Chen, M.; Zhao, Q. A New Wind Turbine Power Performance Assessment Approach: SCADA to Power Model Based with Regression-Kriging. Energies 2022, 15, 4820. https://doi.org/10.3390/en15134820
Zhang P, Xing Z, Guo S, Chen M, Zhao Q. A New Wind Turbine Power Performance Assessment Approach: SCADA to Power Model Based with Regression-Kriging. Energies. 2022; 15(13):4820. https://doi.org/10.3390/en15134820
Chicago/Turabian StyleZhang, Pengfei, Zuoxia Xing, Shanshan Guo, Mingyang Chen, and Qingqi Zhao. 2022. "A New Wind Turbine Power Performance Assessment Approach: SCADA to Power Model Based with Regression-Kriging" Energies 15, no. 13: 4820. https://doi.org/10.3390/en15134820
APA StyleZhang, P., Xing, Z., Guo, S., Chen, M., & Zhao, Q. (2022). A New Wind Turbine Power Performance Assessment Approach: SCADA to Power Model Based with Regression-Kriging. Energies, 15(13), 4820. https://doi.org/10.3390/en15134820
 
         
                                                
 
       