Development of a Single-Phase, Transient, Subchannel Code, within the MOOSE Multi-Physics Computational Framework
Abstract
1. Introduction
2. Methods
2.1. Subchannel Governing Equations
- Conservation of mass:where i is the sub-channel index and j the index of the neighbor subchannel. refers to the difference between the inlet and outlet of the control volume in the axial direction. [kg/sec] is the mass flow rate of sub-channel i in the axial direction. is the density and [kg/sec] is the diversion crossflow in the lateral direction from sub-channel i to neighboring subchannel j, resulting from local pressure differences between the two subchannels.
- Conservation of linear momentum in the axial direction:In the left hand side we retrieve the change of momentum in the axial direction and the inertia transfer between subchannels due to diversion crossflow . is the axial velocity of the donor cell and represents gravity force, where g is the acceleration of gravity is the flow area and the axial length of the control volume . We have assumed that gravity is the only significant body force in the momentum equation. The donor cell is the cell from which crossflow flows out of and depends on the sign of . If it is positive the donor cell is i and if it is negative the donor cell is j. Henceforward, donor cell quantities will be denoted with the star () symbol. is caused by fluid rod interface and possible local form loss coefficient due to spacers/mixing-vanes. is caused by viscous stresses within the fluid at the interface between subchannels. is the axial pressure drop.
- Conservation of linear momentum in the lateral direction:Here, is the lateral flow surface area between the subchannels i,j. is the gap between subchannels. Lateral pressure gradient () across the subchannels and/or forced mixing between subchannels owing to mixing vanes and spacer grids is the driving force behind diversion crossflow . is the distance between the centers of subchannels i,j. is the average axial velocity of the two subchannels. The overall friction loss term absorbs all the viscous effects and form losses associated with momentum exchange between the fluid and the wall due to the fluid motion through the gap.
- Conservation of enthalpy:For a single-phase liquid we can neglect dissipation due to viscous stresses and set the total derivative of pressure (work of pressure) to zero. We can also neglect the volumetric heat source due to moderation, since heat is mainly transferred to the fluid through the fuel rods surface. Here, we have defined as the turbulent enthalpy transfer between sub-channels i,j, is the dissipation due to viscous stresses and is the average linear power going into control volume of subchannel i from the fuel rods.
2.2. Closure Models
- Axial direction friction term:where is an overall axial loss coefficient encompassing concentrated form losses due to the changing of the flow area to due the narrow connecting gap and frictional losses due to fluid/rod interaction. is the Darcy friction factor, is the hydraulic diameter and the local form loss coefficient of subchannel i.
- Lateral direction friction term:where is an overall loss coefficient, encompassing lateral concentrated form and friction losses. is the donor cell density.
- Friction factor [22]:
- Turbulent momentum transfer:where is a turbulent modeling parameter.
- Turbulent enthalpy transfer:
- Turbulent crossflow:where is the turbulent mixing parameter or thermal diffusion coefficient and is the average mass flux of the adjacent subchannels. The term is the tuning parameter for the mixing model. Physically, it is a non-dimensional coefficient that represents the ratio of the lateral mass flux due to mixing to the axial mass flux. In single-phase flow no net mass exchange occurs, both momentum and energy are exchanged between subchannels, and their rates of exchange are characterized in terms of hypothetical turbulent interchange flow rates () [26], for enthalpy and momentum, respectively. Simplifying for single-phase, we have made the approximation that the rate of turbulent exchange for energy and momentum are equal:
- Equation of state:These are a set of equations relating the properties of the fluid, such as density and viscosity, to Enthalpy/Temperature and Pressure.
- −
- .
- −
- .
