Study on the Variation in Heating Energy Based on Energy Consumption from the District Heating System, Simulations and Pattern Analysis
Abstract
:1. Introduction
2. Materials and Methods
2.1. Subject and Method of Evaluation
Apartment Houses Subjected to Evaluation
2.2. Simulation
2.2.1. Evaluation Tools for Simulation
2.2.2. Input Criteria for Simulation
3. Analysis of the Measured Heating Energy Data
3.1. Analysis of the Measured Heating Energy by Household Size
3.1.1. Measured Annual Average Heating Energy Consumption from Households Sized 35 m2
3.1.2. Measured Annual Average Heating Energy Consumption from Households Sized 84 m2
3.1.3. Annual Average Heating Energy Consumption by Households Sized 164 m2
3.2. Comparison between the Measured Monthly Heating Energy Consumption by Household Size and the Outside Temperature
3.3. Maximum and Minimum Values of Measured Monthly Heating Energy Consumption by Household Size
3.3.1. Maximum and Minimum Values of Measured Monthly Heating Energy Consumption from Households Sized 35 m2
3.3.2. Maximum and Minimum Values of Measured Monthly Heating Energy Consumption from Households Sized 84 m2
3.3.3. Maximum and Minimum Values of Measured Monthly Heating Energy Consumption from Households Sized 164 m2
3.4. Analysis of the Measured Heating Energy Consumption According to Household Location
3.4.1. Comparison of the Measured Heating Energy Consumption from the Households Sized 84 m2 by Floor Location
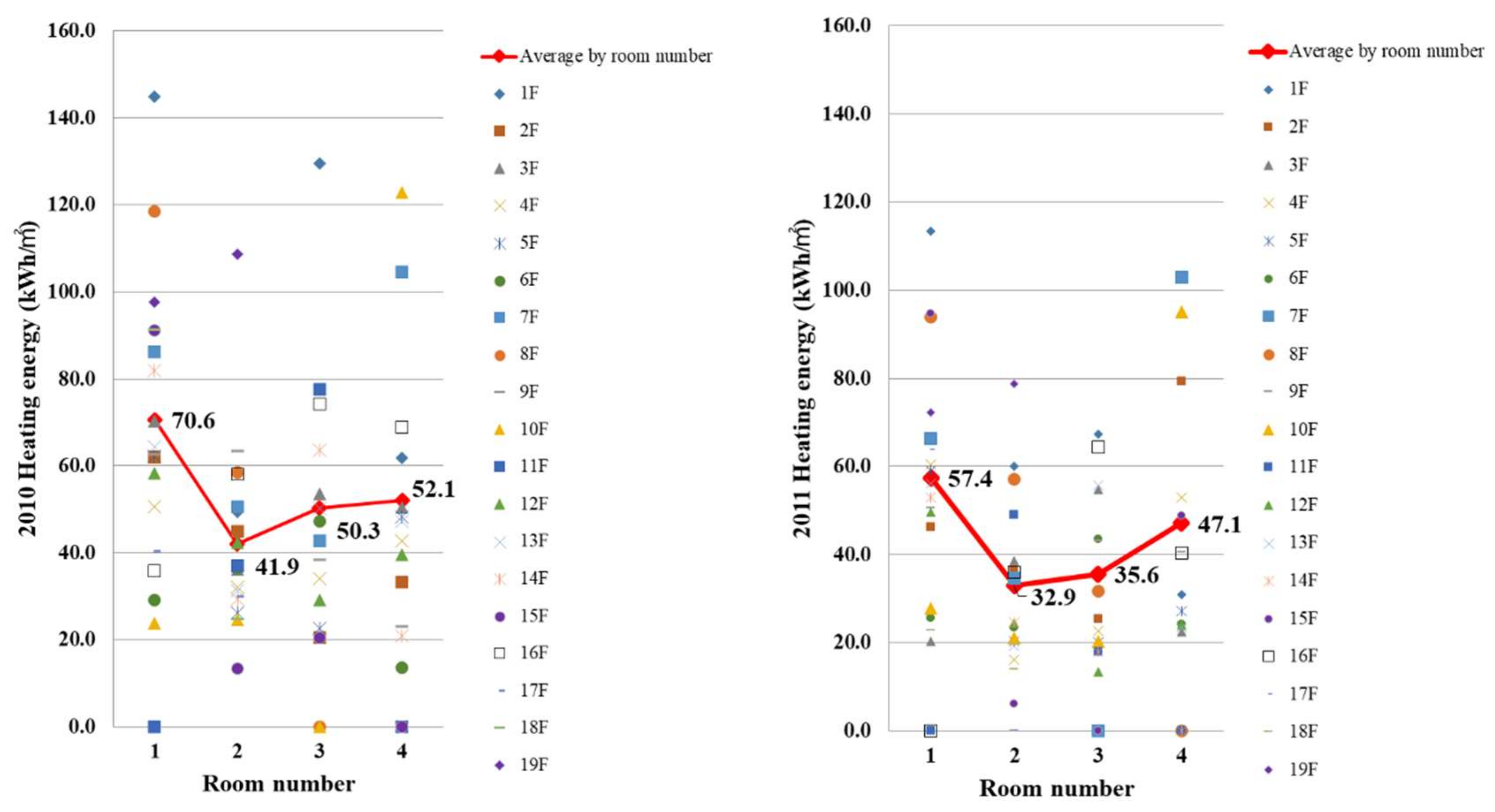
3.4.2. Comparison of the Measured Heating Energy from the Households Sized 84 m2 by Room Number
3.5. Analysis of the Measured Annual Heating Energy Consumption According to the Growth in Household Size
3.6. Analysis of the Measured Annual Heating Energy Consumption According to the Growth in Household Size
4. Comparison between the Measured Average Energy Consumption and the EnergyPlus Simulation
4.1. Simulation for Analyzing the Heating Load and Heating Load Elements According to Household Size
4.2. Ratio between Volume and Elevation Area (AV Value) According to the Growth in Household Size
4.3. EnergyPlus Simulation
4.3.1. People Schedule Setup
4.3.2. Indoor Equipment Schedule Setup
4.4. Comparison between the Measured Average Energy Consumption and the Simulation
4.5. Analysis of the Variation in Heating Energy Consumption According to Residents’ Living Patterns
| Items | Survey Details | ||
|---|---|---|---|
| No. of residents | Survey | ||
| Occupancy schedule | Survey on weekdays and weekends | ||
| Heating on/off schedule | Survey of heating on/off per hour during weekdays/weekends on a monthly basis (November, December, January, February, March) | ||
