Investigation of Rotating Detonation Fueled by Liquid Kerosene
Abstract
1. Introduction
2. Experimental Setup and Methodology
3. Experimental Results and Analysis
3.1. Rotating Detonation Characteristics of Kerosene and Oxygen-Enriched Air with Hydrogen Addition
3.2. Experimental Research on Rotating Detonation of Liquid Kerosene/Hot Air
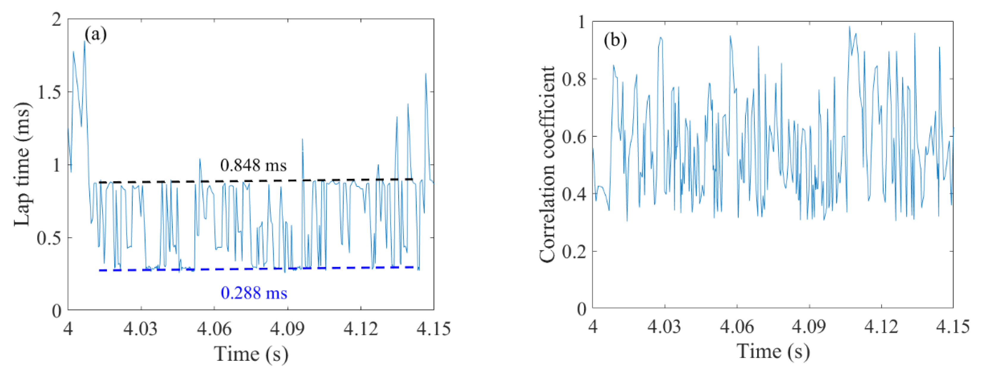
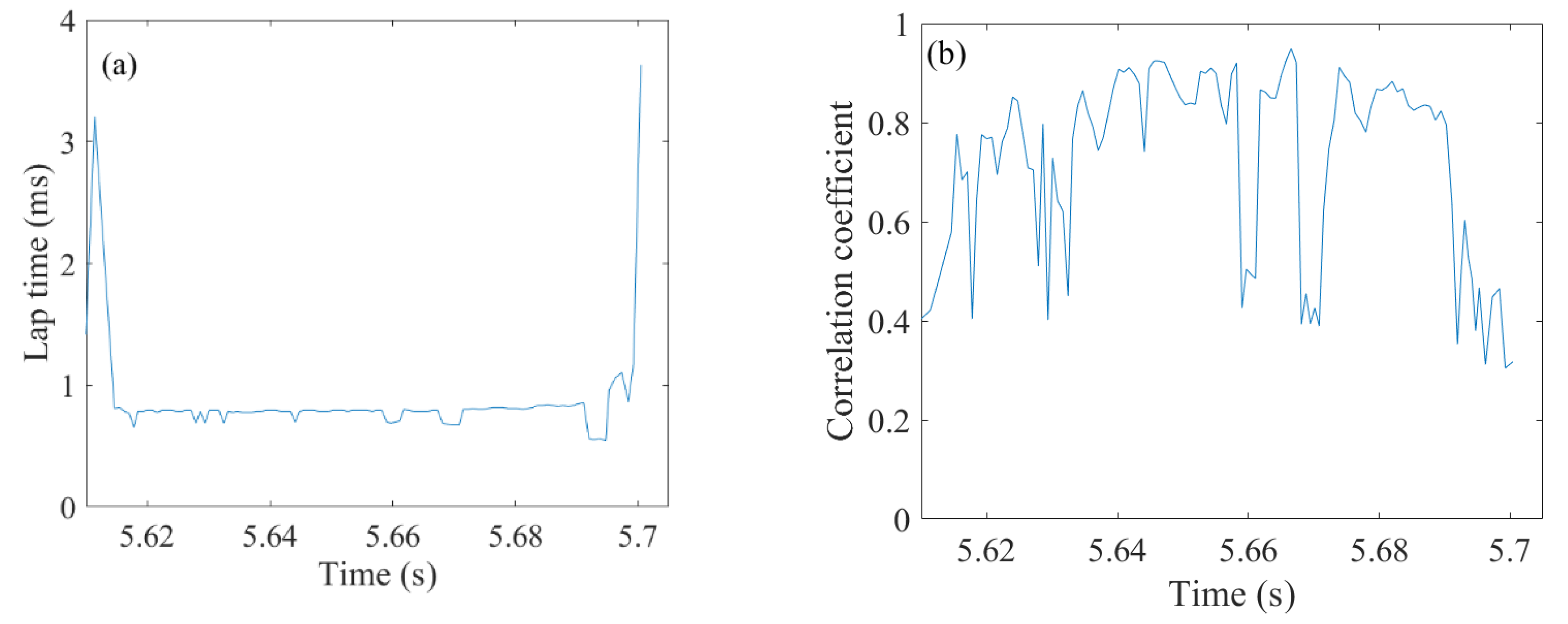
3.3. Instability
3.4. Operation Boundary of Liquid Kerosene/Hot Air Rotating Detonation
4. Conclusions
- (1)
- Under approximately the same air mass flow conditions, the higher the mass fraction of hydrogen is in the fuel, the greater the propagation speed of the detonation wave can be. As the mass flow of kerosene increases, the detonation wave gradually changes from single-wave mode to dual-wave collision mode;
- (2)
- For a low equivalence ratio, increasing the air flow will reduce the injection momentum flux ratio, making the mixing effect of the wavefront mixture worse and the wave speed lower.
- (3)
- A variety of detonation wave instabilities were discovered during the experiment, including changes in the number of detonation waves, low-frequency oscillations, and sporadic detonation.
- (4)
- Due to a high air temperature and mismatch of combustor width and detonation cell size, a stable detonation mode was not obtained in all the liquid kerosene/hot air rotating detonation operation conditions.
Author Contributions
Funding
Institutional Review Board Statement
Informed Consent Statement
Data Availability Statement
Conflicts of Interest
References
- Voitsekhovskii, B.V. Maintained detonations. Doklady Akademii Nauk UzSSSr 1959, 129, 1254–1256. [Google Scholar]
- Bykovskii, F.A.; Zhdan, S.A.; Vedernikov, E.F. Continuous spin detonation in annular combustors. Combust. Explos. Shock. Waves 2005, 41, 449–459. [Google Scholar] [CrossRef]
- Bykovskii, F.A.; Zhdan, S.A.; Vedernikov, E.F. Continuous spin detonation of fuel-air mixtures. Combust. Explos. Shock. Waves 2006, 42, 463–471. [Google Scholar] [CrossRef]
- Bykovskii, F.A.; Zhdan, S.A.; Vedernikov, E.F. Continuous spin detonation of hydrogen-oxygen mixtures. 1. Annular cylindrical combustors. Combust. Explos. Shock. Waves 2008, 44, 150–162. [Google Scholar] [CrossRef]
- Bykovskii, F.A.; Zhdan, S.A.; Vedernikov, E.F. Continuous spin detonation of hydrogen-oxygen mixtures. 2. Combustor with an expanding annular channel. Combust. Explos. Shock. Waves 2008, 44, 330–342. [Google Scholar] [CrossRef]
