Experimental Investigation of the Cooperation of Wind Turbines
Abstract
1. Introduction
1.1. Wind Flow Influence on Individual and Clustered Wind Turbines
1.2. Aim of the Research
2. Materials and Methods
2.1. Experimental Setup
2.2. Wind Tunnel Equipment
2.3. Measured Quantities
3. Results
3.1. Single Turbine’s Independent Operation (No Interaction)
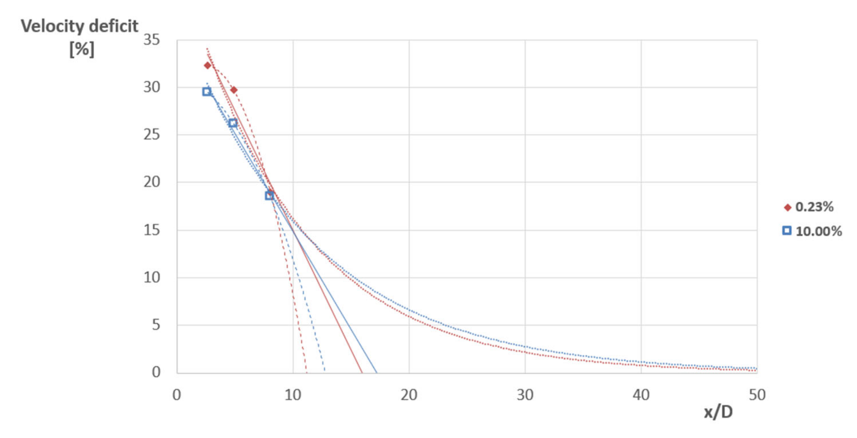
3.2. Velocity Profiles between the Turbines
3.3. Determination of Efficiency for Two Turbines in “Tandem” Configuration
4. Discussion
4.1. Individual Turbines, No Interaction
4.2. Two Turbines, Inlet Turbulence Intensity Influence
4.3. Applicability of Findings
5. Conclusions
Author Contributions
Funding
Institutional Review Board Statement
Informed Consent Statement
Data Availability Statement
Acknowledgments
Conflicts of Interest
References
- European Comission. Communication from the Commission to the European Parliament, the Council, the European Economic and Social Committee and the Committee of the Regions: 20 20 by 2020—Europe’s Climate Change Opportunity; European Commision: Brussels, Belgium, 2008. [Google Scholar]
- European Comission. Communication from the Commission to the European Parliament, the Council, the European Economic and Social Committee, the Committee of the Regions and the European Investment Bank: Clean Energy for All Europeans; European Comission: Brussels, Belgium, 2016. [Google Scholar]
- European Parliament. Energy Policy: General Principles; European Parliament: Brussels, Belgium, 2021. [Google Scholar]
- BP plc. BP Statistical Review of World Energy 2021; BP PLC: London, UK, 2021. [Google Scholar]
- Edenhofer. Renewable Energy Sources and Climate Change Mitigation; Cambridge University Press: Cambridge, UK, 2011. [Google Scholar]
- Emeis, S. Wind Energy Meteorology, 2nd ed.; Springer: New York, NY, USA, 2013; ISBN 978-3-642-30523-8. [Google Scholar]
- Enevoldsen, P.; Permien, F.-H.; Bakhtaoui, I.; von Krauland, A.-K.; Jacobson, M.Z.; Xydis, G.; Sovacool, B.K.; Valentine, S.V.; Luecht, D.; Oxley, G. How much wind power potential does europe have? Examining european wind power potential with an enhanced socio-technical atlas. Energy Policy 2019, 132, 1092–1100. [Google Scholar] [CrossRef]
- Lee, J.; Zhao, F. Global Wind Report 2021; Global Wind Energy Council: Brussels, Belgium, 2021. [Google Scholar]
- World Wind Energy Association. Wind Power Capacity Worldwide Reaches 597 GW, 50.1 GW Added in 2018. 4 June 2019. Available online: https://wwindea.org/wind-power-capacity-worldwide-reaches-600-gw-539-gw-added-in-2018/ (accessed on 1 April 2022).