| Heating setpoint temperature | 23 °C (References [19,20,21,22]) | ||
| Equipment and lighting schedule | Survey from Statistics Korea (References [13,14])—Figure 16 | ||
| Air change per hour (ACH) | Heating | 0.7 ACH | Refer to the Operational Regulation on the Certification of Building Energy Efficiency [10] |
| Non-heating | 2.0 ACH | ||
| Occupancy density | 1.44 W/m2 | ||
| Equipment density | 3.24 W/m2 | ||
4.6. Comparison between the Simulation and the Actually Measured Value from the Households Consuming the Average
4.7. Comparison between the Simulation and the Actually Measured Value from the Households Consuming More Than the Average
4.8. Comparison between the Simulation and the Actually Measured Value from the Households Consuming Less Than the Average
5. Conclusions
- (1)
- Since the outside temperature in the winter season of 2010 was lower than that of 2011, the annual heating energy consumption was higher in 2010 than in 2011. As the average heating energy of 84 m2 houses was the lowest in November (showing the highest outside temperature amid the winter season) by recording 8.7 kWh/m2·a in 2010 and 5.3 kWh/m2·a in 2011 whereas it was the highest in January (showing the lowest outside temperature amid the winter season) by recording 11.7 kWh/m2·a in 2010 and 10.9 kWh/m2·a in 2011, it was found that the outside temperature was inversely proportional to the heating energy consumption. Meanwhile, the maximum and minimum heating energy values were not uniformly in reverse proportion to the outside temperature. That was because the heating energy consumption of the households of the same size and condition could be more than or less than the average due to the residents’ living pattern and number of residents.
- (2)
- The average heating energy consumption of mid-floors was 50 kWh/m2·a in 2010 and 41 kWh/m2·a in 2011. However, the average heating energy consumption of the lowest floor was 96 kWh/m2·a in 2010 and 68 kWh/m2·a in 2011 while the highest floor was 103 and 75 kWh/m2·a, respectively. The reason behind higher energy consumption of highest/lowest floors was that those floors suffered more heat loss through the roof and floor than mid-floors. Additionally, when analyzing the measured heating energy consumption of 2010 by room number, household room no. 1 and no. 4 from the corner-side having larger area exposed to the outside air showed higher average heating energy consumption (57.4 and 47.1 kWh/m2·a) than mid-floors. (32.9 and 35.6 kWh/m2·a) Research will be needed to reduce the difference by applying phase change materials, etc., in the future to the part where the heating load of the lowest and highest floor is larger than that of the mid-floors.