- −
- .h
2.3. Algorithm
3. MOOSE Integration
3.1. MOOSE Solution Method and Structure
3.2. Subchannel Integration into MOOSE
3.3. MOOSE MultiApp
3.4. BISON
3.5. Coupling Subchannel with BISON
- The thermal conductivity of the fluid
- The dynamic viscosity of the fluid
- The specific heat
- The hydraulic diameter of the subchannel which in turn depends on:
- −
- Pitch
- −
- Pin Diameter
- The dynamic viscosity of the fluid
- The fluid density
- The fluid velocity
4. Results
4.1. Verification
4.1.1. Two-Channel Friction Model Verification
4.1.2. Turbulent Mixing Verification
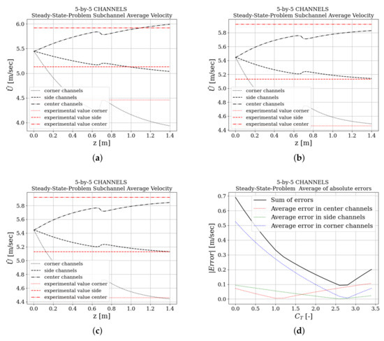
4.2. Calibration
4.2.1. Turbulent Diffusion Coefficient
4.2.2. Turbulent Modeling Parameter
4.3. Validation
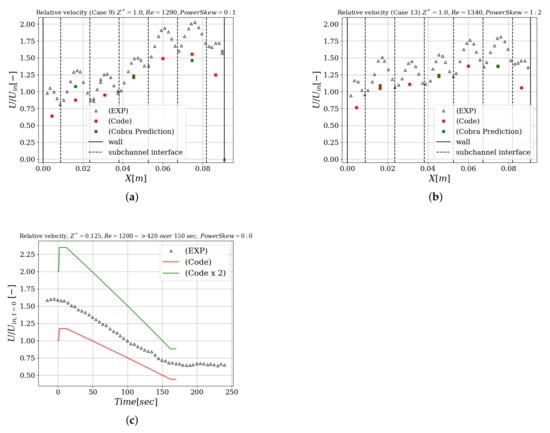
4.3.1. Validation (PSBT )
4.3.2. Validation (PNL )
4.4. 4 × 4 Sub-Assembly Coupling Example
5. Conclusions and Future Work
5.1. Summary of This Effort
5.2. Future Work
5.2.1. Re-Circulation
5.2.2. Two-Phase Flow
- One equation that relates the mass flow of the mixture with the mass flow of the phases and the volume fraction of the phases.
- One equation that relates the flow quality with the mass flow of the mixture and the mass flow of the phases.
- One equation that relates the density of the mixture with the density of the phases.
- One equation that relates the velocity of the mixture with the velocity of the phases.
- Equations of state for the two fluids.
5.2.3. Hexagonal Lattice
5.2.4. Expand Multi-Physics Scope
- NEUTRONICS. A neutronics code would generate cross sections, calculate the scalar flux and compute the heat deposition in the fuel and coolant/moderator. The data transfer to the fuel performance code would include fission rate density, power density, and fast neutron flux.
- FUEL PERFORMANCE. A fuel performance code would use the flux/power information to calculate burnup in the fuel along with heat conduction and nuclide inventory. The data transfer to the neutronics code would include temperature, to be used for updating the cross sections. The local temperature and density conditions are used to update the macroscopic cross sections in both the pins and the moderator/coolant.
- THERMAL-HYDRAULICS. A subchannel code would calculate subchannel bulk temperature. It would give that information to the fuel performance code and the neutronics code, while it would receive axial heat rate from the fuel performance code and a volumetric heat rate from the neutronics code.
Author Contributions
Funding
Data Availability Statement
Acknowledgments
Conflicts of Interest
References
- Locatelli, G.; Mancini, M.; Todeschini, N. Generation IV nuclear reactors: Current status and future prospects. Energy Policy 2013, 61, 1503–1520. [Google Scholar] [CrossRef]
- Kadak, A.C. A future for nuclear energy: Pebble bed reactors. Int. J. Crit. Infrastruct. 2005, 1, 330–345. [Google Scholar] [CrossRef]
- Andreades, C.; Cisneros, A.T.; Choi, J.K.; Chong, A.Y.; Fratoni, M.; Hong, S.; Huddar, L.R.; Huff, K.D.; Kendrick, J.; Krumwiede, D.L.; et al. Design summary of the mark-I pebble-bed, fluoride salt–cooled, high-temperature reactor commercial power plant. Nucl. Technol. 2016, 195, 223–238. [Google Scholar] [CrossRef]
- Chandrasekaran, S.; Garimella, S. Steady-State Thermal-Hydraulic Model for Fluoride-Salt-Cooled Small Modular High-Temperature Reactors. Nucl. Technol. 2020, 206, 1698–1720. [Google Scholar] [CrossRef]
- Sterbentz, J.W.; Werner, J.E.; Hummel, A.J.; Kennedy, J.C.; O’Brien, R.C.; Dion, A.M.; Wright, R.N.; Ananth, K.P. Preliminary Assessment of Two Alternative Core Design Concepts for the Special Purpose Reactor; Technical Report; Idaho National Lab. (INL): Idaho Falls, ID, USA, 2017.