- Veers, P.; Dykes, K.; Lantz, E.; Barth, S.; Bottasso, C.L.; Carlson, O.; Clifton, A.; Green, J.; Green, P.; Holttinen, H.; et al. Grand challenges in the science of wind energy. Science 2019, 366, eaau2027. [Google Scholar] [CrossRef] [PubMed]
- Mosetti, G.; Poloni, C.; Diviacco, B. Optimization of wind turbine positioning in large windfarms by means of a genetic algorithm. J. Wind Eng. Ind. Aerodyn. 1994, 51, 105–116. [Google Scholar] [CrossRef]
- Folkecenter for Renewable Energy. Catalogue of Small Wind Turbines (Under 50 kW); Folkecenter Print: Hurup Thy, Denmark, 2016. [Google Scholar]
- Méchali, M.; Barthelmie, R.; Frandsen, S.; Jensen, L.; Réthoré, P.-E. Wake effects at Horns Rev and their influence on energy production. In Proceedings of the European Wind Energy Conference & Exhibition EWEC 2006, Athens, Greece, 27 February–2 March 2006. [Google Scholar]
- Cleijne, J. Results of Sexbierum Wind Farm: Single Wake Measurements; Instituut voor Milieu- en Energietechnologie TNO: Apeldoorn, The Netherlands, 1993. [Google Scholar]
- Neustadter, H.E.; Spera, D.A. Method for evaluating wind turbine wake effects on wind farm performance. J. Sol. Energy Eng. 1985, 107, 240–243. [Google Scholar] [CrossRef]
- Bartl, J. Experimental Testing of Wind Turbine Wake Control Methods. Ph.D. Thesis, NTNU, Trondheim, Norway, 2018. [Google Scholar]
- Elliott, D. Status of wake and array loss research. In Proceedings of the 21. American Wind Energy Association Conference Windpower ′91, Palm Springs, CA, USA, 24–27 September 1991. [Google Scholar]
- Hou, P.; Zhu, J.; Ma, K.; Yang, G.; Hu, W.; Chen, Z. A review of offshore wind farm layout optimization and electrical system design methods. J. Mod. Power Syst. Clean Energy 2019, 7, 975–986. [Google Scholar] [CrossRef]
- Zawadzki, K.; Baszczynska, A.; Fliszewska, A.; Molenda, S.; Bobrowski, J.; Sikorski, M. Fatigue testing of the small wind turbine blade. Int. J. Mech. Eng. Robot. Res. 2022, 11, 269–274. [Google Scholar] [CrossRef]
- Barber, S.; Chokani, N.; Abhari, R. Wind turbine performance and aerodynamics in wakes within wind farms. In Proceedings of the European Wind Energy Conference and Exhibition EWEC 2011, Brussels, Belgium, 14–17 March 2011. [Google Scholar]
- Barthelmie, R.; Hansen, K.; Frandsen, S.; Rathmann, O.; Schepers, J.; Schlez, W.; Phillips, J.; Rados, K.; Zervos, A.; Politis, E.; et al. Modelling and measuring flow and wind turbine wakes in large wind farms offshore. Wind Energy 2009, 12, 431–444. [Google Scholar] [CrossRef]
- Marmidis, G.; Lazarou, S.; Pyrgioti, E. Optimal placement of wind turbines in a wind park using Monte Carlo simulation. Renew. Energy 2008, 33, 1455–1460. [Google Scholar] [CrossRef]
- Johnson, K.E.; Thomas, N. Wind farm control: Addressing the aerodynamic interaction among wind turbines. In Proceedings of the 2009 American Control Conference, St. Louis, MO, USA, 10–12 June 2009; pp. 2104–2109. [Google Scholar] [CrossRef]
- Adaramola, M.S.; Krogstad, P. Experimental investigation of wake effects on wind turbine performance. Renew. Energy 2011, 36, 2078–2086. [Google Scholar] [CrossRef]
- Krogstad, P.; Adaramola, M.S. Performance and near wake measurements of a model horizontal axis wind turbine. Wind Energy 2011, 15, 743–756. [Google Scholar] [CrossRef]
- Bartl, J.; Pierella, F.; Sætrana, L. Wake measurements behind an array of two model wind turbines. Energy Procedia 2012, 24, 305–312. [Google Scholar] [CrossRef]
- Eriksen, P.E. Rotor Wake Turbulence: An Experimental Study of a Wind Turbine Wake. Ph.D Thesis, Norwegian University of Science and Technology, Trondheim, Norway, 2016. [Google Scholar]