- Bykovskii, F.A.; Vedernikov, E.F. Continuous spin detonation of hydrogen-oxygen mixtures. 3. Methods of measuring flow parameters and flow structure in combustors of different geometries. Combust. Explos. Shock. Waves 2008, 44, 451–460. [Google Scholar] [CrossRef]
- Bykovskii, F.A.; Zhdan, S.A.; Vedernikov, E.F. Realization and modeling of continuous spin detonation of a hydrogen-oxygen mixture in flow-type combustors. 1. Combustors of cylindrical annular geometry. Combust. Explos. Shock. Waves 2009, 45, 606–617. [Google Scholar] [CrossRef]
- Bykovskii, F.A.; Zhdan, S.A.; Vedernikov, E.F. Realization and modeling of continuous spin detonation of a hydrogen-oxygen mixture in flow-type combustors. 2. Combustors with expansion of the annular channel. Combust. Explos. Shock. Waves 2009, 45, 716. [Google Scholar] [CrossRef]
- Bykovskii, F.A.; Mitrofanov, V.V. Detonation combustion of a gas mixture in a cylindrical chamber. Combust. Explos. Shock. Waves 1980, 16, 570–578. [Google Scholar] [CrossRef]
- Bykovskii, F.A.; Vasil’ev, A.A.; Vedernikov, E.F.; Mitrofanov, V.V. Explosive combustion of a gas mixture in radial annular chambers. Combust. Explos. Shock. Waves 1994, 30, 510–516. [Google Scholar] [CrossRef]
- Bykovskii, F.A.; Mitrofanov, V.V.; Vedernikov, E.F. Continuous detonation combustion of fuel-air mixtures. Combust. Explos. Shock. Waves 1997, 33, 344–353. [Google Scholar] [CrossRef]
- Bykovskii, F.A.; Vedernikov, E.F. Continuous detonation of a subsonic flow of a propellant. Combust. Explos. Shock. Waves 2003, 39, 323–334. [Google Scholar] [CrossRef]
- Frolov, S.M.; Zvegintsev, V.I.; Ivanov, V.S.; Aksenov, V.S.; Shamshin, I.O.; Vnuchkov, D.A.; Nalivaichenko, D.G.; Berlin, A.A.; Fomin, V.M. Wind tunnel tests of a hydrogen-fueled detonation ramjet model at approach air stream Mach numbers from 4 to 8. Int. J. Hydrogen Energy 2017, 42, 25401–25413. [Google Scholar] [CrossRef]
- Frolov, S.M.; Aksenov, V.S.; Ivanov, V.S.; Shamshin, I.O. Large-scale hydrogen–air continuous detonation combustor. Int. J. Hydrogen Energy 2015, 40, 1616–1623. [Google Scholar] [CrossRef]
- Rankin, B.A.; Fugger, C.A.; Richardson, D.R.; Cho, K.Y.; Hoke, J.; Caswell, A.W.; Gord, J.R.; Schauer, F. Evaluation of Mixing Processes in a Non-Premixed Rotating Detonation Engine Using Acetone PLIF. In Proceedings of the AIAA Aerospace Sciences Meeting, San Diego, CA, USA, 4–8 January 2016. [Google Scholar]
- Rankin, B.A.; Richardson, D.R.; Caswell, A.W.; Naples, A.; Hoke, J.; Schauer, F. Imaging of OH* Chemiluminescence in an Optically Accessible Nonpremixed Rotating Detonation Engine. In Proceedings of the 53rd AIAA Aerospace Sciences Meeting, Kissimmee, FL, USA, 5–9 January 2015. [Google Scholar]
