You are currently viewing a new version of our website. To view the old version click .
Energies
  • Article
  • Open Access

22 May 2022

Energy-Model and Life Cycle-Model for Grinding Processes of Limestone Products

and
1
Institute of Energy Engineering and Chemical Machinery, University of Miskolc, 3515 Miskolc-Egyetemváros, Hungary
2
Faculty of Mechanical Engineering, Bydgoszcz University of Science and Technology, Al. Prof. S. Kaliskiego 7, 85-796 Bydgoszcz, Poland
*
Author to whom correspondence should be addressed.
This article belongs to the Special Issue Life Cycle Assessment in Waste Management

Abstract

Fine and ultrafine grinding of limestone are frequently used in the pharmaceutical, chemical, construction, food, and cosmetic industries, however, research investigations have not yet been published on the combination of energy and life cycle modeling. Therefore, the first aim of this research work was the examination of main grinding parameters of the limestone particles to determine an empiric energy-model. Dry and wet grinding experiments have been carried out with a Bond mill and a laboratory stirred ball mill. During the grinding processes, the grinding time and the filling ratio have been adjusted. The second goal of this research assessed the resources, emissions and environmental impacts of wet laboratory grinding with the help of life cycle assessment (LCA). The life cycle assessment was completed by applying the GaBi 8.0 (version: 10.5) software and the CML method. As a result of research, the determination of an empiric energy-model allowed to develop an estimated particle size distribution and a relationship between grinding fineness and specific grinding energy. The particle size distribution of ground materials can be exactly calculated by an empirical Rosin–Rammler function which represented well the function parameters on the mill characters. In accordance with LCA results, the environmental impacts for the mass of a useful product for different levels of specific energy with the building of approximation functions were determined. This research work sets up a new complex model with the help of mathematical equations between life cycle assessment and specific energy results, and so improves the energy and environmental efficiency of grinding systems. This research work facilitates the industry to make predictions for a production-scale plant using an LCA of pilot grinding processes.

