Polyimide Copolymers and Nanocomposites: A Review of the Synergistic Effects of the Constituents on the Fire-Retardancy Behavior
Abstract
1. Flame Retardancy
2. Polyimide
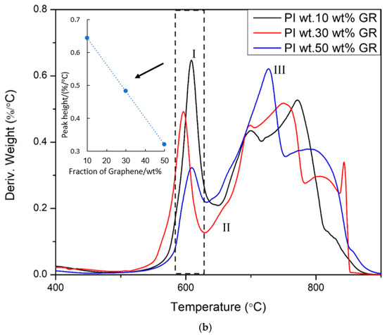
3. Carbon-Based Nanofiller
4. Phosphazene
5. Silicone-Based Flame Retardants
Polyhedral Oligomeric Silsesquioxanes (POSS)
6. Hybrid Systems
7. Comparison of Techniques Used for Flame Retardancy
8. Conclusions
Author Contributions
Funding
Institutional Review Board Statement
Informed Consent Statement
Data Availability Statement
Conflicts of Interest
References
- Laoutid, F.; Bonnaud, L.; Alexandre, M.; Lopez-cuesta, J.; Dubois, P. New Prospects in Flame Retardant Polymer Materials: From Fundamentals to Nanocomposites. Mater. Sci. Eng. R Rep. 2009, 63, 100–125. [Google Scholar] [CrossRef]
- Camino, B.; Camino, G. The Chemical Kinetics of the Polymer Combustion Allows for Inherent Fire Retardant Synergism. Polym. Degrad. Stab. 2019, 160, 142–147. [Google Scholar] [CrossRef]
- Emmons, H.W.; Atreya, A. The Science of Wood Combustion. Proc. Indian Acad. Sci. Sect. C Eng. Sci. 1982, 5, 259–268. [Google Scholar]
- Elbasuney, S. Novel Multi-Component Flame Retardant System Based on Nanoscopic Aluminium-Trihydroxide (ATH). Powder Technol. 2017, 305, 538–545. [Google Scholar] [CrossRef]
- Zhang, X.; Guo, F.; Chen, J.; Wang, G.; Liu, H. Investigation of Interfacial Modification for Flame Retardant Ethylene Vinyl Acetate Copolymer/Alumina Trihydrate Nanocomposites. Polym. Degrad. Stab. 2005, 87, 411–418. [Google Scholar] [CrossRef]
- Zanetti, M.; Camino, G.; Canavese, D.; Morgan, A.B.; Lamelas, F.J.; Wilkie, C.A. Fire Retardant Halogen-Antimony-Clay Synergism in Polypropylene Layered Silicate Nanocomposites. Chem. Mater. 2002, 14, 189–193. [Google Scholar] [CrossRef]
- Wu, G.M.; Schartel, B.; Bahr, H.; Kleemeier, M.; Yu, D.; Hartwig, A. Experimental and Quantitative Assessment of Flame Retardancy by the Shielding Effect in Layered Silicate Epoxy Nanocomposites. Combust. Flame 2012, 159, 3616–3623. [Google Scholar] [CrossRef]
- Chen, Y.; Iroh, J.O. Synthesis and Characterization of Polyimide/Silica Hybrid Composites. Chem. Mater. 1999, 11, 1218–1222. [Google Scholar] [CrossRef]
- Feng, L.; Iroh, J.O. Corrosion Resistance and Lifetime of Polyimide-b-Polyurea Novel Copolymer Coatings. Prog. Org. Coat. 2014, 77, 590–599. [Google Scholar] [CrossRef]
- Feng, L.; Iroh, J.O. Polyimide–Polyurea Copolymer Coating with Outstanding Corrosion Inhibition Properties. J. Appl. Polym. Sci. 2018, 135, 45861. [Google Scholar] [CrossRef]
- Sezer Hicyilmaz, A.; Celik Bedeloglu, A. Applications of Polyimide Coatings: A Review. SN Appl. Sci. 2021, 3, 363. [Google Scholar] [CrossRef]
- Marashdeh, W.; Iroh, J.O. Electrical Properties of Flexible Graphene Reinforced Polyimide Composites. J. Appl. Polym. Sci. 2017, 134, 6–11. [Google Scholar] [CrossRef]
- Feng, L.; Iroh, J.O. Polyimide- b -Polysiloxane Copolymers: Synthesis and Properties. J. Inorg. Organomet. Polym. Mater. 2013, 23, 477–488. [Google Scholar] [CrossRef]
- Maier, G. Low Dielectric Constant Polymers for Microelectronics. Prog. Polym. Sci. 2001, 26, 3–65. [Google Scholar] [CrossRef]
- Chisca, S.; Musteata, V.E.; Sava, I.; Bruma, M. Dielectric Behavior of Some Aromatic Polyimide Films. Eur. Polym. J. 2011, 47, 1186–1197. [Google Scholar] [CrossRef]
- Hendricks, N. Organic Polymers for IC Intermetal Dielectric Applications. Solid State Technol. 1995, 38, 117. [Google Scholar]
- Okafor, P.A.; Huxel, B.; Iroh, J.O. Electrochemical Behavior of Multifunctional Graphene-Polyimide Nanocomposite Film in Two Different Electrolyte Solutions. J. Appl. Polym. Sci. 2015, 132, 42673. [Google Scholar] [CrossRef]
- Okafor, P.; Iroh, J. Electrochemical Properties of Porous Graphene/Polyimide-Nickel Oxide Hybrid Composite Electrode Material. Energies 2021, 14, 582. [Google Scholar] [CrossRef]
- Banerjee, S.; Madhra, M.K.; Salunke, A.K.; Maier, G. Synthesis and Properties of Fluorinated Polyimides. 1. Derived from Novel 4,4″-Bis(Aminophenoxy)-3,3″-Trifluoromethyl Terphenyl. J. Polym. Sci. Part A Polym. Chem. 2002, 40, 1016–1027. [Google Scholar] [CrossRef]
- Fitzgerald, J.J.; Tunney, S.E.; Landry, M.R. Synthesis and Characterization of a Fluorinated Poly (Imide-Siloxane) Copolymer: A Study of Physical Properties and Morphology. Polymer 1993, 34, 1823–1832. [Google Scholar] [CrossRef]
- Ye, Y.-S.; Chen, W.-Y.; Wang, Y. Synthesis and Properties of Low-Dielectric-Constant Polyimides with Introduced Reactive Fluorine Polyhedral Oligomeric Silsesquioxanesle. J. Polym. Sci. Part A Polym. Chem. 2006, 44, 5391–5402. [Google Scholar] [CrossRef]
- Chung, I.S.; Park, C.E.; Ree, M.; Kim, S.Y. Soluble Polyimides Containing Benzimidazole Rings for Interlevel Dielectrics. Chem. Mater. 2001, 13, 2801–2806. [Google Scholar] [CrossRef]
- Stoakley, D.M.; St. Clair, A.K.; Croall, C.I. Low Dielectric, Fluorinated Polyimide Copolymers. J. Appl. Polym. Sci. 1994, 51, 1479–1483. [Google Scholar] [CrossRef]
- Carter, K.R.; DiPietro, R.A.; Sanchez, M.I.; Swanson, S.A. Nanoporous Polyimides Derived from Highly Fluorinated Polyimide/Poly(Propylene Oxide) Copolymers. Chem. Mater. 2001, 13, 213–221. [Google Scholar] [CrossRef]
- Park, S.J.; Cho, K.S.; Kim, S.H. A Study on Dielectric Characteristics of Fluorinated Polyimide Thin Film. J. Colloid Interface Sci. 2004, 272, 384–390. [Google Scholar] [CrossRef] [PubMed]
- Luo, X.; Lu, X.; Chen, X.; Chen, Y.; Song, C.; Yu, C.; Wang, N.; Su, D.; Wang, C.; Gao, X.; et al. A Robust Flame Retardant Fluorinated Polyimide Nanofiber Separator for High-Temperature Lithium–Sulfur Batteries. J. Mater. Chem. A 2020, 8, 14788–14798. [Google Scholar] [CrossRef]
- Chen, Y.; Kang, E.T. New Approach to Nanocomposites of Polyimides Containing Polyhedral Oligomeric Silsesquioxane for Dielectric Applications. Mater. Lett. 2004, 58, 3716–3719. [Google Scholar] [CrossRef]
- Marashdeh, W.F.; Longun, J.; Iroh, J.O. Relaxation Behavior and Activation Energy of Relaxation for Polyimide and Polyimide-Graphene Nanocomposite. J. Appl. Polym. Sci. 2016, 133, 43684. [Google Scholar] [CrossRef]
- Song, Z.; Zhan, H.; Zhou, Y. Polyimides: Promising Energy-Storage Materials. Angew. Chem. Int. Ed. 2010, 49, 8444–8448. [Google Scholar] [CrossRef]