- Rankin, B.A.; Codoni, J.R.; Cho, K.Y.; Hoke, J.; Schauer, F.R. Mid-infrared imaging of an optically accessible non-premixed hydrogen-air rotating detonation engine. In Proceedings of the 55th AIAA Aerospace Sciences Meeting, Grapevine, TX, USA, 9–13 January 2017; p. 0370. [Google Scholar]
- Fotia, M.; Hoke, J.; Schauer, F. Experimental Ignition Characteristics of a Rotating Detonation Engine under Backpressured Conditions. In Proceedings of the AIAA Aerospace Sciences Meeting, Kissimmee, FL, USA, 5–9 January 2013. [Google Scholar]
- Fotia, M.; Schauer, F.; Hoke, J. Experimental testing of a rotating detonation engine coupled to nozzles at conditions approaching flight. In Proceedings of the 25th International Colloquium on the Dynamics of Explosions and Reactive Systems, Leeds, UK, 7 August 2015; p. 15. [Google Scholar]
- Fotia, M.; Kaemming, T.A.; Codoni, J.R.; Hoke, J.; Schauer, F. Experimental thrust sensitivity of a rotating detonation engine to various aerospike plug-nozzle consfigurations. In Proceedings of the AIAA Scitech 2019 Forum, San Diego, CA, USA, 7–11 January 2019; p. 1743. [Google Scholar]
- Anand, V.; George, A.S.; Driscoll, R.; Gutmark, E. Characterization of instabilities in a rotating detonation combustor. Int. J. Hydrogen Energy 2015, 40, 16649–16659. [Google Scholar] [CrossRef]
- Anand, V.; George, A.S.; Driscoll, R.; Gutmark, E. Longitudinal pulsed detonation instability in a rotating detonation combustor. Exp. Therm. Fluid Sci. 2016, 77, 212–225. [Google Scholar] [CrossRef]
- Anand, V.; George, A.S.; Gutmark, E. Amplitude modulated instability in reactants plenum of a rotating detonation combustor. Int. J. Hydrogen Energy 2017, 42, 12629–12644. [Google Scholar] [CrossRef]
- Anand, V.; Gutmark, E. Types of Low Frequency Instabilities in Rotating Detonation Combustors. In Active Flow and Combustion Control 2018; Springer: Cham, Switzerland, 2019; pp. 197–213. [Google Scholar]
- Anand, V.; George, A.S.; de Luzan, C.F.; Gutmark, E. Rotating detonation wave mechanics through ethylene-air mixtures in hollow combustors, and implications to high frequency combustion instabilities. Exp. Therm. Fluid Sci. 2018, 92, 314–325. [Google Scholar] [CrossRef]
- Zhong, Y.; Jin, D.; Wu, Y.; Chen, X. Investigation of rotating detonation wave fueled by “ethylene-acetylene-hydrogen” mixture. Int. J. Hydrogen Energy 2018, 43, 14787–14797. [Google Scholar] [CrossRef]
- Yang, X.; Song, F.; Wu, Y.; Zhong, Y.; Xu, S. Investigation of rotating detonation fueled by a methane–hydrogen–carbon dioxide mixture under lean fuel conditions. Int. J. Hydrogen Energy 2020, 45, 21995–22007. [Google Scholar] [CrossRef]