- Abou Jaoude, A.; Yoon, S.J.; Bays, S.E. MCNP and CFD Modeling of a Sodium Fast Reactor Sub-Assembly Channel to Capture Localized Temperature Peaking; Technical Report; Idaho National Lab. (INL): Idaho Falls, ID, USA, 2019.
- Abou-Jaoude, A.; Stauff, N.; Erickson, A. Performance and safety evaluation of a mixed-spectrum reactor design. Ann. Nucl. Energy 2019, 126, 33–42. [Google Scholar] [CrossRef]
- Sessim, M.; Tonks, M.R. Multiscale simulations of thermal transport in W-UO2 CERMET Fuel for nuclear thermal propulsion. Nucl. Technol. 2021, 207, 1004–1014. [Google Scholar] [CrossRef]
- Haslett, R. Space Nuclear Thermal Propulsion Program; Technical Report; Grumman Aerospace Corp Bethpage: New York, NY, USA, 1995. [Google Scholar]
- Youinou, G.J.; Lin, C.S.; Abou Jaoude, A.; Jesse, C.J. Nuclear Thermal Propulsion Scoping Analysis of Fuel Plate Core Configurations; Technical Report; Idaho National Lab. (INL): Idaho Falls, ID, USA, 2020.
- Haubenreich, P.N.; Engel, J. Experience with the molten-salt reactor experiment. Nucl. Appl. Technol. 1970, 8, 118–136. [Google Scholar] [CrossRef]
- Altahhan, M.; Bhaskar, S.; Balestra, P.; Hou, J.; Avramova, M.; Smith, N. Advanced Liquid Fuel Molten Salt Reactor Core Simulation Using Gen-Foam. In Proceedings of the Advances in Thermal Hydraulics (ATH 2018), Orlando, FL, USA, 11–15 November 2018. [Google Scholar]
- Bhaskar, S.; Altahhan, M.; Ziyad, D.S.; Balestra, P. Modelling and Simulation of a Liquid Fuel Molten Salt Reactor Core Using Gen-Foam. In Proceedings of the 4th Intnational Conference on Physics and Technology of Reactors and Applications (PHYTRA4), Marrakech, Morocco, 17–19 September 2018. [Google Scholar]
- Gaston, D.; Newman, C.; Hansen, G.; Lebrun-Grandié, D. MOOSE: A parallel computational framework for coupled systems of nonlinear equations. Nucl. Eng. Des. 2009, 239, 1768–1778. [Google Scholar] [CrossRef]
- Sha, W.T. An overview on rod-bundle thermal-hydraulic analysis. Nucl. Eng. Des. 1980, 62, 1–24. [Google Scholar] [CrossRef]
- Chelemer, H.; Weisman, J.; Tong, L. Subchannel thermal analysis of rod bundle cores. Nucl. Eng. Des. 1972, 21, 35–45. [Google Scholar] [CrossRef]
- Cheng, X.; Müller, U. Critical heat flux and turbulent mixing in hexagonal tight rod bundles. Int. J. Multiph. Flow 1998, 24, 1245–1263. [Google Scholar] [CrossRef]
- Moorthi, A.; Kumar Sharma, A.; Velusamy, K. A review of sub-channel thermal hydraulic codes for nuclear reactor core and future directions. Nucl. Eng. Des. 2018, 332, 329–344. [Google Scholar] [CrossRef]
- AREVA. COBRA-FLX: A Core Thermal-Hydraulic Analysis Code Topical Report; AREVA NP Inc.: Lynchburg, VA, USA, 2010. [Google Scholar]
- Chaudri, K.S.; Kim, J.; Kim, Y. Development and validation of a fast sub-channel code for LWR multi-physics analyses. Nucl. Eng. Technol. 2019, 51, 1218–1230. [Google Scholar] [CrossRef]
- Yoon, Y.J.; Hwang, D.H.; Sohn, D.S. Development of a subchannel analysis code MATRA applicable to PWR’s and ALWR’s. J. Korean Nucl. Soc. 1999, 31, 317–327. [Google Scholar]