1. Introduction

Fine and ultrafine grinding of materials is an industrial procedure from mineral processing through pharmaceutical, chemical, construction, food, and cosmetic industries. Nowadays, fine and ultrafine grinding processes are a very actual research topic and development area in the pharmaceutical industry. The main goals of these grinding processes are the release of materials composed in the material structure, the decrease of the particle size, and the raise of the specific surface. The solubility and biological activity of drugs, which are otherwise poorly soluble, can be improved by ultrafine milling. For the industrial applications, fineness of the ground powders is demanded as one of the most important specifications when most of the particles are smaller than 10 µm.
The production of fine and ultrafine limestone particles in grinding mills has an important role for the development of future products. Limestone as grinding material is used in the pharmaceutical industry as an acid binder and for calcium ion intake. Concerning the production processes of building materials, flue gas desulphurization, water purification, and in other areas of the economy, limestone powder, are widely utilized. In addition, limestone is a widely used construction material as an additive for cement in the building industry. According to Pillai et al. [1], limestone calcined clay cement serves as a suitable candidate material for developing durable concrete with low environmental impact. Flue gas desulphurization is one of the most important processes in power plant operation and is dependent on efficient limestone grinding. Especially in the cement industry, the purpose of comminution is to realize that products have a specific particle size and surface area, as stated by Touil et al. [2]. The reactivity of limestone is greatly dependent on the particle size. Smaller particle size means an increase in the total surface area of the limestone.
Many research studies on grinding processes are based on different modeling methods. The aim of modeling for the grinding processes are usually connected with the optimization of dry and wet grinding processes. There are scientific works that attend to the grinding efficiency and the lower energy consumption. The energy efficiency–particle size relationship was described by Kick (1885), Bond (1952), Walker and Shaw (1954), and Rittinger (1987). Shin et al. [3] investigated the impact of grinding ball size and powder loading on the grinding efficiency. The relationship between the grinding fineness and grinding work was characterized for tailings of the ore mining industry by Mannheim [4] during wet grinding. According to the scientific approaches of Kwade [5], can be distinguished by the mill and product-related stress models in the given grinding process. According to the product-dependent stress model, the product quality and grinding fineness can be determined by two facts: the number of stress cases and the stress intensity.
An important aspect in the ultrafine grinding of the materials is the attainable final particle size. According to the research of Karbstein et al. [6], the particle size distribution can, in general, be affected by geometric and operating parameters, by grinding media (concerning diameter, hardness, density, and filling ratio), and by the input material itself (hardness, concentration, and density) [4]. Parker et al. [7] described the effect of stirrer speed and milling bead load for energy consumption.
Besides the pharmaceutical applications and production of drug nanosuspensions, fine and ultrafine grinding processes are widely used in the mineral processing, in the chemical and cement industries, and in the cosmetics, pigment, and food industries, as well as a treatment of biomass [8,9]. As reported by Mucsi and Rácz [9], during ultrafine grinding, the material surface undergoes advantageous and favorable changes, so these powders may find more functions than traditionally-ground particles. Oti and Kinuthia [10] investigated that the lime shows promise in the building industry. They described that lime contributes to enhance the comprehensive performance with volume stability and general durability.
Stirred ball mills are utilized for mechanochemical and mechanical milling in a great number of several ultrafine materials. The stirred media mills can work in continuous or batch modes, and they exist in many sizes. During recent years, a number of stirred media mills have evolved worldwide and have been designed for wet or dry ultrafine grinding. By way of example, the Sala Agitated Mill (SAM) offers significant reductions in specific energy consumptions against conventional milling, which was developed by SALA International AB. This reduction is mainly due to the application of small grinding media and high energy intensity. The stirred media mills can work in continuous, or batch modes, and they exist in many sizes; the smallest ones have grinding chamber volumes of some milliliters and great production mills of some cubic meters. The grinding of materials down to sizes distinctly lower than 5 µm has been established for the improvement of formulations that provide increased dissolution rate and greater solubility. In the work of Guner et al. [11], the effect of stirrer speed and bead material filling ratio on particle break were examined during wet stirred media grinding using kinetic and micro hydrodynamic models. Flach et al. [12] described that the reduction of specific energy consumption in stirred ball mills is primarily due to the application of small grinding media and the high energy intensity. Ultrafine grinding with stirred media mills unifies a lot of advantages, especially regarding pharmaceutical products such as a wide range of stress intensities, due to the possibility of using different grinding media sizes and materials as well as different stirrer speeds, good cooling performance, and handling of highly concentrated and very viscous products [12]. The impact of significant process parameters as grinding material, grinding particle size and stirrer speed on maximum possible grinding fineness, constancy against reagglomeration, and width of particle size shall be systematically explored.
The assessment models make it possible to compare the technological solutions in terms of economy and energy efficiency with the reducing of the environmental loads. Huppes and Ishikawa [13] expected four different indexes for the estimate of an industrial technology: environmental productivity, intensity, improvement cost, and cost-effectiveness. According to Kruszelnicka [14], an assessment model of grinding technology should evidently illustrate solutions that meet the hypothesis of sustainability. Kruszelnicka et al. [15] proposed an environmental efficiency index to assess the grinding process, discussed a material energy efficiency indicator, and suggested a sustainable emissivity indicator for the environmental assessment of grinding. A testing methodology was developed to enhance the parameters of milling, concerning the reduction in energy consumption, power input, improvement in product quality, and process efficiency. One of the research studies of Marcelino-Sadaba et al. [16] reported on an uncomplicated approach towards an entire LCA of various clay-based brick products (using combinations of grinded particles) based on known material input and estimated energy inputs in the productions. Pandey and Prakash [17] proposed a new holistic sustainability index that shows the socio-economic benefit from an industry per unit of its carbon emissions.