- Bykovskii, F.A.; Zhdan, S.A.; Vedernikov, E.F. Continuous Detonation of the Liquid Kerosene–Air Mixture with Addition of Hydrogen or Syngas. Combust. Explos. Shock. Waves 2019, 55, 589–598. [Google Scholar] [CrossRef]
- Kindracki, J. Experimental research on rotating detonation in liquid fuel–gaseous air mixtures. Aerosp. Sci. Technol. 2015, 43, 445–453. [Google Scholar] [CrossRef]
- Wolanski, P. Application of the Continuous Rotating Detonation to Gas Turbine. Appl. Mech. Mater. 2015, 782, 3–12. [Google Scholar] [CrossRef]
- Kindracki, J. Analysis of the experimental results of the initiation of detonation in short tubes with kerosene–oxidizer mixtures. J. Loss Prev. Process Ind. 2013, 26, 1515–1523. [Google Scholar] [CrossRef]
- Kindracki, J. Study of detonation initiation in kerosene–oxidizer mixtures in short tubes. Shock Waves 2014, 24, 603–618. [Google Scholar] [CrossRef]
- Le Naour, B.; Falempin, F.H.; Coulon, K. MBDA R&T effort regarding continuous detonation wave engine for propulsion-status in 2016. In Proceedings of the 21st AIAA International Space Planes and Hypersonics Technologies Conference, Xiamen, China, 6–9 March 2017; p. 2325. [Google Scholar]
- Song, F.; Wu, Y.; Xu, S.; Jin, D.; Jia, M. N-decane decomposition by microsecond pulsed DBD plasma in a flow reactor. Int. J. Hydrogen Energy 2019, 44, 3569–3579. [Google Scholar] [CrossRef]
- Xu, S.; Jin, D.; Song, F.; Wu, Y. Experimental investigation on n-decane plasma cracking in an atmospheric-pressure argon environment. Plasma Sci. Technol. 2019, 21, 085503. [Google Scholar] [CrossRef]
- Song, F.; Wu, Y.; Xu, S.; Jin, D.; Chen, X. Pre-combustion cracking characteristics of kerosene. Chem. Phys. Lett. 2019, 737, 136812. [Google Scholar] [CrossRef]
- Song, F.; Wu, Y.; Xu, S.; Yang, X.; Chen, X. The impact of fuel ratio and refueling mode on pre-combustion cracking properties of RP-3 kerosene. Int. J. Hydrogen Energy 2020, 45, 28505–28519. [Google Scholar] [CrossRef]
- Song, F.; Wu, Y.; Xu, S.; Yang, X.; Chen, X. Effects of refueling position and residence time on pre-combustion cracking characteristic of aviation kerosene RP-3. Fuel 2020, 270, 117548. [Google Scholar] [CrossRef]
- Zhong, Y.; Wu, Y.; Jin, D.; Chen, X.; Yang, X.; Wang, S. Investigation of rotating detonation fueled by the pre-combustion cracked kerosene. Aerosp. Sci. Technol. 2019, 95, 105480. [Google Scholar] [CrossRef]