- Li, Q.; Yao, F.Z.; Liu, Y.; Zhang, G.; Wang, H.; Wang, Q. High-Temperature Dielectric Materials for Electrical Energy Storage. Annu. Rev. Mater. Res. 2018, 48, 219–243. [Google Scholar] [CrossRef]
- Chi, Q.; Gao, Z.; Zhang, T.; Zhang, C.; Zhang, Y.; Chen, Q.; Wang, X.; Lei, Q. Excellent Energy Storage Properties with High-Temperature Stability in Sandwich-Structured Polyimide-Based Composite Films. ACS Sustain. Chem. Eng. 2019, 7, 748–757. [Google Scholar] [CrossRef]
- Williams, D.L.; Electrochem, J.; Williams, D.I.; Byrne, J.J.; Driscoll, J.S. A High Energy Density Lithium/Dichloroisocyanuric Acid Battery System. J. Electrochem. Soc. 1969, 116, 2–5. [Google Scholar] [CrossRef]
- Wang, Y.; Wang, L.; Yuan, Q.; Chen, J.; Niu, Y.; Xu, X.; Cheng, Y.; Yao, B.; Wang, Q.; Wang, H. Ultrahigh Energy Density and Greatly Enhanced Discharged Efficiency of Sandwich-Structured Polymer Nanocomposites with Optimized Spatial Organization. Nano Energy 2018, 44, 364–370. [Google Scholar] [CrossRef]
- Palneedi, H.; Peddigari, M.; Hwang, G.T.; Jeong, D.Y.; Ryu, J. High-Performance Dielectric Ceramic Films for Energy Storage Capacitors: Progress and Outlook. Adv. Funct. Mater. 2018, 28, 1803665. [Google Scholar] [CrossRef]
- Sun, W.; Lu, X.; Jiang, J.; Zhang, X.; Hu, P.; Li, M.; Lin, Y.; Nan, C.W.; Shen, Y. Dielectric and Energy Storage Performances of Polyimide/BaTiO3 Nanocomposites at Elevated Temperatures. J. Appl. Phys. 2017, 121, 244101. [Google Scholar] [CrossRef]
- Ai, D.; Li, H.; Zhou, Y.; Ren, L.; Han, Z.; Yao, B.; Zhou, W.; Zhao, L.; Xu, J.; Wang, Q. Tuning Nanofillers in In Situ Prepared Polyimide Nanocomposites for High-Temperature Capacitive Energy Storage. Adv. Energy Mater. 2020, 10, 1903881. [Google Scholar] [CrossRef]
- Hedrick, J.; Labadie, J.; Russell, T.; Hofer, D.; Wakharker, V. High Temperature Polymer Foams. Polymer 1993, 34, 4717–4726. [Google Scholar] [CrossRef]
- Jewell, R.A. Relative Thermophysical Properties of Some Polyimides. J. Appl. Polym. Sci. 1971, 15, 1717–1727. [Google Scholar] [CrossRef]
- Hatori, H.; Yamada, Y.; Shiraishi, M.; Yoshihara, M.; Kimura, T. The Mechanism of Polyimide Pyrolysis in the Early Stage. Carbon 1996, 34, 201–208. [Google Scholar] [CrossRef]
- Sun, G.; Liu, L.; Wang, J.; Wang, H.; Xie, Z.; Han, S. Enhanced Polyimide Proportion Effects on Fire Behavior of Isocyanate-Based Polyimide Foams by Refilled Aromatic Dianhydride Method. Polym. Degrad. Stab. 2014, 110, 1–12. [Google Scholar] [CrossRef]
- Chen, M.; Liang, B.; Guo, Y.; Li, C.; He, X.; Hu, J.; Li, R.; Zeng, K.; Yang, G. Pyrolysis Mechanism of Polyimide Containing Bio-Molecule Adenine Building Block. Polym. Degrad. Stab. 2020, 175, 109124. [Google Scholar] [CrossRef]
- Gu, W.; Wang, G.; Zhou, M.; Zhang, T.; Ji, G. Polyimide-Based Foams: Fabrication and Multifunctional Applications. ACS Appl. Mater. Interfaces 2020, 12, 48246–48258. [Google Scholar] [CrossRef] [PubMed]
- He, L.; Chen, T.; Zhang, Y.; Hu, L.; Wang, T.; Han, R.; He, J.-L.; Luo, W.; Liu, Z.-G.; Deng, J.-N.; et al. Imide-DOPO Derivative Endows Epoxy Resin with Excellent Flame Retardancy and Fluorescence without Losing Glass Transition Temperature. Compos. Part B Eng. 2022, 230, 109553. [Google Scholar] [CrossRef]
- Liu, B.W.; Zhao, H.B.; Chen, L.; Chen, L.; Wang, X.L.; Wang, Y.Z. Eco-Friendly Synergistic Cross-Linking Flame-Retardant Strategy with Smoke and Melt-Dripping Suppression for Condensation Polymers. Compos. Part B Eng. 2021, 211, 108664. [Google Scholar] [CrossRef]
- Chen, L.; Xu, Z.; Wang, F.; Duan, G.; Xu, W.; Zhang, G.; Yang, H.; Liu, J.; Jiang, S. A Flame-Retardant and Transparent Wood/Polyimide Composite with Excellent Mechanical Strength. Compos. Commun. 2020, 20, 100355. [Google Scholar] [CrossRef]
- He, H.; Liu, Q.; Zhang, S.-D.; Chen, H.-B. Fabrication and Properties of Polyimide/Carbon Fiber Aerogel and the Derivative Carbon Aerogel. Ind. Eng. Chem. Res. 2022, 61, 3952–3961. [Google Scholar] [CrossRef]
- Bürger, A.; Fitzer, E.; Heym, M.; Terwiesch, B. Polyimides as Precursors for Artificial Carbon. Carbon 1975, 13, 149–157. [Google Scholar] [CrossRef]
- Chen, W.; Chen, W.; Zhang, B.; Yang, S.; Liu, C.Y. Thermal Imidization Process of Polyimide Film: Interplay between Solvent Evaporation and Imidization. Polymer 2017, 109, 205–215. [Google Scholar] [CrossRef]
- Genovese, A.; Shanks, R.A. Fire Performance of Poly(Dimethyl Siloxane) Composites Evaluated by Cone Calorimetry. Compos. Part A Appl. Sci. Manuf. 2008, 39, 398–405. [Google Scholar] [CrossRef]
- Zhong, H.; Wu, D.; Wei, P.; Jiang, P.; Li, Q.; Hao, J. Synthesis, Characteristic of a Novel Additive-Type Flame Retardant Containing Silicon and Its Application in PC/ABS Alloy. J. Mater. Sci. 2007, 42, 10106–10112. [Google Scholar] [CrossRef]
- Zielecka, M.; Rabajczyk, A.; Pastuszka, Ł.; Jurecki, L. Flame Resistant Silicone-Containing Coating Materials. Coatings 2020, 10, 479. [Google Scholar] [CrossRef]
- Nodera, A.; Kanai, T. Flame Retardancy of Polycarbonate-Polydimethylsiloxane Block Copolymer/Silica Nanocomposites. J. Appl. Polym. Sci. 2006, 101, 3862–3868. [Google Scholar] [CrossRef]
- McGrath, J.E.; Dunson, D.L.; Mecham, S.J.; Hedrick, J.L. Synthesis and Characterization of Segmented Polyimide-Polyorganosiloxanecopolymers. Adv. Polym. Sci. 1999, 140, 61–105. [Google Scholar] [CrossRef]
- Unsal, E.; Cakmak, M. Real-Time Characterization of Physical Changes in Polyimide Film Formation: From Casting to Imidization. Macromolecules 2013, 46, 8616–8627. [Google Scholar] [CrossRef]
- Furukawa, N.; Yamada, Y.; Kimurak, Y. Preparation and Stress Relaxation Properties of Thermoplastic Polysiloxane-Block-Polyimides. High Perform. Polym. 1996, 8, 617–630. [Google Scholar] [CrossRef]
- Lauver, R.W. Kinetics of Imidization and Crosslinking in PMR Polyimide Resin. J. Polym. Sci. Polym. Chem. Ed. 1979, 17, 2529–2539. [Google Scholar] [CrossRef]
- Xiao, S.; Iroh, J.O. Novel Polyimide-Block-Poly(Dimethyl Siloxane) Copolymers: Effect of Time on the Synthesis and Thermal Properties. High Perform. Polym. 2021, 34, 095400832110404. [Google Scholar] [CrossRef]