- Sætran, L.; Bartl, J. Invitation to the 2015 “Blind Test 4” Workshop: Combined Power Output of Two In-Line Turbines at Different Inflow Conditions; Norwegian University of Science and Technology: Trondheim, Norway, 2015. [Google Scholar]
- Olasek, K.; Karczewski, M.; Lipian, M.; Wiklak, P.; Jozwik, K. Wind tunnel experimental investigations of a diffuser augmented wind turbine model. Int. J. Numer. Methods Heat Fluid Flow 2016, 26, 2033–2047. [Google Scholar] [CrossRef]
- Lipian, M.; Czapski, P.; Obidowski, D. Fluid–structure interaction numerical analysis of a small, urban wind turbine blade. Energies 2020, 13, 1832. [Google Scholar] [CrossRef]
- Stępień, M.; Kulak, M.; Jóźwik, K. “Fast Track” analysis of small wind turbine blade performance. Energies 2020, 13, 5767. [Google Scholar] [CrossRef]
- Sobczak, K.; Obidowski, D.; Reorowicz, P.; Marchewka, E. Numerical investigations of the savonius turbine with deformable blades. Energies 2020, 13, 3717. [Google Scholar] [CrossRef]
- Lipian, M.; Dobrev, I.; Karczewski, M.; Massouh, F.; Jozwik, K. Small wind turbine augmentation: Experimental investigations of shrouded- and twin-rotor wind turbine systems. Energy 2019, 186, 115855. [Google Scholar] [CrossRef]
- Lipian, M.; Dobrev, I.; Massouh, F.; Jozwik, K. Small wind turbine augmentation: Numerical investigations of shrouded- and twin-rotor wind turbines. Energy 2020, 201, 117588. [Google Scholar] [CrossRef]
- Krogstad, P.; Lund, J. An experimental and numerical study of the performance of a model turbine. Wind Energy 2011, 15, 443–457. [Google Scholar] [CrossRef]
- Krogstad, P.; Sætran, L.; Adaramola, M.S. “Blind Test 3” calculations of the performance and wake development behind two in-line and offset model wind turbines. J. Fluids Struct. 2015, 52, 65–80. [Google Scholar] [CrossRef]
- Somers, D. The S825 and S826 Airfoils; NREL: Golden, CO, USA, 2005. [Google Scholar]
- Sarmast, S.; Mikkelsen, R.F. The Experimental Results of the NREL S826 Airfoil at Low Reynolds Numbers; Royal Institute of Technology in Stockholm (KTH): Stockholm, Sweden, 2012. [Google Scholar]
- Sarlak, H.; Mikkelsen, R.; Sarmast, S.; Sorensen, J.N.; Chivaee, H.S. Aerodynamic behaviour of NREL S826 airfoil at Re = 100,000. J. Phys. Conf. Ser. 2014, 524, 012027. [Google Scholar] [CrossRef]
- Ostovan, Y.; Amiri, H.; Uzol, O. Aerodynamic characterization of NREL S826 airfoil at low Reynolds numbers. In Proceedings of the Conference on Wind Energy Science and Technology—RUZGEM 2013, Ankara, Turkey, 3 October 2013. [Google Scholar]
- Bartl, J.; Sagmo, K.F.; Bracchi, T.; Sætran, L. Performance of the NREL S826 airfoil at low to moderate Reynolds numbers—A reference experiment for CFD models. Eur. J. Mech. Eur. J. Mech. B/Fluids 2018, 75, 180–192. [Google Scholar] [CrossRef]
- Ceccotti, C.; Spiga, A.; Bartl, J.; Sætran, L. Effect of upstream turbine tip speed variations on downstream turbine performance. Energy Procedia 2016, 94, 478–486. [Google Scholar] [CrossRef][Green Version]
- Pope, S.B. Turbulent Flows; Cambridge University Press: Cambridge, UK, 2000. [Google Scholar]
- Krogstad, P.; Davidson, P.A. Is grid turbulence Saffman turbulence? J. Fluid Mech. 2009, 642, 373–394. [Google Scholar] [CrossRef]
- Jensen, N. A Note on Wind Generator Interaction (Risø-M-2411); Risø National Laboratory: Roskilde, Denmark, 1983. [Google Scholar]
- Zhang, Y.; Zhou, Z.; Wang, K.; Li, X. Aerodynamic characteristics of different airfoils under varied turbulence intensities at low reynolds numbers. Appl. Sci. 2020, 10, 1706. [Google Scholar] [CrossRef]
- Talavera, M.; Shu, F. Experimental study of turbulence intensity influence on wind turbine performance and wake recovery in a low-speed wind tunnel. Renew. Energy 2017, 109, 363–371. [Google Scholar] [CrossRef]