- Zhong, Y.; Wu, Y.; Jin, D.; Chen, X.; Yang, X.; Wang, S. Effect of channel and oxidizer injection slot width on the rotating detonation fueled by pre-combustion cracked kerosene. Acta Astronaut. 2019, 165, 365–372. [Google Scholar] [CrossRef]
- Meng, Q.; Zhao, M.; Zheng, H.; Zhang, H. Eulerian-Lagrangian modelling of rotating detonative combustion in partially pre-vaporized n-heptane sprays with hydrogen addition. Fuel 2021, 290, 119808. [Google Scholar] [CrossRef]
- Meng, Q.; Zhao, N.; Zhang, H. On the distributions of fuel droplets and in situ vapor in rotating detonation combustion with prevaporized n-heptane sprays. Phys. Fluids 2021, 33, 043307. [Google Scholar] [CrossRef]
- Zhao, M.; Zhang, H. Rotating detonative combustion in partially pre-vaporized dilute n-heptane sprays: Droplet size and equivalence ratio effects. Fuel 2021, 304, 121481. [Google Scholar] [CrossRef]
- Hayashi, A.K.; Tsuboi, N.; Dzieminska, E. Numerical study on JP-10/air detonation and rotating detonation engine. AIAA J. 2020, 58, 5078–5094. [Google Scholar] [CrossRef]
- Sun, B.; Ma, H. Two-dimensional numerical study of two-phase rotating detonation wave with different injections. AIP Adv. 2019, 9, 115307. [Google Scholar] [CrossRef]
- Bohon, M.D.; Bluemner, R.; Paschereit, C.O.; Gutmark, E.J. Experimental Study of Reactants Mixing in Model Rotating Detonation Combustor Geometries. In Proceedings of the 53rd AIAA/SAE/ASEE Joint Propulsion Conference, Atlanta, GA, USA, 10–12 July 2017; p. 4739. [Google Scholar]
- St George, A.C.; Anand, V.; Driscoll, R.B.; Gutmark, E.J. A correlation-based method to quantify the operating state in a rotating detonation combustor. In Proceedings of the 54th AIAA Aerospace Sciences Meeting, San Diego, CA, USA, 4–8 January 2016; p. 1402. [Google Scholar]
- Liu, Y.; Wang, Y.; Li, Y.; Li, Y.; Wang, J. Spectral analysis and self-adjusting mechanism for oscillation phenomenon in H2/O2 continuously rotating detonation engine. Chin. J. Aeronaut. 2015, 28, 669–675. [Google Scholar] [CrossRef][Green Version]
- Wang, Z.C.; Wang, K.; Zhao, M.; Zhu, Y.; Fan, W.; Yan, Y. Effects of Combustor Width on Propagation Modes of Rotating Detonation Waves Utilizing Liquid Kerosene. J. Propuls. Technol. 2021, 42, 842–850. [Google Scholar]












| Parts | Geometry Measured | Dimension |
|---|---|---|
| Inlet slot | Width | 3 mm |
| Combustion chamber | Inner diameter | 150 mm |
| Outer diameter | 200 mm | |
| Width | 25 mm | |
| Length | 335 mm |
| Test | Air Flow Rate (g/s) | Equivalence Ratio | Oxygen Mass Fraction | Hydrogen Mass Fraction | Combustion Mode |
|---|---|---|---|---|---|
| A1 | 890.7 | 0.68 | 0.295 | 0.123 | Detonation |