- Pang, B. Numerical Study of Void Drift in Rod Bundle with Subchannel and CFD Codes; KIT: Karlsruhe, Germany, 2013. [Google Scholar]
- Stewart, C.W.; Cuta, J.M.; Koontz, A.S.; Kelly, J.M.; Basehore, K.L.; George, T.L.; Rowe, D.S. VIPRE-01. A thermal-hydraulic analysis code for reactor cores. In Mathematical Modeling: Volume 1; [PWR; BWR]; Electric Power Research Inst.: Palo Alto, CA, USA; Pacific Northwest Lab.: Richland, WA, USA, 1983. [Google Scholar]
- Sung, Y.X.; Schueren, P.; Meliksetian, A. VIPRE-0 I Modeling and Qualification for Pressurized Water Reactor Non-LOCA Thermal-Hydraulic Safety Analysis; Westinghouse Electric Company LLC: Cranberry Township, PA, USA, 1999. [Google Scholar]
- Kelly, J.M.; Stewart, C.W.; Cuta, J.M. VIPRE-02—A Two-Fluid Thermal-Hydraulics Code for Reactor Core and Vessel Analysis: Mathematical Modeling and Solution Methods. Nucl. Technol. 1992, 100, 246–259. [Google Scholar] [CrossRef]
- Todreas, N.E.; Kazimi, M.S. Nuclear Systems II: Elements of Thermal Hydraulic Design; Taylor and Francis: Oxfordshire, UK, 2001. [Google Scholar]
- Balay, S.; Abhyankar, S.; Adams, M.; Brown, J.; Brune, P.; Buschelman, K.; Dalcin, L.; Dener, A.; Eijkhout, V.; Gropp, W.; et al. PETSc Users Manual; Argonne National Laboratory: Lemont, IL, USA, 2019.
- INL. AuxVariable Object Description. Available online: https://mooseframework.inl.gov/source/variables/AuxVariable.html (accessed on 1 December 2021).
- INL. AuxKernel Object Description. Available online: https://mooseframework.inl.gov/source/auxkernels/AuxKernel.html (accessed on 1 December 2021).
- Gaston, D.R.; Permann, C.J.; Peterson, J.W.; Slaughter, A.E.; Andrš, D.; Wang, Y.; Short, M.P.; Perez, D.M.; Tonks, M.R.; Ortensi, J.; et al. Physics-based multiscale coupling for full core nuclear reactor simulation. Ann. Nucl. Energy 2015, 84, 45–54. [Google Scholar] [CrossRef]
- Zhang, H.; Wang, Y.; Zou, L.; Andrš, D.; Zhao, H.; Martineau, R. Coupling of RELAP-7 with the three-dimensional kinetics code RattleSnake. Trans. Am. Nucl. Soc 2013, 108, 863–865. [Google Scholar]
- Williamson, R.L.; Hales, J.; Novascone, S.; Tonks, M.; Gaston, D.; Permann, C.; Andrs, D.; Martineau, R. Multidimensional multiphysics simulation of nuclear fuel behavior. J. Nucl. Mater. 2012, 423, 149–163. [Google Scholar] [CrossRef]
- Knoll, D.A.; Keyes, D.E. Jacobian-free Newton–Krylov methods: A survey of approaches and applications. J. Comput. Phys. 2004, 193, 357–397. [Google Scholar] [CrossRef]
- Salko, R.; Gergar, M.C.G.; Avramova, M. CTF Void Drift Validation Study; CASL: Chicago, IL, USA, 2015. [Google Scholar]
- Sadatomi, M.; Kawahara, A.; Kano, K.; Sumi, Y. Single- and two-phase turbulent mixing rate between adjacent subchannels in a vertical 2X3 rod array channel. Int. J. Multiph. Flow 2004, 30, 481–498. [Google Scholar] [CrossRef]
- Kawahara, A.; Sadatomi, M.; Sato, Y.; Shiga, E. Treatment of turbulent mixing rate in a two-phase subchannel flow. For developing flow without pressure differential between subchannels. Nippon Kikai Gakkai Ronbunshu B Hen 1995, 61, 861–867. [Google Scholar] [CrossRef][Green Version]