- He, W.; Song, P.; Yu, B.; Fang, Z.; Wang, H. Flame Retardant Polymeric Nanocomposites through the Combination of Nanomaterials and Conventional Flame Retardants. Prog. Mater. Sci. 2020, 114, 100687. [Google Scholar] [CrossRef]
- Han, Y.; Wu, Y.; Shen, M.; Huang, X.; Zhu, J.; Zhang, X. Preparation and Properties of Polystyrene Nanocomposites with Graphite Oxide and Graphene as Flame Retardants. J. Mater. Sci. 2013, 48, 4214–4222. [Google Scholar] [CrossRef]
- Beyer, G. Short Communication: Carbon Nanotubes as Flame Retardants for Polymers. Fire Mater. 2002, 26, 291–293. [Google Scholar] [CrossRef]
- Beyer, G. Nanocomposites: A New Class of Flame Retardants for Polymers. Plast. Addit. Compd. 2002, 4, 22–28. [Google Scholar] [CrossRef]
- Shi, Y.; Li, L.J. Chemically Modified Graphene: Flame Retardant or Fuel for Combustion? J. Mater. Chem. 2011, 21, 3277–3279. [Google Scholar] [CrossRef]
- Bao, C.; Song, L.; Wilkie, C.A.; Yuan, B.; Guo, Y.; Hu, Y.; Gong, X. Graphite Oxide, Graphene, and Metal-Loaded Graphene for Fire Safety Applications of Polystyrene. J. Mater. Chem. 2012, 22, 16399–16406. [Google Scholar] [CrossRef]
- Wang, X.; Song, L.; Yang, H.; Lu, H.; Hu, Y. Synergistic Effect of Graphene on Antidripping and Fire Resistance of Intumescent Flame Retardant Poly(Butylene Succinate) Composites. Ind. Eng. Chem. Res. 2011, 50, 5376–5383. [Google Scholar] [CrossRef]
- Sang, B.; Li, Z.W.; Li, X.H.; Yu, L.G.; Zhang, Z.J. Graphene-Based Flame Retardants: A Review. J. Mater. Sci. 2016, 51, 8271–8295. [Google Scholar] [CrossRef]
- Wu, Q.; Zhu, W.; Zhang, C.; Liang, Z.; Wang, B. Study of Fire Retardant Behavior of Carbon Nanotube Membranes and Carbon Nanofiber Paper in Carbon Fiber Reinforced Epoxy Composites. Carbon 2010, 48, 1799–1806. [Google Scholar] [CrossRef]
- Dittrich, B.; Wartig, K.-A.; Hofmann, D.; Mülhaupt, R.; Schartel, B. Flame Retardancy through Carbon Nanomaterials: Carbon Black, Multiwall Nanotubes, Expanded Graphite, Multi-Layer Graphene and Graphene in Polypropylene. Polym. Degrad. Stab. 2013, 98, 1495–1505. [Google Scholar] [CrossRef]
- Fu, X.; Zhang, C.; Liu, T.; Liang, R.; Wang, B. Carbon Nanotube Buckypaper to Improve Fire Retardancy of High-Temperature/High-Performance Polymer Composites. Nanotechnology 2010, 21, 235701. [Google Scholar] [CrossRef]
- Morgan, A.B.; Putthanarat, S. Use of Inorganic Materials to Enhance Thermal Stability and Flammability Behavior of a Polyimide. Polym. Degrad. Stab. 2011, 96, 23–32. [Google Scholar] [CrossRef]
- Kausar, A.; Rafique, I.; Muhammad, B. Significance of Carbon Nanotube in Flame-Retardant Polymer/CNT Composite: A Review. Polym.-Plast. Technol. Eng. 2017, 56, 470–487. [Google Scholar] [CrossRef]
- Ruoff, R.S.; Lorents, D.C. Mechanical and Thermal Properties of Carbon Nanotubes. Carbon 1995, 33, 925–930. [Google Scholar] [CrossRef]
- Popov, V. Carbon Nanotubes: Properties and Application. Mater. Sci. Eng. R Rep. 2004, 43, 61–102. [Google Scholar] [CrossRef]
- Kausar, A.; Rafique, I.; Muhammad, B. Review of Applications of Polymer/Carbon Nanotubes and Epoxy/CNT Composites. Polym.-Plast. Technol. Eng. 2016, 55, 1167–1191. [Google Scholar] [CrossRef]
- Ma, H.; Tong, L.; Xu, Z.; Fang, Z. Synergistic Effect of Carbon Nanotube and Clay for Improving the Flame Retardancy of ABS Resin. Nanotechnology 2007, 18, 375602. [Google Scholar] [CrossRef]
- Mukhopadhyay, K.; Ram, K.; Rao, K. Carbon Nanotubes and Related Structures. Def. Sci. J. 2008, 58, 437–450. [Google Scholar] [CrossRef][Green Version]
- Xu, X.; Cao, J.; Zhang, Y.; Yang, F.; Deng, Y. The Synthesis and Properties of Isocyanate-Based Polyimide Foam Composites Containing MWCNTs of Various Contents and Diameters. RSC Adv. 2022, 12, 5546–5556. [Google Scholar] [CrossRef]
- Kashiwagi, T.; Du, F.; Winey, K.I.; Groth, K.M.; Shields, J.R.; Bellayer, S.P.; Kim, H.; Douglas, J.F. Flammability Properties of Polymer Nanocomposites with Single-Walled Carbon Nanotubes: Effects of Nanotube Dispersion and Concentration. Polymer 2005, 46, 471–481. [Google Scholar] [CrossRef]
- Zhang, T.; Li, W.; Huang, K.; Guo, H.; Li, Z.; Fang, Y.; Yadav, R.M.; Shanov, V.; Ajayan, P.M.; Wang, L.; et al. Regulation of Functional Groups on Graphene Quantum Dots Directs Selective CO2 to CH4 Conversion. Nat. Commun. 2021, 12, 5265. [Google Scholar] [CrossRef]
- Yuan, B.; Fan, A.; Yang, M.; Chen, X.; Hu, Y.; Bao, C.; Jiang, S.; Niu, Y.; Zhang, Y.; He, S.; et al. The Effects of Graphene on the Flammability and Fire Behavior of Intumescent Flame Retardant Polypropylene Composites at Different Flame Scenarios. Polym. Degrad. Stab. 2017, 143, 42–56. [Google Scholar] [CrossRef]
- Li, Y.; Pei, X.; Shen, B.; Zhai, W.; Zhang, L.; Zheng, W. Polyimide/Graphene Composite Foam Sheets with Ultrahigh Thermostability for Electromagnetic Interference Shielding. RSC Adv. 2015, 5, 24342–24351. [Google Scholar] [CrossRef]
- Xu, L.; Jiang, S.; Li, B.; Hou, W.; Li, G.; Memon, M.A.; Huang, Y.; Geng, J. Graphene Oxide: A Versatile Agent for Polyimide Foams with Improved Foaming Capability and Enhanced Flexibility. Chem. Mater. 2015, 27, 4358–4367. [Google Scholar] [CrossRef]
- Çakir, M.; Kılıç, V.; Boztoprak, Y.; Özmen, F.K. Graphene oxide-containing Isocyanate-based Polyimide Foams: Enhanced Thermal Stability and Flame Retardancy. J. Appl. Polym. Sci. 2021, 138, 51012. [Google Scholar] [CrossRef]
- Has, M.; Erdem, A.; Savas, L.A.; Tayfun, U.; Dogan, M. The Influence of Expandable Graphite on the Thermal, Flame Retardant and Mechanical Characteristics of Short Carbon Fiber Reinforced Polyamide Composites. J. Thermoplast. Compos. Mater. 2022, 089270572210966. [Google Scholar] [CrossRef]
- Guo, Y.; Bao, C.; Song, L.; Yuan, B.; Hu, Y. In Situ Polymerization of Graphene, Graphite Oxide, and Functionalized Graphite Oxide into Epoxy Resin and Comparison Study of on-the-Flame Behavior. Ind. Eng. Chem. Res. 2011, 50, 7772–7783. [Google Scholar] [CrossRef]
- Mei, X.; Ouyang, J. Ultrasonication-Assisted Ultrafast Reduction of Graphene Oxide by Zinc Powder at Room Temperature. Carbon 2011, 49, 5389–5397. [Google Scholar] [CrossRef]
- Bao, C.; Guo, Y.; Yuan, B.; Hu, Y.; Song, L. Functionalized Graphene Oxide for Fire Safety Applications of Polymers: A Combination of Condensed Phase Flame Retardant Strategies. J. Mater. Chem. 2012, 22, 23057–23063. [Google Scholar] [CrossRef]