Life cycle assessment is an environmental management technique that allows the assessment of the environmental, economic, and energetical impacts of different products throughout their lives. According to the opinion of Laso et al. [18], life cycle assessment is the most frequently used tool for determining product impacts. During the innovative developments based on life cycle assessment, the production stage (in this case, the grinding process itself) should be taken into account, focusing on the life cycle of products in the research by Labuschagne et al. [19]. The life cycle approach can be good when applied to the dry and wet grinding processes. Rossmann et al. [20] discussed the analogy of LCAs and the basic role of its application. They proposed that a life cycle assessment study should provide concrete and transferable results. Life cycle assessment is a preferred method to analyze the environmental impacts of a mineral material in the production processes as well. According to the U.S. Geological Survey [21], the limestone raw materials are geologically widespread and abundant. Limestone is a substitute for lime in many applications. The idea of a life cycle-model based on the limestone powder particle size production research topic has already been raised by Van Leeuwen et al. [22]. Based on life cycle assessments, the production stage must be acknowledged during the technological developments, with a focus on the life cycle of raw materials in the study by Song et al. [23]. In this study, limestone was the largest raw material consumed in the production of cement. Van Leeuwen et al. [22] showed the influence of limestone powder particle size not only on the mechanical properties, but on the life cycle assessment. According to the results of Van Leeuwen et al. [22], limestone powder in large quantities has a positive effect on the environment.
The life cycle assessment for limestone as mineral material is undoubtedly an important part of the LCA of grinding processes. In the framework of LCA research, the whole life cycle of wet grinding has been advanced in a complex mode from the limestone extraction through the transport to the grinding stage. LCA results can help both producers and LCA experts in the built environment to develop the balance between benefits and environmental loads [24]. The Environmental Product Declarations (EPDs) for mineral products are based on life cycle inventory (LCI) data according to ISO 14025 [25]. LCA investigations for EPDs should follow the calculation rules set out in the self-styled Product Category Rules (PCR). [26]. The calculation rules are essential, both for the use and correlation of results from LCA and EPD data [27]. LCA and EPD information is used by professionals in a variety of applications and this information can improve the communication with non-specialist audiences. This life cycle assessment for the grinding production of different products takes into account the life cycle from the raw material transport to the manufacturer’s gate (cradle-to-gate) in pharmaceutical, chemical, or ceramic industries. With the help of LCA results, an LCA-based model can be determined [28]. In case of the wet grinding process, carrying out an examination with a wider spectrum would also be necessary and in addition, recoverable energy attention should be paid to the emission. The LCA-based complex model can be considered based on the viewpoints of load of environment, energy efficiency, and economic efficiency [29,30].
The main purpose of this research was to define the particle characteristics and the grindability of the limestone, and to find a relationship between the grinding fineness and the specific grinding work. Depending on this, the first section of this research study investigated the important operating parameters on the grinding results of limestone particles in different grinding processes. As experimental equipment, a conventional laboratory Bond mill and a laboratory stirred ball mill were used. The ultrafine grinding of limestone materials down to sizes distinctly lower than 5 µm has been able to develop formulations that provide increased dissolution rates and solubility. The applied stirred ball mill is a horizontal mill, which is designed for wet fine grinding. The grinding chamber is filled with grinding balls, which is agitated by a rotor equipped with stirring mixing discs. The rotor is driven by an electronic motor located on the top of the equipment. The realizable particle size can be affected by the stirrer geometry and the grinding chamber, by the operating parameters (stirrer speed, throughput, operation mechanism), by the diameter, the density, the hardness, the filling ratio of the grinding balls, and by the feed limestone material itself.
This research work mainly aimed at investigating the effects of grinding parameters of the limestone by dry and wet ultrafine grinding processes. The achievable particle size can be influenced by the geometric and the operating parameters in grinding mills, and by the material properties. In the mineral processing, it is important to understand how the mineral material would grind. In mineral processing, the Bond Work Index value represents the grindability for the purposes of the processes. The grindability is represented by the Bond Work Index value for the purposes of the processes in mineral processing. The grindability value is found in a laboratory Bond ball mill by simulating dry grinding in a closed circuit. The characteristic particle size distribution of the limestone particles is described by using a nonlinear parameter estimation with the help of an approximation function. The power consumption of a laboratory stirred ball mill with different grinding parameters (speed, concentration of solid mass, and grinding time) has already been calculated in a previous research work [4] using the dimensional analysis method. Besides the particle size distribution, the rheological behavior of the suspension and the grinding media wear are important indices by the grinding process. In this study [4], a scale-up model and the absolute suspension viscosity have been written in in the form of equations based on the laboratory rheological measurements. The parameters of the particle size distribution function, and the relation between the fineness and the grinding work were interpreted in a mathematical way. The specific surface area of limestone was measured by the Blaine and Griffin specific surface area measurer.
The second aim of this study was to estimate material and energy resources, emissions, and environmental impacts of the limestone in the manufacturing stage by a wet grinding in a laboratory stirred ball mill. Therefore, the second part presented a life cycle analysis which represents the data in the European Union and considers the life cycle of the limestone from the mining of raw material through pre-grinding to the main wet grinding. The LCA includes the determination of the functional unit (FU), the system boundaries, and the allocation. This phase gives information of the life cycle inventory and presents the research consequences of the life cycle impact assessment (LCIA). The life cycle analysis represents the data in the European Union and considers the life cycle from the mining of raw material through pre-grinding to the wet grinding with transport. To answer the questions posed, GaBi 8.0 software analyzed various environmental impacts with the database of 2021. Research results summarized primary energies, material and energy resources, emissions into different media, and eleven environmental potentials (eight most important impact categories) for wet milling of the limestone in a stirred ball mill.
The third aim of the study was to complete a model between the change of environmental impacts and the specific energy for the mass of useful product. The results of this research, and the determined energy-model and life cycle-model can be used to develop grinding technologies of limestone in the pharmaceutical, chemical, construction, food, and cosmetic industry applications.