- Marinelli, V.; Pastori, L.; Kjellen, B. Experimental investigation on mass velocity distribution and velocity profiles in an lwr rod bundle. Trans. Am. Nucl. Soc. 1972, 15, 413. [Google Scholar]
- Rubin, A.; Schoedel, A.; Avramova, M.; Utsuno, H.; Bajorek, S.; Velazquez-Lozada, A. OECD/NRC Benchmark Based on NUPEC PWR Sub-Channel and Bundle Tests (PSBT). Volume I: Experimental Database and Final Problem Specifications; OECD, Nuclear Energy Agency: Paris, France, 2012. [Google Scholar]
- Rubin, A.; Schoedel, A.; Avramova, M.; Utsuno, H.; Bajorek, S.; Velazquez-Lozada, A. OECD/NRC Benchmark Based on NUPEC PWR Sub-Channel and Bundle Tests (PSBT). Volume III: Departure from Nucleate Boiling; OECD, Nuclear Energy Agency: Paris, France, 2012. [Google Scholar]
- Hwang, D.H.; Kim, S.J.; Seo, K.W.; Kwon, H. Accuracy and uncertainty analysis of PSBT benchmark exercises using a subchannel code MATRA. Sci. Technol. Nucl. Install. 2012, 2012, 603752. [Google Scholar] [CrossRef]
- Bates, J.M.; Khan, E.U. Investigation of Combined Free and Forced Convection in a 2 × 6 Rod Bundle during Controlled Flow Transients; Battelle Pacific Northwest Labs.: Richland, WA, USA, 1980. [CrossRef]
- INL. GapHeatTransferLWR Object Description. Available online: https://mooseframework.inl.gov/bison/source/bcs/GapHeatTransferLWR.html (accessed on 1 December 2021).
- Ross, A.; Stoute, R. Heat Transfer Coefficient between UO2 and Zircaloy-2; Technical Report; Atomic Energy of Canada Limited: Chalk River, ON, Canada, 1962. [Google Scholar]
- INL. UO2Thermal Object Description. Available online: https://mooseframework.inl.gov/bison/source/materials/UO2Thermal.html#uo-2-thermal (accessed on 1 December 2021).
- INL. ZryThermal Object Description. Available online: https://mooseframework.inl.gov/bison/source/materials/ZryThermal.html#zrythermal (accessed on 1 December 2021).
- Davis, I.; Courty, O.; Avramova, M.; Motta, A. High-fidelity multi-physics coupling for determination of hydride distribution in Zr-4 cladding. Ann. Nucl. Energy 2017, 110, 475–485. [Google Scholar] [CrossRef]
- Creer, J.; Rowe, D.; Bates, J.; Sutey, A. Effects of Sleeve Blockages on Axial Velocity and Intensity of Turbulence in an Unheated 7 × 7 Rod Bundle; [PWR]; Technical Report; Battelle Pacific Northwest Labs.: Richland, WA, USA, 1976.
- Sartori, E.; Hochreiter, L.E.I.; Kostadin, U.; Hideaki. The OECD/NRC BWR Full-Size Fine-Mesh Bundle Tests Benchmark (BFBT)-General Description; Technical Report; OECD/NRC: Tokyo, Japan, 2004.
- Pramuditya, S.; Takahashi, M. Thermal–hydraulic analysis of wire-wrapped SFR test subassemblies by subchannel analysis method. Ann. Nucl. Energy 2013, 54, 109–119. [Google Scholar] [CrossRef]
- Wantland, J.; Clapp, N.; Fontana, M.; Gnadt, P.; Hanus, N. Dynamic Boiling Tests in a 19-Pin Simulated LMFBR Fuel Assembly; Technical Report; Oak Ridge National Lab.: Oak Ridge, TN, USA, 1977.