| A2 | 921.3 | 0.66 | 0.293 | 0.126 | Detonation |
| A3 | 937.4 | 0.77 | 0.292 | 0.103 | Detonation |
| A4 | 946 | 0.65 | 0.292 | 0.123 | Detonation |
| A5 | 963.3 | 0.87 | 0.291 | 0.088 | Detonation |
| A6 | 963.6 | 0.65 | 0.291 | 0.123 | Detonation |
| A7 | 973.3 | 0.75 | 0.290 | 0.102 | Detonation |
| A8 | 993.1 | 0.86 | 0.289 | 0.087 | Detonation |
| A9 | 996.7 | 0.80 | 0.289 | 0.093 | Detonation |
| A10 | 1029 | 0.61 | 0.288 | 0.125 | Detonation |
| Test | Hot Air Flow Rate (g/s) | Equivalence Ratio | Heating Temperature (K) | Combustion Modes |
|---|---|---|---|---|
| B1 | 908.1 | 0.55 | 722 | Ignition failure |
| B2 | 962 | 0.49 | 707 | Ignition failure |
| B3 | 979.9 | 0.61 | 765 | Unstable detonation |
| B4 | 983.5 | 0.79 | 713 | Unstable detonation |
| B5 | 983.5 | 0.93 | 732 | Unstable detonation |
| B6 | 987.1 | 0.82 | 723 | Deflagration |
| B7 | 996.1 | 0.92 | 732 | Unstable detonation |
| B8 | 999.7 | 0.88 | 728 | Unstable detonation |
| B9 | 1001.5 | 1.16 | 720 | Deflagration |
| B10 | 1005.1 | 0.89 | 719 | Unstable detonation |
| B11 | 1006.9 | 1.00 | 721 | Unstable detonation |
| B12 | 1019.4 | 0.76 | 725 | Deflagration |
| B13 | 1019.8 | 0.83 | 723 | Unstable detonation |
| B14 | 1023 | 1.03 | 713 | Unstable detonation |
| B15 | 1033.8 | 0.67 | 719 | Deflagration |
| B16 | 1055.3 | 0.54 | 710 | Ignition failure |
| 0.0 < RXY < 0.3 | Weakly correlated |
| 0.3 < RXY < 0.7 | Moderately correlated |
| 0.7 < RXY < 1.0 | Strongly correlated |
Publisher’s Note: MDPI stays neutral with regard to jurisdictional claims in published maps and institutional affiliations. |
© 2022 by the authors. Licensee MDPI, Basel, Switzerland. This article is an open access article distributed under the terms and conditions of the Creative Commons Attribution (CC BY) license (https://creativecommons.org/licenses/by/4.0/).
Share and Cite
Zhou, J.; Song, F.; Xu, S.; Yang, X.; Zheng, Y. Investigation of Rotating Detonation Fueled by Liquid Kerosene. Energies 2022, 15, 4483. https://doi.org/10.3390/en15124483
Zhou J, Song F, Xu S, Yang X, Zheng Y. Investigation of Rotating Detonation Fueled by Liquid Kerosene. Energies. 2022; 15(12):4483. https://doi.org/10.3390/en15124483
Chicago/Turabian StyleZhou, Jianping, Feilong Song, Shida Xu, Xingkui Yang, and Yongjun Zheng. 2022. "Investigation of Rotating Detonation Fueled by Liquid Kerosene" Energies 15, no. 12: 4483. https://doi.org/10.3390/en15124483
APA StyleZhou, J., Song, F., Xu, S., Yang, X., & Zheng, Y. (2022). Investigation of Rotating Detonation Fueled by Liquid Kerosene. Energies, 15(12), 4483. https://doi.org/10.3390/en15124483