- Chamorro, L.P.; Porté-Agel, F. Effects of thermal stability and incoming boundary-layer flow characteristics on wind-turbine wakes: A wind-tunnel study. Bound. Layer Meteorol. 2010, 136, 515–533. [Google Scholar] [CrossRef]
- Barthelmie, R.; Hansen, K.; Rados, K.; Schlez, W.; Jensen, L.E.; Neckelmann, S. Modelling the impact of wakes on power output at Nysted and Horns Rev. In Proceedings of the European Wind Energy Conference and Exhibition EWEC 2009, Marseille, France, 16–19 March 2009. [Google Scholar]
- Gaumond, M.; Réthoré, P.-E.; Bechmann, A.S.; Ott, G.; Larsen, C.; Pena Diaz, A.; Hansen, K.S. "Benchmarking of wind turbine wake models in large offshore wind farms. In Proceedings of the Science of Making Torque from Wind 2012, Oldenburg, Germany, 9–11 October 2012. [Google Scholar]

















| x/D | IT (%) | λ_T1 | Cp_T1 | λ_T2 | Cp_T2 | Cp_Sum | Cp Percentage Difference (%) |
|---|---|---|---|---|---|---|---|
| 2.5 | 0.23 | 6.0 | 0.4671 | 3.5 | 0.1231 | 0.5902 | 0.03 |
| 6.0 | 0.4665 | 4.0 | 0.1235 | 0.5900 | |||
| 0.23 | 6.5 | 0.4644 | 3.5 | 0.1187 | 0.5831 | 0.06 | |
| 6.5 | 0.4636 | 4.0 | 0.1192 | 0.5828 | |||
| 10.0 | 6.5 | 0.4766 | 3.5 | 0.1398 | 0.6164 | 0.11 | |
| 6.5 | 0.4734 | 4.0 | 0.1423 | 0.6158 | |||
| 5.5 | 10.0 | 8.0 | 0.4289 | 4.0 | 0.1956 | 0.6245 | 0.82 |
| 8.0 | 0.4205 | 4.5 | 0.1990 | 0.6194 | |||
| 8.5 | 0.23 | 6.5 | 0.4747 | 4.5 | 0.2393 | 0.7140 | 0.07 |
| 6.5 | 0.4742 | 5.0 | 0.2393 | 0.7135 | |||
| 0.23 | 7.0 | 0.4598 | 4.5 | 0.2422 | 0.7020 | 0.09 | |
| 7.0 | 0.4600 | 5.0 | 0.2414 | 0.7014 | |||
| 0.23 | 8.0 | 0.4089 | 4.5 | 0.2604 | 0.6693 | 0.18 | |
| 8.0 | 0.4074 | 5.0 | 0.2607 | 0.6681 |
| IT = 0.23% | IT = 10.0% | |
|---|---|---|
| T1 | 0.477 | 0.481 |
| T2 | 0.462 | 0.468 |
| x/D | IT (%) | λ_T1 | Cp_T1 | λ_T2 | Cp_T2 | Cp_Sum | Cp Percentage Difference (%) |
|---|---|---|---|---|---|---|---|
| 2.5 | 0.23 | 4.5 | 0.4528 | 4.0 | 0.1398 | 0.5927 | 0.42 |
| 6.0 | 0.4671 | 3.5 | 0.1231 | 0.5902 | |||
| 10.0 | 5.5 | 0.4739 | 4.0 | 0.1490 | 0.6229 | 0.48 | |
| 6.0 | 0.4772 | 4.0 | 0.1427 | 0.6199 | |||
| 5.0 | 0.23 | 6.0 | 0.4763 | 4.0 | 0.1512 | 0.6274 | 0.13 |
| 6.5 | 0.4748 | 4.0 | 0.1534 | 0.6282 | |||
| 10.00 | - | - | - | - | - | - | |
| 6.0 | 0.4799 | 4.5 | 0.1903 | 0.6701 | |||
| 8.5 | 0.23 | 5.0 | 0.4698 | 5.0 | 0.2505 | 0.7203 | 0.47 |
| 6.0 | 0.4771 | 5.0 | 0.2398 | 0.7169 | |||
| 10.00 | - | - | - | - | - | - | |
| 6.0 | 0.4805 | 5.0 | 0.2811 | 0.7615 |
Publisher’s Note: MDPI stays neutral with regard to jurisdictional claims in published maps and institutional affiliations. |
© 2022 by the authors. Licensee MDPI, Basel, Switzerland. This article is an open access article distributed under the terms and conditions of the Creative Commons Attribution (CC BY) license (https://creativecommons.org/licenses/by/4.0/).
Share and Cite
Wiklak, P.; Kulak, M.; Lipian, M.; Obidowski, D. Experimental Investigation of the Cooperation of Wind Turbines. Energies 2022, 15, 3906. https://doi.org/10.3390/en15113906
Wiklak P, Kulak M, Lipian M, Obidowski D. Experimental Investigation of the Cooperation of Wind Turbines. Energies. 2022; 15(11):3906. https://doi.org/10.3390/en15113906
Chicago/Turabian StyleWiklak, Piotr, Michal Kulak, Michal Lipian, and Damian Obidowski. 2022. "Experimental Investigation of the Cooperation of Wind Turbines" Energies 15, no. 11: 3906. https://doi.org/10.3390/en15113906
APA StyleWiklak, P., Kulak, M., Lipian, M., & Obidowski, D. (2022). Experimental Investigation of the Cooperation of Wind Turbines. Energies, 15(11), 3906. https://doi.org/10.3390/en15113906