- Wu, Y.; Li, X.; Yu, X.; Qiu, S.; Su, G.; Tian, W. Subchannel thermal-hydraulic analysis of the fuel assembly for liquid sodium cooled fast reactor. Prog. Nucl. Energy 2013, 68, 65–78. [Google Scholar] [CrossRef]
- Turner, J.A.; Clarno, K.; Sieger, M.; Bartlett, R.; Collins, B.; Pawlowski, R.; Schmidt, R.; Summers, R. The Virtual Environment for Reactor Applications (VERA): Design and architecture. J. Comput. Phys. 2016, 326, 544–568. [Google Scholar] [CrossRef]
- Graham, A.M.; Taylor, Z.; Collins, B.S.; Salko, R.K.; Poschmann, M. Multi-physics Coupling Methods for Molten Salt Reactor Modeling and Simulation in VERA. Nucl. Sci. Eng. 2021, 195, 1065–1086. [Google Scholar] [CrossRef]
- Kochunas, B.; Collins, B.S.; Jabaay, D.; Kim, K.S.; Graham, A.; Stimpson, S.; Wieselquist, W.A.; Clarno, K.T.; Palmtag, S.; Downar, T.; et al. VERA Core Simulator Methodology for PWR Cycle Depletion; Technical Report; Oak Ridge National Lab. (ORNL): Oak Ridge, TN, USA, 2015.
- Collins, B.; Stimpson, S.; Kelley, B.W.; Young, M.T.; Kochunas, B.; Graham, A.; Larsen, E.W.; Downar, T.; Godfrey, A. Stability and accuracy of 3D neutron transport simulations using the 2D/1D method in MPACT. J. Comput. Phys. 2016, 326, 612–628. [Google Scholar] [CrossRef]
- Salko, R., Jr.; Avramova, M.; Wysocki, A.; Toptan, A.; Hu, J.; Porter, N.; Blyth, T.S.; Dances, C.A.; Gomez, A.; Jernigan, C.; et al. CTF Theory Manual; Technical Report; Oak Ridge National Lab. (ORNL): Oak Ridge, TN, USA, 2020.
- Ilas, G.; Gauld, I.C.; Radulescu, G. Validation of new depletion capabilities and ENDF/B-VII data libraries in SCALE. Ann. Nucl. Energy 2012, 46, 43–55. [Google Scholar] [CrossRef]
- Pawlowski, R.P. Design of a High Fidelity Core Simulator for Analysis of Pellet Clad Interaction; Technical Report; Sandia National Lab. (SNL-NM): Albuquerque, NM, USA, 2015.
- Collins, B.; Okhuysen, B.; Salko, R.; Andersson, D.; Stimpson, S.; Lange, T.; Elliott, A.; Wysocki, A.; Gilkey, L.; Epperson, K.; et al. CASL Research and Development Activities and Results for the CRUD Induced Power Shift (CIPS) Challenge Problem. In 2018 CASL Annual Report; CASL-U-2018-1703-000; Oak Ridge National Lab. (ORNL): Oak Ridge, TN, USA, 2018. [Google Scholar]
- Palmtag, S.; Clarno, K.; Davidson, G.; Salko, R.; Evans, T.; Turner, J.; Schmidt, R. Coupled neutronics and thermal-hydraulic solution of a full core PWR using VERA-CS. In Proceedings of the PHYSOR, Kyoto, Japan, 28 September–3 October 2014. [Google Scholar]
- Schmidt, R.; Belcourt, N.; Hooper, R.; Pawlowski, R. An Introduction to LIME 1.0 and Its Use in Coupling Codes for Multiphysics Simulations; Sandia Report; SAND2011-8524; Sandia National Laboratories (SNL): Albuquerque, NM, USA; Livermore, CA, USA, 2011.
- Pawlowski, R.; Bartlett, R.; Belcourt, N.; Hooper, R.; Schmidt, R. A Theory Manual for Multiphysics Code Coupling in Lime Version 1.0; SAND2011-2195; Sandia National Laboratories (SNL): Albuquerque, NM, USA; Livermore, CA, USA, 2011.