2. Materials and Methods

2.1. Grinding Material

The density of solid material (limestone from Hungary) was 2.650 kg/m3. The maximum feed particle size of limestone is 3 mm for Bond grinding and 140 μm for stirred ball milling. The median particle sizes of Bond milling are X50 = 1.2 mm for the feed material, and x50 = 65 μm for the ground limestone. By stirred ball grinding the particle size of the feed and ground material is determined by particle size analysis with a laser doppler sizer. The median particle size of stirred ball grinding is X50 = 17.62 μm for the feed limestone material. After wet grinding of 20 min in the laboratory stirred ball mill, the median particle size of ground limestone is x50 = 1.76 μm (x80 = 5.28 μm). The specific surface area of limestone was measured by Blaine and Griffin specific surface area measurer.

2.2. Bond Method

The Bond Work Index (WiBK) of grinding limestone was calculated using the Bond formula and Karra algorithm based on the laboratory measurements in the Bond mill. The Hardgrove Grindability Index (HGI) is determined by the standard Hardgrove formula, and The Bond Operating Index (WiBH) is estimated from the HGI.

2.3. Nonlinear Parameter Estimation and Empirical Method

The characteristic particle size distribution of the limestone particles was described by using a nonlinear parameter estimation. According to the nonlinear parameter estimation method, the characteristic particle size distribution of the experimental material can be described with an acceptable accuracy. The particle size distribution for modeling of the ultrafine grinding process can be described by using an empirical method. With the help of this empirical modeling, an empirical size distribution function was determined, along with the relationship between this function and the grinding parameters. The relationship between the grinding fineness and the specific grinding work was interpreted mathematically.

2.4. Life Cycle Assessment Method

The life cycle assessment method was applied with the help of professional dataset of GaBi (version 10.5) software. The system boundaries were established cradle-to-gate. The research approach enabled the analysis of the environmental loads associated with the grinding stage in the life cycle of limestone products, from the extraction of raw materials for their wet grinding. The life cycle assessment comprised the life cycle inventory analysis and the life cycle impact assessment. The analysis began with the extracting of raw materials for wet grinding and ended with the transport of grinded limestone product for the drying process and for the use stage. The datasets were linked with grinding data to create life cycle inventories for the limestone product. Consequently, all input materials and energy, as well as process emissions were related to the limestone product from the milling process. Cradle-to-gate data for limestone products served to illustrate how the transformation process contributed to the LCI results which were required to produce ground limestone products. The examined life cycle system included Hungarian energy mix of year 2021, input of tap water from surface water, input of the prepared and pre-grinded limestone, and the use of diesel oil mix for transport of the limestone product. This process also produced wastewater, which is transported to a municipal wastewater treatment plant. The functional unit is defined as 1 kg of limestone in the grinding stage. Equipment and machinery were not relevant in this analysis. In addition to the main product, this process produced wastewater which went into a municipal wastewater treatment plant. The production process was assigned as a function of the mass of the grinded limestone according to the allocation ranking advised by ISO 14044 [31,32]. For transports of diesel oils, the emission allocation was based on mass. Except for the Hungarian energy mix, the source of all data was the European Union (EU-28). Most data connected with calculated energy and material balances from the laboratory measurement. Background processes were modeled with the GaBi professional and supplementary construction industry database [33]. Normalized and weighted values were determined using CML 2001/Aug. 2016 (Centrum voor Milieukunde Leiden) impact assessment method [34]. Environmental burdens concerning the life cycle of the limestone products were analyzed in this research. As the base for determining the total life cycle resource requirements and environmental emissions of a limestone product of 1 kg, a standard unit was used as output. By applying the life cycle impact assessment method, the relative risk to humans or to the environment of emissions was determined from the investigated system. First, eleven environmental impacts—global warming excluding biogenic carbon, eutrophication, acidification, photochemical oxidant formation, human toxicity, abiotic depletion (fossil and elements), and the different ecotoxicities—then after that, eight main impact categories were estimated. In terms of effect, abiotic resource depletion (ADP) was considered to be one of the most argued impact categories according to the guidelines of the International Reference Life Cycle Data System (ILCD) and the Product Environmental Footprint (PEF) [35,36,37]. Guinée and Heijungs [38,39,40] based a description model of abiotic resource potential on physical data on reserves and annual deaccumulation. Van Oers et al. [41] decided that the application of substitution decisions was not (or not yet) feasible within LCA. We used normalization and weighting methods for measuring the impact categories with the CML 2001-January 2016 method (excluding biogenic carbon) in the European Union.