- Akinyi, C.; Longun, J.; Chen, S.; Iroh, J.O. Decomposition and Flammability of Polyimide Graphene Composites. Minerals 2021, 11, 168. [Google Scholar] [CrossRef]
- Iji, M.; Serizawa, S. Silicone Derivatives as New Flame Retardants for Aromatic Thermoplastics Used in Electronic Devices. Polym. Adv. Technol. 1998, 9, 593–600. [Google Scholar] [CrossRef]
- Okafor, P.A.; Iroh, J.O. Fabrication of Porous Graphene/Polyimide Composites Using Leachable Poly-Acrylic Resin for Enhanced Electrochemical and Energy Storage Capabilities. J. Mater. Chem. A 2015, 3, 17230–17240. [Google Scholar] [CrossRef]
- Okafor, P.A.; Singh-Beemat, J.; Iroh, J.O. Thermomechanical and Corrosion Inhibition Properties of Graphene/Epoxy Ester-Siloxane-Urea Hybrid Polymer Nanocomposites. Prog. Org. Coat. 2015, 88, 237–244. [Google Scholar] [CrossRef]
- Tian, H.; Yao, Y.; Ma, S.; Fu, L.; Xiang, A.; Rajulu, A.V. Improved Mechanical, Thermal and Flame Resistant Properties of Flexible Isocyanate-Based Polyimide Foams by Graphite Incorporation. High Perform. Polym. 2018, 30, 1130–1138. [Google Scholar] [CrossRef]
- Jeon, I.-Y.; Shin, S.-H.; Choi, H.-J.; Yu, S.-Y.; Jung, S.-M.; Baek, J.-B. Heavily Aluminated Graphene Nanoplatelets as an Efficient Flame-Retardant. Carbon 2017, 116, 77–83. [Google Scholar] [CrossRef]
- Huang, J.; Zhao, Z.; Chen, T.; Zhu, Y.; Lv, Z.; Gong, X.; Niu, Y.; Ma, B. Preparation of Highly Dispersed Expandable Graphite/Polystyrene Composite Foam via Suspension Polymerization with Enhanced Fire Retardation. Carbon 2019, 146, 503–512. [Google Scholar] [CrossRef]
- Longun, J.; Walker, G.; Iroh, J.O. Surface and Mechanical Properties of Graphene-Clay/Polyimide Composites and Thin Films. Carbon 2013, 63, 9–22. [Google Scholar] [CrossRef]
- Longun, J.; Iroh, J.O. Nano-Graphene/Polyimide Composites with Extremely High Rubbery Plateau Modulus. Carbon 2012, 50, 1823–1832. [Google Scholar] [CrossRef]
- Longun, J.; Iroh, J.O. Polyimide/Substituted Polyaniline-Copolymer-Nanoclay Composite Thin Films with High Damping Abilities. J. Appl. Polym. Sci. 2013, 128, 1425–1435. [Google Scholar] [CrossRef]
- Iroh, J.O.; Longun, J. Viscoelastic Properties of Montmorillonite Clay/Polyimide Composite Membranes and Thin Films. J. Inorg. Organomet. Polym. Mater. 2012, 22, 653–661. [Google Scholar] [CrossRef]
- Zuo, L.; Fan, W.; Zhang, Y.; Zhang, L.; Gao, W.; Huang, Y.; Liu, T. Graphene/Montmorillonite Hybrid Synergistically Reinforced Polyimide Composite Aerogels with Enhanced Flame-Retardant Performance. Compos. Sci. Technol. 2017, 139, 57–63. [Google Scholar] [CrossRef]
- Akinyi, C.J.; Iroh, J.O. Heat of Decomposition and Fire Retardant Behavior of Polyimide-Graphene Nanocomposites. Energies 2021, 14, 3948. [Google Scholar] [CrossRef]
- Biteau, H.; Steinhaus, T.; Schemel, C.; Simeoni, A.; Marlair, G.; Bal, N.; Torero, J.L. Calculation Methods for the Heat Release Rate of Materials of Unknown Composition. Fire Saf. Sci. 2008, 9, 1165–1176. [Google Scholar] [CrossRef]
- Müller, M.H.B.; Polder, A.; Brynildsrud, O.B.; Lie, E.; Løken, K.B.; Manyilizu, W.B.; Mdegela, R.H.; Mokiti, F.; Murtadha, M.; Nonga, H.E.; et al. Brominated Flame Retardants (BFRs) in Breast Milk and Associated Health Risks to Nursing Infants in Northern Tanzania. Environ. Int. 2016, 89–90, 38–47. [Google Scholar] [CrossRef] [PubMed]
- Ma, Y.; Li, P.; Jin, J.; Wang, Y.; Wang, Q. Current Halogenated Flame Retardant Concentrations in Serum from Residents of Shandong Province, China, and Temporal Changes in the Concentrations. Environ. Res. 2017, 155, 116–122. [Google Scholar] [CrossRef] [PubMed]
- Shaw, S. Halogenated Flame Retardants: Do the Fire Safety Benefits Justify the Risks? Rev. Environ. Health 2010, 25, 261–306. [Google Scholar] [CrossRef] [PubMed]
- Lu, S.-Y.; Hamerton, I. Recent Developments in the Chemistry of Halogen-Free Flame Retardant Polymers. Prog. Polym. Sci. 2002, 27, 1661–1712. [Google Scholar] [CrossRef]
- Petrova, S.; Soudek, P.; Vanek, T. Flame Retardants, Their Use and Environmental Impact. Chem. Listy 2015, 109, 679–686. [Google Scholar]
- Babushok, V.; Tsang, W. Inhibitor Rankings for Alkane Combustion. Combust. Flame 2000, 123, 488–506. [Google Scholar] [CrossRef]
- Gaan, S.; Sun, G.; Hutches, K.; Engelhard, M.H. Effect of Nitrogen Additives on Flame Retardant Action of Tributyl Phosphate: Phosphorus–Nitrogen Synergism. Polym. Degrad. Stab. 2008, 93, 99–108. [Google Scholar] [CrossRef]
- Hörold, S. Phosphorus Flame Retardants in Thermoset Resins. Polym. Degrad. Stab. 1999, 64, 427–431. [Google Scholar] [CrossRef]
- Jian, S.; Ding, C.; Yang, T.; Zhang, C.; Hou, H. Effect of Trace Diphenyl Phosphate on Mechanical and Thermal Performance of Polyimide Composite Films. Compos. Commun. 2018, 7, 42–46. [Google Scholar] [CrossRef]
- Alongi, J.; Frache, A. Flame Retardancy Properties of α-Zirconium Phosphate Based Composites. Polym. Degrad. Stab. 2010, 95, 1928–1933. [Google Scholar] [CrossRef]
- Feng, H.; Qiu, Y.; Qian, L.; Chen, Y.; Xu, B.; Xin, F. Flame Inhibition and Charring Effect of Aromatic Polyimide and Aluminum Diethylphosphinate in Polyamide 6. Polymers 2019, 11, 74. [Google Scholar] [CrossRef] [PubMed]
- Hergenrother, P.M.; Thompson, C.M.; Smith, J.G.; Connell, J.W.; Hinkley, J.A.; Lyon, R.E.; Moulton, R. Flame Retardant Aircraft Epoxy Resins Containing Phosphorus. Polymer 2005, 46, 5012–5024. [Google Scholar] [CrossRef]
- Peters, E.N. Flame-Retardant Thermoplastics. I. Polyethylene–Red Phosphorus. J. Appl. Polym. Sci. 1979, 24, 1457–1464. [Google Scholar] [CrossRef]
- Granzow, A.; Cannelongo, J.F. The Effect of Red Phosphorus on the Flammability of Poly(Ethylene Terephthalate). J. Appl. Polym. Sci. 1976, 20, 689–701. [Google Scholar] [CrossRef]
- Liu, H.; Guo, Y.; Tian, H.; Yao, Y.; Liu, Q.; Xiang, A.; Zhou, H. Fabrication of Polyimide Foams with Superior Mechanical and Flame Resistance Properties Utilizing the Graft Copolymerization between Red Phosphorus and Graphene Oxide. Mater. Sci. Eng. B 2022, 275, 115498. [Google Scholar] [CrossRef]
- Levchik, S.V.; Costa, L.; Camino, G. Effect of the Fire-Retardant Ammonium Polyphosphate on the Thermal Decomposition of Aliphatic Polyamides. Part III—Polyamides 6.6 and 6.10. Polym. Degrad. Stab. 1994, 43, 43–54. [Google Scholar] [CrossRef]