- Turinsky, P.J.; Kothe, D.B. Modeling and simulation challenges pursued by the Consortium for Advanced Simulation of Light Water Reactors (CASL). J. Comput. Phys. 2016, 313, 367–376. [Google Scholar] [CrossRef]
- Suk, P.; Chvála, O.; Maldonado, G.I.; Frýbort, J. Simulation of a NuScale core design with the CASL VERA code. Nucl. Eng. Des. 2021, 371, 110956. [Google Scholar] [CrossRef]

















| Item | Value |
|---|---|
| Rods array | |
| Number of heated rods | 25 |
| Heated rod outer diameter (mm) | |
| Heated rod pitch (mm) | |
| Axial heated length (mm) | 3658 |
| Flow channel inner width (mm) | |
| Axial power shape | Uniform |
| Number of mixing vaned (MV) spacers | 7 |
| Number of non mixing vaned (NMV) spacers | 2 |
| Number of simple spacers (SS) | 8 |
| MV spacer location (mm) | 457, 914, 1372, 1829, 2286, 2743, 3200 |
| NMV spacer location (mm) | 0, 3658 |
| Simple spacer location (mm) | 229, 686, 1143, 1600, 2057, 2515, 2972, 3429 |
| Case Number | Initial Flow [GPM] | Final Flow [GPM] | Transient Time [s] | Power Gradient | Re Initial/Final | ||
|---|---|---|---|---|---|---|---|
| 5 | 3.08 | 1.08 | 150 | 0:0 | 0.0 | 0.0 | 1200/420 |
| 9 | 3.08 | 3.08 | S.S | 1:0 | 0.91 | 0.0 | 1290/1290 |
| 13 | 3.08 | 3.08 | S.S | 2:1 | 0.91 | 0.455 | 1340/1340 |
| Type | Value | Units |
|---|---|---|
| Reactor | PWR | |
| Layout | ||
| Fuel | UO2 | |
| Cladding | Zyrcalloy-4 | |
| Fuel pellet radius | cm | |
| Gap | cm | |
| Clad inner radius | cm | |
| Clad thickness | cm | |
| Clad outer radius | cm | |
| Pin pitch | cm | |
| Pin length | 360 | cm |
| Gap bottom | cm | |
| Gap top | cm | |
| Clad thickness top | cm | |
| Clad thickness bottom | cm | |
| Average linear heat rate per pin | kW/m | |
| Bundle power | MW | |
| Coolant inlet temperature | K | |
| Outlet pressure | MPa | |
| Mass flux at inlet | kg/sec-m2 |
| 1.0 | 0.9 | 0.8 | 0.7 |
| 1.1 | 1.0 | 0.9 | 0.8 |
| 1.2 | 1.1 | 1.0 | 0.9 |
| 1.3 | 1.2 | 1.1 | 1.0 |
Publisher’s Note: MDPI stays neutral with regard to jurisdictional claims in published maps and institutional affiliations. |
© 2022 by the authors. Licensee MDPI, Basel, Switzerland. This article is an open access article distributed under the terms and conditions of the Creative Commons Attribution (CC BY) license (https://creativecommons.org/licenses/by/4.0/).
Share and Cite
Kyriakopoulos, V.; Tano, M.E.; Ragusa, J.C. Development of a Single-Phase, Transient, Subchannel Code, within the MOOSE Multi-Physics Computational Framework. Energies 2022, 15, 3948. https://doi.org/10.3390/en15113948
Kyriakopoulos V, Tano ME, Ragusa JC. Development of a Single-Phase, Transient, Subchannel Code, within the MOOSE Multi-Physics Computational Framework. Energies. 2022; 15(11):3948. https://doi.org/10.3390/en15113948
Chicago/Turabian StyleKyriakopoulos, Vasileios, Mauricio E. Tano, and Jean C. Ragusa. 2022. "Development of a Single-Phase, Transient, Subchannel Code, within the MOOSE Multi-Physics Computational Framework" Energies 15, no. 11: 3948. https://doi.org/10.3390/en15113948
APA StyleKyriakopoulos, V., Tano, M. E., & Ragusa, J. C. (2022). Development of a Single-Phase, Transient, Subchannel Code, within the MOOSE Multi-Physics Computational Framework. Energies, 15(11), 3948. https://doi.org/10.3390/en15113948