- (3)
- As the house size grows, the measured annual heating energy of 2010 and 2011 increases whereas the heating energy per unit area decreases. As a result of analyzing the heating load elements per unit area through simulation, when the house size expands from 35 to 84 m2 by about 2.4 times, the wall loss per unit area decreases and the solar heat gain increases and, thereby, reducing the heating load. When the unit area doubles from 84 to 164 m2, the ventilation loss jumps from 7.5 to 11.8 MWh by not more than twofold. Accordingly, the ventilation loss per unit area of 84 m2 houses declines. Among each element of annual heating load usage, the ventilation loss and wall loss remained the same or increased as the house size grew but at a lesser rate than the house size growth rate. Therefore, the heating load per unit area declined.
- (4)
- As the house size increased, the ratio between volume and elevation area (AV value) dropped to 0.7, 0.39, and 0.29. The lower the ratio between volume and elevation area (AV value) is, the lesser the impact from the heat gain or heat loss from radiation and convection. In conclusion, as the house size grows, the annual heating load per unit area decreases.
- (5)
- The following is the outcome of the simulation reflecting the survey on the living pattern of households that consumed the average, more than the average, and less than the measured average heating energy. Households consumed the average heating energy for 15.8 h/day and occupied for 16.4 h/day. Households consumed more than the average heating energy for 22.2 h/day and occupied for 21.2 h/day, meaning 6.4 extra hours than those consuming the average heating energy. Households consumed less than the average heating energy for 5.2 h/day and occupied for 10.9 h/day, meaning 10.6 less hours/day than those consuming the average heating energy and 17 less hours/day than those consuming more than the average heating energy.
Author Contributions
Funding
Institutional Review Board Statement
Informed Consent Statement
Data Availability Statement
Acknowledgments
Conflicts of Interest
References
- Carlier, R.; Dabbagh, M.; Krarti, M. Energy Performance of Integrated Wall and Window Switchable Insulated Systems for Residential Buildings. Energies 2022, 15, 1056. [Google Scholar] [CrossRef]
- Yarramsetty, S.; Rohullah, M.S.; Sivakumar, M.V.N. An investigation on energy consumption in residential building with different orientation: A BIM approach. Asian J. Civ. Eng. 2020, 21, 253266. [Google Scholar] [CrossRef]
- Spanodimitriou, Y.; Ciampi, G.; Scorpio, M.; Mokhtari, N.; Teimoorzadeh, A.; Laffi, R.; Sibilio, S. Passive Strategies for Building Retrofitting: Performances Analysis and Incentive Policies for the Iranian Scenario. Energies 2022, 15, 1628. [Google Scholar] [CrossRef]
- Gillott, M.; Hall, M. Domestic energy and occupancy: A novel post-occupancy evaluation study. Int. J. Low-Carbon Technol. 2010, 5, 148157. [Google Scholar]
- Banker, N.; Steemers, K. Energy and Environment in Architecture; Taylor & Francis: London, UK, 2005. [Google Scholar] [CrossRef]
- Yun, G.Y.; Kong, H.J.; Kim, J.T. A Field Survey of Occupancy and Air-Conditioner Use Patterns in Open Plan Offices. Indoor Built Environ. 2011, 20, 137147. [Google Scholar]
- Buttitta, G.; Finn, D. A high-temporal resolution residential building occupancy model to generate high-temporal resolution heating load profiles of occupancy-integrated archetypes. Energy Build. 2020, 206, 109577. [Google Scholar] [CrossRef]
- Shin, M.S.; Rhee, K.N.; Jung, G.J. Optimal heating start and stop control based on the inferred occupancy schedule in a household with radiant floor heating system. Energy Build. 2020, 209, 109737. [Google Scholar] [CrossRef]
- Shin, M.S.; Rhee, K.N.; Lee, E.T.; Jung, G.J. Performance evaluation of CO2-based ventilation control to reduce CO2 concentration and condensation risk in residential buildings. Build. Environ. 2018, 142, 451–463. [Google Scholar] [CrossRef]
- Korea Energy Agency. Regulations for the Operation of Building Energy Efficiency Certification System; Korea Energy Agengy: Seoul, Korea, 2011. [Google Scholar]
- Korea Presidential Commission on Architecture Policy. Guidelines for Passive Design of Buildings; Korea Presidential Commission on Architecture Policy: Seoul, Korea, 2012. [Google Scholar]
- Statistics Korea (KOSTAT). Life Time Statics; Statistics Korea (KOSTAT): Daejeon, Korea, 2009.