- Duquesne, S.; le Bras, M.; Bourbigot, S.; Delobel, R.; Camino, G.; Eling, B.; Lindsay, C.; Roels, T.; Vezin, H. Mechanism of Fire Retardancy of Polyurethanes Using Ammonium Polyphosphate. J. Appl. Polym. Sci. 2001, 82, 3262–3274. [Google Scholar] [CrossRef]
- Shih, Y.-F.; Wang, Y.-T.; Jeng, R.-J.; Wei, K.-M. Expandable Graphite Systems for Phosphorus-Containing Unsaturated Polyesters. I. Enhanced Thermal Properties and Flame Retardancy. Polym. Degrad. Stab. 2004, 86, 339–348. [Google Scholar] [CrossRef]
- El Gouri, M.; El Bachiri, A.; Hegazi, S.E.; Rafik, M.; El Harfi, A. Thermal Degradation of a Reactive Flame Retardant Based on Cyclotriphosphazene and Its Blend with DGEBA Epoxy Resin. Polym. Degrad. Stab. 2009, 94, 2101–2106. [Google Scholar] [CrossRef]
- Ding, J.; Shi, W. Thermal Degradation and Flame Retardancy of Hexaacrylated/Hexaethoxyl Cyclophosphazene and Their Blends with Epoxy Acrylate. Polym. Degrad. Stab. 2004, 84, 159–165. [Google Scholar] [CrossRef]
- Feng, H.; Qian, L.; Lu, L. Synergistic Effect of Polyimide Charring Agent and Hexaphenoxycyclotriphosphazene on Improving Fire Safety of Polycarbonate: High Graphitization to Strengthen the Char Layer. Polym. Adv. Technol. 2021, 32, 1135–1149. [Google Scholar] [CrossRef]
- You, G.; Cai, Z.; Peng, H.; Tan, X.; He, H. A Well-Defined Cyclotriphosphazene-Based Epoxy Monomer and Its Application as a Novel Epoxy Resin: Synthesis, Curing Behaviors, and Flame Retardancy. Phosphorus Sulfur Silicon Relat. Elem. 2014, 189, 541–550. [Google Scholar] [CrossRef]
- Xu, G.R.; Xu, M.J.; Li, B. Synthesis and Characterization of a Novel Epoxy Resin Based on Cyclotriphosphazene and Its Thermal Degradation and Flammability Performance. Polym. Degrad. Stab. 2014, 109, 240–248. [Google Scholar] [CrossRef]
- Chen, Y.; Wang, W.; Qiu, Y.; Li, L.; Qian, L.; Xin, F. Terminal Group Effects of Phosphazene-Triazine Bi-Group Flame Retardant Additives in Flame Retardant Polylactic Acid Composites. Polym. Degrad. Stab. 2017, 140, 166–175. [Google Scholar] [CrossRef]
- Zhang, K.; Wu, H.; Wang, T.; Yao, M.; Xie, J.; Jiao, Y. Flame-retardant Effect of Cross-linked Phosphazene Derivatives and Pentaerythritol Derivatives on Polypropylene. J. Therm. Anal. Calorim. 2021, 145, 3067–3075. [Google Scholar] [CrossRef]
- Wang, X.; Li, Q.; Di, Y.; XIng, G. Preparation and Properties of Flame-Retardant Viscose Fiber Containing Phosphazene Derivative. Fibers Polym. 2012, 13, 718–823. [Google Scholar] [CrossRef]
- Devaraju, S.; Selvi, M.; Alagar, M. Synthesis and Characterization of Thermally Stable and Flame Retardant Hexakis(4-Aminophenoxy)Cyclotriphosphazene-Based Polyimide Matrices. Int. J. Polym. Anal. Charact. 2018, 23, 29–37. [Google Scholar] [CrossRef]
- Wu, X.; Jiang, G.; Zhang, Y.; Wu, L.; Jia, Y.; Tan, Y.; Liu, J.; Zhang, X. Enhancement of Flame Retardancy of Colorless and Transparent Semi-Alicyclic Polyimide Film from Hydrogenated-BPDA and 4,4′-Oxydianiline via the Incorporation of Phosphazene Oligomer. Polymers 2020, 12, 90. [Google Scholar] [CrossRef]
- Wu, X.; Wu, L.; Qi, L.; Yin, L.M.; Yang, Y.; Jiang, G.L.; Zhi, X.X.; Zhang, Y.; Liu, J.G.; Wu, J.T. Preparation, Characterization, and Continuous Manufacturing of Nonflammable Colorless and Transparent Semi-Alicyclic Polyimide Film Modified with Phenoxy- Phosphazene Oligomer Flame Retardant. Express Polym. Lett. 2021, 15, 329–342. [Google Scholar] [CrossRef]
- Tao, W.; Hu, X.; Sun, J.; Qian, L.; Li, J. Effects of P–N Flame Retardants Based on Cytosine on Flame Retardancy and Mechanical Properties of Polyamide 6. Polym. Degrad. Stab. 2020, 174, 109092. [Google Scholar] [CrossRef]
- Yuan, C.Y.; Chen, S.Y.; Tsai, C.H.; Chiu, Y.S.; Chen-Yang, Y.W. Thermally Stable and Flame-Retardant Aromatic Phosphate and Cyclotriphosphazene-Containing Polyurethanes: Synthesis and Properties. Polym. Adv. Technol. 2005, 16, 393–399. [Google Scholar] [CrossRef]
- Zhang, X.; Eichen, Y.; Miao, Z.; Zhang, S.; Cai, Q.; Liu, W.; Zhao, J.; Wu, Z. Novel Phosphazene-Based Flame Retardant Polyimine Vitrimers with Monomer-Recovery and High Performances. Chem. Eng. J. 2022, 440, 135806. [Google Scholar] [CrossRef]
- Wang, L.; Yang, B.; Guo, Y.; Zhang, Y.; Wang, N.; Li, F.; Yu, H.; Cui, J.; Guo, J.; Mu, B.; et al. Synthesis of Multielement Phosphazene Derivative and the Study on Flame-Retardant Properties of Epoxy Resin. High Perform. Polym. 2020, 32, 1169–1180. [Google Scholar] [CrossRef]
- Rangaraj, V.M.; Singh, S.; Devaraju, S.; Wadi, V.S.; Alhassan, S.; Anjum, D.H.; Mittal, V. Polypropylene/Phosphazene Nanotube Nanocomposites: Thermal, Mechanical, and Flame Retardation Studies. J. Appl. Polym. Sci. 2020, 173, 49525. [Google Scholar] [CrossRef]
- van Krevelen, D.W. Some Basic Aspects of Flame Resistance of Polymeric Materials. Polymer 1975, 16, 615–620. [Google Scholar] [CrossRef]
- Kumar, D.; Gupta, A.D. Aromatic Cyclolinear Phosphazene Polyimides Based on a Novel Bis-Spiro-Substituted Cyclotriphosphazene Diamine. Macromolecules 1995, 28, 6323–6329. [Google Scholar] [CrossRef]
- Shin, Y.J.; Ham, Y.R.; Kim, S.H.; Lee, D.H.; Kim, S.B.; Park, C.S.; Yoo, Y.M.; Kim, J.G.; Kwon, S.H.; Shin, J.S. Application of Cyclophosphazene Derivatives as Flame Retardants for ABS. J. Ind. Eng. Chem. 2010, 16, 364–367. [Google Scholar] [CrossRef]
- Di, Y.; Wu, X.; Zhao, Z.; Wang, W. Experimental Investigation of Mechanical, Thermal, and Flame-retardant Property of Polyamide 6/Phenoxyphosphazene Fibers. J. Appl. Polym. Sci. 2020, 137, 48458. [Google Scholar] [CrossRef]
- Kirby, R.; Mosurkal, R.; Li, L.; Kumar, J.; Soares, J.W. Polysiloxane-Based Organoclay Nanocomposites as Flame Retardants. Polym. Plast. Technol. Eng. 2013, 52, 1527–1534. [Google Scholar] [CrossRef]
- Lu, Z.; Feng, W.; Kang, X.; Wang, J.; Xu, H.; Wang, Y.; Liu, B.; Fang, X.; Ding, T. Synthesis of Siloxane-containing Benzoxazine and Its Synergistic Effect on Flame Retardancy of Polyoxymethylene. Polym. Adv. Technol. 2019, 30, 2686–2694. [Google Scholar] [CrossRef]