3. Results and Discussion

3.1. Grinding Results in Bond Mill

The conventional ball mills were energy inefficient for milling of industrial minerals. Many research papers have taken into account various aspects of the mineral mixtures grinding in a conventional ball mill. Feurstenau and Venkataraman [42] executed the grinding experiments in a closed circuit on quartz and limestone mixture samples. Garcia et al. [43] carried out Bond standard grindability tests on different metal ores ranging from rod mills to fine grinding ball mills. Yan and Eaton [44] studied the Bond work index changes of ore mixtures as a function of the mixture composition. Hosten and Avsar [45] carried out the experiments by the standard Bond grindability test on samples. Tavares and Kallemback [46] determined the Bond work index value on samples of limestone, basalt, and copper ore in different mass portions using the standard Bond’s procedure. They found out that when the components mixture grinded separately, the energy required for grinding was most often lower than the required energy for grinding components together as a mixture.
Pure limestone samples were prepared by comminution in a laboratory jaw crusher (less than 20 mm) and a roll crusher (less than 3 mm) in a closed cycle. After a representative sampling, the particle size analysis of feed material was performed with a standard sieve series. The Bond grinding test was carried out in a special mill (0.35 × 0.35 m, speed: 70 rpm, ball filling ratio: 20.1 kg) under specified conditions, multistage round dry grinding. Determination of the Bond Work Index according to the standard Bond’s test was carried out on all these samples with comparative sieve size of 74, 105, and 150 microns. The typical particle sizes of Bond milling were X50 = 1.2 mm and X80 = 2.4 mm for the feed material, and x50 = 65 μm and x80 = 75 μm for the ground limestone. The transmission weight of the limestone sample in the Bond mill was 1.1245 kg and the proportion by weight of particles below 100 microns was 0.0938. The characteristics of the Bond mill and the experimental conditions for the standard Bond test are summarized in Table 1.
Table 1. Bond’s mill specification and grinding condition.
The Bond Work Index (WiBK) of grinding material was calculated using the Bond formula and Karra algorithm [47,48]. The grindability coefficient of Bond grinding was determined by laboratory measurement (G = 1.1 g/min.). By Bond grinding, the Bond Work Index of the limestone sample was 14.45 kWh/t. During the determination of the Hardgrove Grindability Index (HGI), 50–50 g limestone samples from the 0.63–1.25 mm and 50–100 μm particle size fractions were ground to 60 mill speeds, and then the ground material was divided into 0.071 mm sieve fractions. Then the standard Hardgrove formula was applied to determine the Hardgrove Grindability Index. This calculated value was 73.74. The Bond Operating Index (WiBH) was estimated from the Hardgrove Grindability Index. Table 2 shows the comparison of the Bond Operating Index with the Bond Work Index and the Hardgrove Grindability Index.
Table 2. Results of grinding parameters of limestone from the measurements.