- Yoo, S.Y.; Kim, J.Y. Analysis of Internal Heat Gain and System Operation Patterns in Residential buildings. In Proceedings of the Society of Air-Conditioning and Refrigerating Engineers of Korea, Kangwon, Korea, 8 July 2011; pp. 683–686. [Google Scholar]
- Yoo, J.H. Method for Estimating Electricity Consumption of Residential Sectors by National Time Use Survey. In Proceedings of the Journal of the Korean Architectural Association, Chungbuk, Korea, 23 October 2010; Volume 30, p. 501502. [Google Scholar]
- ASHRAE. ASHRAE Handbook: Fundamentals; American Society of Heating, Refrigerating and Air-Conditioning Engineers, Inc.: Peachtree Corners, GA, USA, 2009. [Google Scholar]
- United States Department of Energy. Energy Plus Manual Engineering Reference, Version 3.0. USA. Available online: https://bigladdersoftware.com/epx/docs/8-9/engineering-reference/ (accessed on 18 April 2022).
- Wolfgang Feist, Passive House Planning Package, Passiv Haus Institut. 2007. Available online: https://www.google.com.hk/url?sa=t&rct=j&q=&esrc=s&source=web&cd=&cad=rja&uact=8&ved=2ahUKEwjGvvPDvfr3AhXOxosBHWsTCswQFnoECAMQAQ&url=http%3A%2F%2Fwookware.org%2Ffiles%2FPHPP.pdf&usg=AOvVaw0EASMx-Qz8TPqH3H0Jk_DR (accessed on 18 April 2022).
- Cheung, C.K.; Fuller, R.J.; Luther, M.B. Energy-efficient envelope design for high-rise apartments. Energy Build. 2005, 37, 37–48. [Google Scholar] [CrossRef] [Green Version]
- Bae, N.R.; Chun, C.Y. Changes of Residents’ Indoor Environment Control Behavior as a Result of Provided Education and Environmental Information. J. Korean Archit. Assoc. 2008, 24, 285293. [Google Scholar]
- Chun, C.Y.; Kim, H.J.; Bae, N.R. Research on Thermal Environment in Apartments’ Living rooms and Residents’ Control Behaviors of a Thermostat. J. Archit. Inst. Korea Struct. Constr. 2005, 21, 209216. [Google Scholar]
- Choi, W.K.; Kim, H.J.; Lee, H.G.; Suh, S.J. Theoretical Study on the Patterns of Temperature Variation and Thermal Load According to Each Household Heating and Cooling in Apartment. J. Korean Archit. Assoc. 2007, 23, 279288. [Google Scholar]
- Yu, J.; Yang, C.; Tian, L. Low-energy envelope design of residential building in hot summer and cold winter zone in China. Energy Build. 2008, 40, 15361546. [Google Scholar] [CrossRef]



















| Exclusive Private Area | Modeled Households | Modeled Nearby Buildings |
|---|---|---|
| 35 m2 (120 households) | ![]() | ![]() |
| 84 m2 (70 households) | ![]() | ![]() |
| 164 m2 (50 households) | ![]() | ![]() |
| Division | Input Data | Set Value of Material Property |
|---|---|---|
| Setpoint temperature | Heating | 20 °C |
| Internal heat | Equipment | 3.24 W/m2 |
| People | 1.44 W/m2 | |
| Number of residents | 0.03 person/m2 | |
| Air change per Hour (ACH) | Heating space | 0.7 ACH |
| Non-heating space | 2.0 ACH | |
| Wall U-Value | Exterior wall | 0.58 W/m2·K |
| Interior wall | 0.64 W/m2·K | |
| Roof/floor | Adiabatic (insulation) | |
| Windows U-Value | Exterior window | 3.84 W/m2·K |
| Interior window | 5.47 W/m2·K | |
| Windows properties | SHGC (Solar Heat Gain Coefficient) | 0.613 |