- Mosurkal, R.; Tucci, V.; Samuelson, L.A.; Smith, K.D.; Westmoreland, P.R.; Parmar, V.S.; Kumar, J.; Watterson, A.C. Novel Organo-Siloxane Copolymers for Flame Retardant Applications. In Advances in Silicones and Silicone-Modified Materials; American Chemical Society: Washington, DC, USA, 2010; pp. 157–165. [Google Scholar]
- Long, J.; Shi, X.; Liu, B.; Lu, P.; Chen, L.; Wang, Y. Semi-Aromatic Polyamides Containing Siloxane Unit toward High Performance. Acta Polym. Sin. 2020, 51, 681–686. [Google Scholar]
- Song, R.; Chang, L.; Li, B. Flame Retardancy and Thermal Properties of Carboxyl-Containing Polysiloxane Derivatives in Polycarbonate. J. Appl. Polym. Sci. 2014, 131, 39814. [Google Scholar] [CrossRef]
- Tian, J.; Yang, Y.; Xue, T.; Chao, G.; Fan, W.; Liu, T. Highly Flexible and Compressible Polyimide/Silica Aerogels with Integrated Double Network for Thermal Insulation and Fire-Retardancy. J. Mater. Sci. Technol. 2022, 105, 194–202. [Google Scholar] [CrossRef]
- Hamdani, S.; Longuet, C.; Perrin, D.; Lopez-cuesta, J.M.; Ganachaud, F. Flame Retardancy of Silicone-Based Materials. Polym. Degrad. Stab. 2009, 94, 465–495. [Google Scholar] [CrossRef]
- Deshpande, G.; Rezac, M.E.; Irisawa, T. The Effect of Phenyl Content on the Degradation of Poly(Dimethyl Diphenyl) Siloxane Copolymers. Polym. Degrad. Stab. 2001, 74, 363–370. [Google Scholar] [CrossRef]
- Jovanovic, J.D.; Govedarica, M.N.; Dvornic, P.R.; Popovic, I.G. The Thermogravimetric Analysis of Some Polysiloxanes. Polym. Degrad. Stab. 1998, 61, 87–93. [Google Scholar] [CrossRef]
- Mansouri, J.; Burford, R.P.; Cheng, Y.B.; Hanu, L. Formation of Strong Ceramified Ash from Silicone-Based Compositions. J. Mater. Sci. 2005, 40, 5741–5749. [Google Scholar] [CrossRef]
- Grassie, N.; Francey, K.F. The Thermal Degradation of Polysiloxanes-Part 3: Poly(Dimethyl/Methyl Phenyl Siloxane). Polym. Degrad. Stab. 1980, 2, 53–66. [Google Scholar] [CrossRef]
- Connell, J.E.; Metcalfe, E.; Thomas, M.J.K. Silicate-Siloxane Fire Retardant Composites. Polym. Int. 2000, 49, 1092–1094. [Google Scholar] [CrossRef]
- Dong, W.; Zhang, X.; Liu, Y.; Wang, Q.; Gui, H.; Gao, J.; Song, Z.; Lai, J.; Huang, F.; Qiao, J. Flame Retardant Nanocomposites of Polyamide 6/Clay/Silicone Rubber with High Toughness and Good Flowability. Polymer 2006, 47, 6874–6879. [Google Scholar] [CrossRef]
- Zhang, X.; Ni, X.; Li, C.; You, B.; Sun, G. Co-Gel Strategy for Preparing Hierarchically Porous Silica/Polyimide Nanocomposite Aerogel with Thermal Insulation and Flame Retardancy. J. Mater. Chem. A 2020, 8, 9701–9712. [Google Scholar] [CrossRef]
- Yang, W.-J.; Wei, C.-X.; Yuen, A.C.Y.; Lin, B.; Yeoh, G.H.; Lu, H.-D.; Yang, W. Fire-Retarded Nanocomposite Aerogels for Multifunctional Applications: A Review. Compos. Part B Eng. 2022, 237, 109866. [Google Scholar] [CrossRef]
- Huang, J.; He, C.; Xiao, Y.; Mya, K.Y.; Dai, J.; Siow, Y.P. Polyimide/POSS Nanocomposites: Interfacial Interaction, Thermal Properties and Mechanical Properties. Polymer 2003, 44, 4491–4499. [Google Scholar] [CrossRef]
- Yan, L.; Fu, L.; Chen, Y.; Tian, H.; Xiang, A.; Rajulu, A.V. Improved Thermal Stability and Flame Resistance of Flexible Polyimide Foams by Vermiculite Reinforcement. J. Appl. Polym. Sci. 2017, 134, 44828. [Google Scholar] [CrossRef]
- Faghihi, K.; Hajibeygi, M.; Shabanian, M. Polyimide–Silver Nanocomposite Containing Phosphine Oxide Moieties in the Main Chain: Synthesis and Properties. Chin. Chem. Lett. 2010, 21, 1387–1390. [Google Scholar] [CrossRef]
- Seckin, T.; Köytepe, S. Synthesis and Characterization of Borax-Polyimide for Flame Retardant Applications. Macromol. Symp. 2010, 296, 575–582. [Google Scholar] [CrossRef]
- Fina, A.; Abbenhuis, H.C.L.; Tabuani, D.; Camino, G. Metal Functionalized POSS as Fire Retardants in Polypropylene. Polym. Degrad. Stab. 2006, 91, 2275–2281. [Google Scholar] [CrossRef]
- Scott, D.W.; Scott, B.D.W. Thermal Rearrangement of Branched-Chain Methylpolysiloxanes1 Branched-Chain Methylpolysiloxanes. J. Am. Chem. Soc. 1946, 68, 356–358. [Google Scholar] [CrossRef]
- Mohamed, M.G.; Kuo, S.W. Functional Polyimide/Polyhedral Oligomeric Silsesquioxane Nanocomposites. Polymers 2019, 11, 26. [Google Scholar] [CrossRef]
- Turgut, G.; Dogan, M.; Tayfun, U.; Ozkoc, G. The Effects of POSS Particles on the Flame Retardancy of Intumescent Polypropylene Composites and the Structure-Property Relationship. Polym. Degrad. Stab. 2018, 149, 96–111. [Google Scholar] [CrossRef]
- Devaraju, S.; Vengatesan, M.R.; Selvi, M.; Kumar, A.A.; Alagar, M. Synthesis and Characterization of Bisphenol-A Ether Diamine-Based Polyimide POSS Nanocomposites for Low K Dielectric and Flame-Retardant Applications. High Perform. Polym. 2012, 24, 85–96. [Google Scholar] [CrossRef]
- Jothibasu, S.; Premkumar, S.; Alagar, M.; Hamerton, I. Synthesis and Characterization of a POSS-Maleimide Precursor for Hybrid Nanocomposites. High Perform. Polym. 2008, 20, 67–85. [Google Scholar] [CrossRef]
- Leu, C.M.; Chang, Y.T.; Wei, K.H. Synthesis and Dielectric Properties of Polyimide-Tethered Polyhedral Oligomeric Silsesquioxane (POSS) Nanocomposites via Poss-Diamine. Macromolecules 2003, 36, 9122–9127. [Google Scholar] [CrossRef]
- Kuo, S.W.; Chang, F.C. POSS Related Polymer Nanocomposites. Prog. Polym. Sci. 2011, 36, 1649–1696. [Google Scholar] [CrossRef]
- Wu, H.; Zeng, B.; Chen, J.; Wu, T.; Li, Y.; Liu, Y.; Dai, L. An Intramolecular Hybrid of Metal Polyhedral Oligomeric Silsesquioxanes with Special Titanium-Embedded Cage Structure and Flame Retardant Functionality. Chem. Eng. J. 2019, 374, 1304–1316. [Google Scholar] [CrossRef]
- Zhai, C.; Xin, F.; Cai, L.; Chen, Y.; Qian, L. Flame Retardancy and Pyrolysis Behavior of an Epoxy Resin Composite Flame-retarded by Diphenylphosphinyl-POSS. Polym. Eng. Sci. 2020, 60, 3024–3035. [Google Scholar] [CrossRef]
- Safarikova, B.; Kalendova, A.; Habrova, V.; Zatloukalova, S.; Machovsky, M. Synergistic Effect between Polyhedral Oligomeric Silsesquioxane and Flame Retardants. In AIP Conference Proceedings; American Institute of Physics: College Park, MD, USA, 2014; pp. 106–109. [Google Scholar]
- Bourbigot, S.; Duquesne, S.; Fontaine, G.; Bellayer, S.; Turf, T.; Samyn, F. Characterization and Reaction to Fire of Polymer Nanocomposites with and without Conventional Flame Retardants. Mol. Cryst. Liq. Cryst. 2008, 486, 325–1367. [Google Scholar] [CrossRef]