| Visible transmittance | 0.56 |
| (Unit: kWh/m2·a) | 2010 | 2011 |
|---|---|---|
| Lowest floor (1st floor) | 96 | 68 |
| Mid-floors (average between 2nd and 18th) | 50 | 41 |
| Highest floor (19th floor) | 103 | 75 |
| Size | 2010~2011 (Unit: kWh) | Measured Heating Energy (Unit: MWh) | ||||
|---|---|---|---|---|---|---|
| November | December | January | February | March | ||
| 35 m2 | 569 | 647 | 703 | 706 | 587 | 3.2 |
| 84 m2 | 845 | 1095 | 1182 | 1099 | 1132 | 5.4 |
| 164 m2 | 1152 | 1791 | 1875 | 1344 | 1491 | 7.7 |
| Size | 2011~2012 (Unit: kWh) | Measured Heating Energy (Unit: MWh) | ||||
|---|---|---|---|---|---|---|
| November | December | January | February | March | ||
| 35 m2 | 365 | 560 | 660 | 591 | 518 | 2.7 |
| 84 m2 | 487 | 939 | 1068 | 915 | 744 | 4.2 |
| 164 m2 | 792 | 1589 | 1782 | 1454 | 1099 | 6.7 |
| Household Size | Year of Measurement | Heating Energy (kWh/m2·a) | Flat Surface of Each Building | Flat Surface of Each Household |
|---|---|---|---|---|
| 35 m2 | 2010 | 83.0 | ![]() | ![]() |
| 2011 | 70.8 | |||
| 84 m2 | 2010 | 53.9 | ![]() | ![]() |
| 2011 | 43.4 | |||
| 164 m2 | 2010 | 41.3 | ![]() | ![]() |
| 2011 | 35.3 |
| Simulation of Annual Heating Load Usage (Unit: MWh) | |||||||
|---|---|---|---|---|---|---|---|
| Household Size | Ventilation Loss | Wall Loss | Window Loss | Solar Heat Gain | Heat from People | Heat from Equipment | Heating Energy Consumption |
| 35 m2 | 2.3 | 1.9 | 0.4 | 0.8 | 0.3 | 0.3 | 3.2 |
| 84 m2 | 7.5 | 1.9 | 1.6 | 4.2 | 0.6 | 0.7 | 5.5 |
| 164 m2 | 11.8 | 4.1 | 2.8 | 8.0 | 1.2 | 1.3 | 8.1 |
| Simulation of Heating Load and Elements per Unit Area (Unit: kWh/m2·a) | |||||||
|---|---|---|---|---|---|---|---|
| Household Size | Ventilation Loss | Wall Loss | Window Loss | Solar Heat Gain | Heat from People | Heat from Equipment | Heating Load |
| 35 m2 | 50.5 | 41.2 | 9.0 | 18.2 | 6.0 | 6.0 | 70.6 |
| 84 m2 | 71.8 | 18.4 | 14.8 | 40.2 | 5.9 | 6.3 | 52.6 |
| 164 m2 | 58.6 | 20.2 | 13.8 | 39.7 | 5.9 | 6.4 | 40.5 |
| Case | Selected Household | No. of Residents | Survey Results |
|---|---|---|---|
| 1 | Room No. 202 | 4 | Salary worker, housewife, high school senior, high school junior |
| 2 | Room No. 303 | 3 | Salary worker, salary worker, high school graduate |
| 3 | Room No. 503 | 4 | Salary worker, housewife, elementary 1st grade, kindergartener |
| 4 | Room No. 603 | 3 | Elderly couple, elementary 3rd grade |
| 5 | Room No. 1102 | 4 | Salary worker, housewife, high school graduate, university student |
| 6 | Room No. 1303 | 4 | Salary worker, salary worker, elementary 3rd grade and 6th grade |
| Case | Heating Energy [kWh/m2·a] | Heating Hour [Hours/Day] | Occupancy Hour [Hours/Day] | |||||
|---|---|---|---|---|---|---|---|---|
| Actually Measured Value | EnergyPlus | Weekday | Weekend | Average | Weekday | Weekend | Average | |
| 1 | 49.9 | 47.4 | 14.4 | 14.4 | 14.4 | 14.0 | 16.0 | 14.6 |
| 2 | 51.5 | 56.9 | 18.4 | 18.4 | 18.4 | 17.8 | 18.5 | 18.0 |
| 3 | 43.6 | 47.9 | 12.0 | 24.0 | 15.4 | 16.7 | 19.7 | 17.5 |
| 4 | 49.3 | 50.3 | 15.4 | 15.4 | 15.4 | 21.0 | 24.0 | 21.9 |
| 5 | 47.3 | 50.4 | 15.0 | 15.0 | 15.0 | 12.8 | 14.8 | 13.3 |
| 6 | 50.2 | 53.5 | 15.2 | 18.0 | 16.0 | 12.5 | 14.0 | 12.9 |
| Survey average | 15.1 | 17.5 | 15.8 | 15.8 | 17.8 | 16.4 | ||
| Case | Selected Household | No. of Residents | Survey Results |
|---|---|---|---|
| 7 | Room No. 703 | 1 | Freelancer |
| 8 | Room No. 902 | 3 | Elderly couple, salary worker |
| 9 | Room No. 1603 | 4 | Salary worker, housewife, baby 1 and 2 |
| Case | Heating Energy [kWh/m2·a] | Heating Hour [Hours/Day] | Occupancy Hour [Hours/Day] | |||||
|---|---|---|---|---|---|---|---|---|
| Actually Measured Value | EnergyPlus | Weekday | Weekend | Average | Weekday | Weekend | Average | |
| 7 | 63.5 | 65.9 | 21.6 | 21.6 | 21.6 | 22.1 | 21.0 | 21.8 |
| 8 | 63.3 | 59.6 | 21.0 | 21.0 | 21.0 | 20.0 | 21.7 | 20.5 |
| 9 | 70.2 | 61.4 | 24.0 | 24.0 | 24.0 | 21.0 | 22.3 | 21.4 |
| Survey average | 22.2 | 22.2 | 22.2 | 21.0 | 21.6 | 21.2 | ||
| Case | Selected Household | No. of Residents | Survey Results |
|---|---|---|---|
| 10 | Room No. 402 | 2 | Salary worker, salary worker |
| 11 | Room No. 1002 | 4 | Salary worker, salary worker, university student 1 and 2 |
| 12 | Room No. 1403 | 5 | Salary worker, salary worker, university student 1, 2, and 3 |
| Case | Heating Energy [kWh/m2·a] | Heating Hour [Hours/Day] | Occupancy Hour [Hours/Day] | |||||
|---|---|---|---|---|---|---|---|---|
| Actually Measured Value | EnergyPlus | Weekday | Weekend | Average | Weekday | Weekend | Average | |
| 10 | 18 | 20.7 | 4.4 | 5.0 | 4.6 | 10.5 | 18.0 | 12.6 |
| 11 | 24.6 | 28.4 | 6.8 | 7.2 | 6.9 | 9.3 | 14.0 | 10.6 |
| 12 | 16.2 | 19.0 | 4.2 | 4.2 | 4.2 | 8.4 | 11.8 | 9.4 |
| Survey average | 5.1 | 5.5 | 5.2 | 9.4 | 14.6 | 10.9 | ||
Publisher’s Note: MDPI stays neutral with regard to jurisdictional claims in published maps and institutional affiliations. |
© 2022 by the authors. Licensee MDPI, Basel, Switzerland. This article is an open access article distributed under the terms and conditions of the Creative Commons Attribution (CC BY) license (https://creativecommons.org/licenses/by/4.0/).
Share and Cite
Kim, S.-J.; Park, D.-Y. Study on the Variation in Heating Energy Based on Energy Consumption from the District Heating System, Simulations and Pattern Analysis. Energies 2022, 15, 3909. https://doi.org/10.3390/en15113909
Kim S-J, Park D-Y. Study on the Variation in Heating Energy Based on Energy Consumption from the District Heating System, Simulations and Pattern Analysis. Energies. 2022; 15(11):3909. https://doi.org/10.3390/en15113909
Chicago/Turabian StyleKim, Soo-Jeong, and Doo-Yong Park. 2022. "Study on the Variation in Heating Energy Based on Energy Consumption from the District Heating System, Simulations and Pattern Analysis" Energies 15, no. 11: 3909. https://doi.org/10.3390/en15113909
APA StyleKim, S.-J., & Park, D.-Y. (2022). Study on the Variation in Heating Energy Based on Energy Consumption from the District Heating System, Simulations and Pattern Analysis. Energies, 15(11), 3909. https://doi.org/10.3390/en15113909