- Xue, M.; Zhang, X.; Wu, Z.; Wang, H.; Ding, X.; Tian, X. Preparation and Flame Retardancy of Polyurethane/POSS Nanocomposites. Chin. J. Chem. Phys. 2013, 26, 445–450. [Google Scholar] [CrossRef]
- Muhammad, S.; Niazi, J.H.; Shawuti, S.; Qureshi, A. Functional POSS Based Polyimide Nanocomposite for Enhanced Structural, Thermal, Antifouling and Antibacterial Properties. Mater. Today Commun. 2022, 31, 103287. [Google Scholar] [CrossRef]
- Handke, M.; Handke, B.; Kowalewska, A.; Jastrzebski, W. New Polysilsesquioxane Materials of Ladder-like Structure. J. Mol. Struct. 2009, 924–926, 254–263. [Google Scholar] [CrossRef]
- Wen-Chang Liaw, K.-P.C. Preparation and Properties of Poly(Imide Siloxane) Segmented Copolymer/Silica Hybrid Nanocomposites. J. Appl. Polym. Sci. 2007, 105, 809–820. [Google Scholar] [CrossRef]
- Feng, Y.; Qi, S.; Wu, Z.; Wang, X.; Yang, X.; Wu, D. Preparation and Characterization of Polyimide/Ladder like Polysiloxane Hybrid Films. Mater. Lett. 2010, 64, 2710–2713. [Google Scholar] [CrossRef]
- Fan, H.; Yang, R. Thermal Decomposition of Polyhedral Oligomeric Octaphenyl, Octa(Nitrophenyl), and Octa(Aminophenyl) Silsesquioxanes. J. Therm. Anal. Calorim. 2014, 116, 349–357. [Google Scholar] [CrossRef]
- Fan, H.; Yang, R. Flame-Retardant Polyimide Cross-Linked with Polyhedral Oligomeric Octa(Aminophenyl)Silsesquioxane. Ind. Eng. Chem. Res. 2013, 52, 2493–2500. [Google Scholar] [CrossRef]
- Pielichowski, K.; Njuguna, J.; Janowski, B.; Pielichowski, J. Polyhedral Oligomeric Silsesquioxanes (POSS)-Containing Nanohybrid Polymers. In Supramolecular Polymers Polymeric Betains Oligomers; Springer: Berlin/Heidelberg, Germany, 2006; pp. 225–296. [Google Scholar]
- Zhang, M.; Zhang, W.; Chen, Y.; Yang, B. Preparation of Efficiently Intumescent-Flame-Retarded Polypropylene Composite: Synergistic Effect of Novel Phosphorus-Containing Polyhedral Oligomeric Silsesquioxane. Plast. Rubber Compos. 2021, 50, 464–476. [Google Scholar] [CrossRef]
- Strąkowska, A.; Członka, S.; Miedzińska, K.; Strzelec, K. Chlorine-Functional Silsesquioxanes (POSS-Cl) as Effective Flame Retardants and Reinforcing Additives for Rigid Polyurethane Foams. Molecules 2021, 26, 3979. [Google Scholar] [CrossRef]
- Li, S.; Yan, H.; Tang, C.; Niu, S.; Jia, Y. Novel Phosphorus-Containing Polyhedral Oligomeric Silsesquioxane Designed for High-Performance Flame-Retardant Bismaleimide Resins. J. Polym. Res. 2016, 23, 238. [Google Scholar] [CrossRef]
- Song, T.; Li, Z.S.; Liu, J.G.; Yang, S.Y. Novel Phosphorus–Silicon Synergistic Flame Retardants: Synthesis and Characterization. Chin. Chem. Lett. 2012, 23, 793–796. [Google Scholar] [CrossRef]
- Liu, C.; Chen, T.; Yuan, C.; Chang, Y.; Chen, G.; Zeng, B.; Xu, Y.; Luo, W.; Dai, L. Highly Transparent and Flame-Retardant Epoxy Composites Based on a Hybrid Multi-Element Containing POSS Derivative. RSC Adv. 2017, 7, 46139–46147. [Google Scholar] [CrossRef]
- Karlsson, L.; Lundgren, A.; Jungqvist, J.; Hjertberg, T. Effect of Nanofillers on the Flame Retardant Properties of a Polyethylene-Calcium Carbonate-Silicone Elastomer System. Fire Mater. 2011, 35, 443–452. [Google Scholar] [CrossRef]
- Zhang, W.; Li, X.; Guo, X.; Yang, R. Mechanical and Thermal Properties and Flame Retardancy of Phosphorus-Containing Polyhedral Oligomeric Silsesquioxane (DOPO-POSS)/Polycarbonate Composites. Polym. Degrad. Stab. 2010, 95, 2541–2546. [Google Scholar] [CrossRef]
- Jiang, J.; Wang, Y.; Luo, Z.; Qi, T.; Qiao, Y.; Zou, M.; Wang, B. Design and Application of Highly Efficient Flame Retardants for Polycarbonate Combining the Advantages of Cyclotriphosphazene and Silicone Oil. Polymers 2019, 11, 1155. [Google Scholar] [CrossRef] [PubMed]
- Yang, J.; Ma, W.; Hu, D.; Zhang, D.; Wu, L.; Yang, B.; Zhang, S. Facile Preparation and Flame Retardancy Mechanism of Cyclophosphazene Derivatives for Highly flame-retardant Silicone Rubber Composites. J. Appl. Polym. Sci. 2021, 138, 50297. [Google Scholar] [CrossRef]
- Liu, J.; Kong, D.; Dong, C.; Zhang, Z.; Wang, S.; Sun, H.; Lu, Z. Preparation of a Novel P/Si Polymer and Its Synergistic Flame Retardant Application on Cotton Fabric. Cellulose 2021, 28, 8735–8749. [Google Scholar] [CrossRef]
- Hu, Z.; Chen, L.; Zhao, B.; Luo, Y.; Wang, D.-Y.; Wang, Y.-Z. A Novel Efficient Halogen-Free Flame Retardant System for Polycarbonate. Polym. Degrad. Stab. 2011, 96, 320–327. [Google Scholar] [CrossRef]
- Kumar, R.; Tyagi, R.; Parmar, V.S.; Samuelson, L.A.; Kumar, J.; Schoemann, A.; Westmoreland, P.R.; Watterson, A.C. Biocatalytic Synthesis of Highly Flame Retardant Inorganic–Organic Hybrid Polymers. Adv. Mater. 2004, 16, 1515–1520. [Google Scholar] [CrossRef]
- Ni, P.; Fang, Y.; Qian, L.; Qiu, Y. Flame-Retardant Behavior of a Phosphorus/Silicon Compound on Polycarbonate. J. Appl. Polym. Sci. 2018, 135, 45815. [Google Scholar] [CrossRef]
- Hsiue, G.-H.; Liu, Y.-L.; Tsiao, J. Phosphorus-Containing Epoxy Resins for Flame Retardancy V: Synergistic Effect of Phosphorus-Silicon on Flame Retardancy. J. Appl. Polym. Sci. 2000, 78, 1–7. [Google Scholar] [CrossRef]
- Revathi, R.; Prabunathan, P.; Alagar, M. Synthesis and Studies on Phosphazene Core-Based POSS-Reinforced Polyimide Nanocomposites. Polym. Bull. 2019, 76, 387–407. [Google Scholar] [CrossRef]
- Heydari, M.; Rahman, M.; Gupta, R. Kinetic Study and Thermal Decomposition Behavior of Lignite Coal. Int. J. Chem. Eng. 2015, 2015, 481739. [Google Scholar] [CrossRef]
- Serbezeanu, D.; Butnaru, I.; Varganici, C.-D.; Bruma, M.; Fortunato, G.; Gaan, S. Phosphorus-Containing Polyimide Fibers and Their Thermal Properties. RSC Adv. 2016, 6, 38371–38379. [Google Scholar] [CrossRef][Green Version]
- Othman, M.B.H.; Ahmad, Z.; Osman, H.; Omar, M.F.; Akil, H.M. Thermal Degradation Behavior of a Flame Retardant Melamine Derivative Hyperbranched Polyimide with Different Terminal Groups. RSC Adv. 2015, 5, 92664–92676. [Google Scholar] [CrossRef]
- Buchko, C.J.; Chen, L.C.; Shen, Y.; Martin, D.C. Processing and Microstructural Characterization of Porous Biocompatible Protein Polymer Thin Films. Polymer 1999, 40, 7397–7407. [Google Scholar] [CrossRef]
- Budrugeac, P. Some Methodological Problems Concerning the Kinetic Analysis of Non-Isothermal Data for Thermal and Thermo-Oxidative Degradation of Polymers and Polymeric Materials. Polym. Degrad. Stab. 2005, 89, 265–273. [Google Scholar] [CrossRef]
- Camino, G.; Costa, L.; Casorati, E.; Bertelli, G.; Locatelli, R. The Oxygen Index Method in Fire Retardance Studies of Polymeric Materials. J. Appl. Polym. Sci. 1988, 35, 1863–1876. [Google Scholar] [CrossRef]
- Fenimore, C.P.; Martin, F.J. Flammability of Polymers. Combust. Flame 1966, 10, 135–139. [Google Scholar] [CrossRef]
- Redfern, J.P. Rate of Heat Release Measurement Using the Cone Calorimeter. J. Therm. Anal. 1989, 35, 1861–1877. [Google Scholar] [CrossRef]
- Weil, E.D.; Patel, N.G.; Said, M.M.; Hirschler, M.M.; Shakir, S. Oxygen Index: Correlations to Other Fire Tests. Fire Mater. 1992, 16, 159–167. [Google Scholar] [CrossRef]
- Wang, Y.; Zhang, J.; Jow, J.; Su, K. Analysis and Modeling of Ignitability of Polymers in the UL-94 Vertical Burning Test Condition. J. Fire Sci. 2009, 27, 561–581. [Google Scholar] [CrossRef]
- Wang, Y.; Jow, J.; Su, K.; Zhang, J. Dripping Behavior of Burning Polymers under UL94 Vertical Test Conditions. J. Fire Sci. 2012, 30, 477–501. [Google Scholar] [CrossRef]
- Wang, Y.; Zhang, J. Thermal Stabilities of Drops of Burning Thermoplastics under the UL 94 Vertical Test Conditions. J. Hazard. Mater. 2013, 246–247, 103–109. [Google Scholar] [CrossRef] [PubMed]
- Morgan, A.B.; Bundy, M. Cone Calorimeter Analysis of UL-94 V-Rated Plastics. Fire Mater. 2007, 31, 257–283. [Google Scholar] [CrossRef]
- Dupretz, R.; Fontaine, G.; Duquesne, S.; Bourbigot, S. Instrumentation of UL-94 Test: Understanding of Mechanisms Involved in Fire Retardancy of Polymers. Polym. Adv. Technol. 2015, 26, 865–873. [Google Scholar] [CrossRef]
- Piechota, H. Some Correlations Between Raw Materials, Formalation, and Flame-Retardant Properties of Rigid Urethane Foams. J. Cell. Plast. 1965, 1, 186–199. [Google Scholar] [CrossRef]
- Babrauskas, V. Development of the Cone Calorimeter?A Bench-Scale Heat Release Rate Apparatus Based on Oxygen Consumption. Fire Mater. 1984, 8, 81–95. [Google Scholar] [CrossRef]
- Babrauskas, V.; Parker, W.J. Ignitability Measurements with the Cone Calorimeter. Fire Mater. 1987, 11, 31–43. [Google Scholar] [CrossRef]
- Morgan, A.B.; Benin, V.; Klosterman, D.A.; Sulayman, A.B.; Mukhtar, M.; Galaska, M.L. Organophosphorus-Hydrazides as Potential Reactive Flame Retardants for Epoxy. J. Fire Sci. 2020, 38, 28–52. [Google Scholar] [CrossRef]
- Galaska, M.L.; Horrocks, A.R.; Morgan, A.B. Flammability of Natural Plant and Animal Fibers: A Heat Release Survey. Fire Mater. 2017, 41, 275–288. [Google Scholar] [CrossRef]
- Wang, K.; Morgan, A.B.; Benin, V. Preparation and Studies of New Phosphorus-Containing Diols as Potential Flame Retardants. Fire Mater. 2017, 41, 973–982. [Google Scholar] [CrossRef]
- Zhang, R.; Steiner, M.A.; Agnew, S.R.; Kairy, S.K.; Davies, C.H.J.; Birbilis, N. Experiment-Based Modelling of Grain Boundary β-Phase (Mg2Al3) Evolution during Sensitisation of Aluminium Alloy AA5083. Sci. Rep. 2017, 7, 2961. [Google Scholar] [CrossRef]
- Lyon, R.E.; Walters, R.N.; Stoliarov, S.I.; Safronava, N. Principles and Practice of Microscale Combustion Calorimetry; Federal Aviation Administration, Atlantic City Airport: Atlantic City, NJ, USA, 2013; pp. 1–80.
- Xu, Q.; Mensah, R.A.; Jin, C.; Jiang, L. A Critical Review of the Methods and Applications of Microscale Combustion Calorimetry for Material Flammability Assessment. J. Therm. Anal. Calorim. 2021, 147, 6001–6013. [Google Scholar] [CrossRef]






















| Samples | Peak HRR (kW/m2) | Time to Peak HRR (s) | Mean HRR (kW/m2) |
|---|---|---|---|
| Nylon-6 | 790 | 375 | 370 |
| PA-1 a | 317 | 685 | 129 |
| PA-2 b | 249 | 380 | 110 |
| TGA | DSC | LOI/UL-94 | |
|---|---|---|---|
| Sample Scale | mg | mg | g |
| Strength | Monitor weight change under controllable heat conditions. Char yield, Td, LOI | Calorimeter method, measuring phase transition (Tg, Tm) temperature, heat capacity and enthalpy change | Commercially preferred standard flame-retardant test, easy, and low-cost |
| Weakness | Lack of information on heat release | Usually test under Td, cannot provide weight-loss conditions | Insufficient sensitivity |
| Cone Calorimeter | MCC | ||
| Sample Scale | g | mg | |
| Strength | Provide detailed information on combustion, including mass loss, heat-release rate (HRR), total heat released (THR), time to ignition, and time of combustion/extinction | Non-flaming combustion methods separately control and study the pyrolysis and thermal oxidation | |
| Weakness | Require large scale and specific dimension samples | Accuracy influenced by potential side products of decomposition, such as water vapor and carbon oxide | |
Publisher’s Note: MDPI stays neutral with regard to jurisdictional claims in published maps and institutional affiliations. |
© 2022 by the authors. Licensee MDPI, Basel, Switzerland. This article is an open access article distributed under the terms and conditions of the Creative Commons Attribution (CC BY) license (https://creativecommons.org/licenses/by/4.0/).
Share and Cite
Xiao, S.; Akinyi, C.; Longun, J.; Iroh, J.O. Polyimide Copolymers and Nanocomposites: A Review of the Synergistic Effects of the Constituents on the Fire-Retardancy Behavior. Energies 2022, 15, 4014. https://doi.org/10.3390/en15114014
Xiao S, Akinyi C, Longun J, Iroh JO. Polyimide Copolymers and Nanocomposites: A Review of the Synergistic Effects of the Constituents on the Fire-Retardancy Behavior. Energies. 2022; 15(11):4014. https://doi.org/10.3390/en15114014
Chicago/Turabian StyleXiao, Shengdong, Caroline Akinyi, Jimmy Longun, and Jude O. Iroh. 2022. "Polyimide Copolymers and Nanocomposites: A Review of the Synergistic Effects of the Constituents on the Fire-Retardancy Behavior" Energies 15, no. 11: 4014. https://doi.org/10.3390/en15114014
APA StyleXiao, S., Akinyi, C., Longun, J., & Iroh, J. O. (2022). Polyimide Copolymers and Nanocomposites: A Review of the Synergistic Effects of the Constituents on the Fire-Retardancy Behavior. Energies, 15(11), 4014. https://doi.org/10.3390/en15114014