3.2. Grinding Results in Stirred Ball Mill

As experimental equipment, a laboratory stirred ball mill was used with an effective grinding chamber volume of 700 mL. The grinding chamber was filled with grinding balls (solid density of grinding beads: 7800 kg m−3) which was agitated by a rotor equipped with five stirring mixing discs. The option of grinding balls depended on the type of the grinding limestone to be ground and the required grinding fineness. The rotor was driven by an electric motor located on the top of the laboratory mill. The experimental equipment was operated in a wet process. The characteristic parameters of a given mill were determined by the main technical parameters of the mill. During the experimental measurements, the main grinding parameters such as the mass concentration and the grinding time were adjusted (see Table 3).
Table 3. The main grinding parameters in the laboratory stirred ball mill.
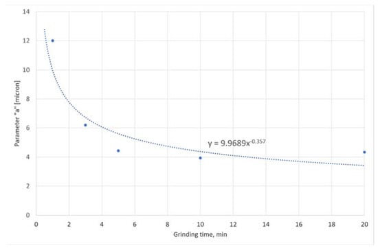
The specific surface area of limestone was measured by Blaine and Griffin specific surface area measurer. The fineness of grinding limestone products was analyzed by a laser deflection particle sizer. The median particle size of the feed material was X50 = 17.62 μm. After wet grinding of 10 min, the median particle size of ground limestone was 2.07 μm and after 20 min, this value was 1.76 μm (by mill filling ratio of 70% and by solid mass concentration of 20%). With the help of empirical modeling can be selected a function which correctly follows the particle size distribution of the limestone product. According to the nonlinear parameter estimation, the characteristic particle size distribution of the limestone was described by a Rosin–Rammler function with acceptable accuracy. Equation (1) shows the general formula of the particle size distribution. Here, parameter “a” is the particle size at which 63.2% of the aggregate particles are finer (F(x = a) = 0.632), and exponent “n” is the standard deviation. Equation (2) shows the estimated Rosin–Rammler function for the limestone products. In this function, the parameter “a” shows a decreasing tendency with the increase of the grinding time, where “x” is the relative particle size. The value of the exponent “n” can be described by a linear line. Equation (3) presents the calculation of the exponent “n”. The calculation of the function parameters was performed, omitting the results outside the specified grinding time. The calculated values of these parameters were a = 4.252 μm and n = 1.098. Figure 1 and Figure 2 present the values of the parameter “a” and the exponent “n” depending on the grinding time.
F ( x ) = 100 [ 1 e x p [ ( x a ) ] n
F ( x ) = 100 [ 1 e x p [ ( x 4.252 ) ] 1098
n = 0.00432   t + 1.098
Figure 1. The values of exponent “n” depending on the grinding time.
Figure 2. Values of parameter “a” depending on the grinding time.
During the experimental measurements, the main grinding parameters such as filling ratio (70–80%) and grinding time (5–20 min) were adjusted in the applied stirred ball mill. The fineness of grinding limestone products was analyzed by a laser deflection particle sizer. Table 4 summarizes the parameters of the Rosin–Rammler function, and the main particle sizes during the variation of different grinding parameters by stirrer speed of 1440 rpm.
Table 4. Parameters of Rosin–Rammler function and particle size characteristics in stirred ball mill.

3.3. Grinding Fineness and Specific Grinding Work

The grinding and technological parameters significantly affected the optimization of the dry and wet grinding process in the mills. The energy consumption depends significantly on particle size of grinding material and grinding time. In addition to the specific energy, the properties of the grinding balls also strongly influenced the milling result. By Bond grinding, the median particle size of the ground limestone was 65 μm. The value of Bond Work Index was 14.45 kWh/t, and the Bond Operating Index (estimated from Hardgrove Grindability Index) was 12.79 kWh/t. The grinding in stirred ball mill must be carried out with its own grindability measurement, and the appropriate factor is determined by determining the relationship between grinding fineness and specific grinding work. By stirred ball grinding of 20 min, the median particle size of the limestone products was 1.76 μm. The specific energy value was determined from the stirred ball mill power of 178 Nm/s by filling ratio of 70% (the solid mass concentration was 20%). Table 5 presents the mill power and the specific grinding work for the wet grinding process. Here, the value of specific grinding work was 1515 kWh/t to achieve the grinding fineness of 1.76 μm by grinding of 20 min. The operational Bond grindability factor was calculated from the specific energy, this value was 4734.4 kWh/t. Figure 3 shows the relationship between grinding fineness and specific grinding work for limestone, andesite, pumice, and tailings of ore processing in a laboratory stirred ball mill.
Table 5. Specific grinding work for wet grinding in a laboratory stirred ball mill.
Figure 3. Relationship between grinding fineness and specific grinding work for different materials. (Notations: + limestone, ▴ andesite, ○ pumice, × tailings of ore processing) [4].
The grinding fineness for limestone product can be determined by the specific grinding work and by an exponent with the Equation (4):
x 50 = 7.38 W f 0.19
It is recommended to use the grindability index number (Cmix = 7.38) to characterize the grindability in a stirred ball mill, which is taken under the conditions of the present measurement (n = 1440 min−1, φm = 0.7, and cm = 0.2).
These results show the relation between particle size and energy consumption for limestone comminution in stirred ball mills. Besides the particle size, the amount of energy needed for grinding or crushing depends on the material structure and its hardness [49]. Grinding finer particles can use more energy [50]. Generally, in the mining processes, harder materials need the higher impact energy for breakage or second stage of grinding, which can also cause the extra energy consumption [49,50,51]. Results presented in Figure 3 confirmed this assumption; the limestone was characterized by the lowest specific energy consumption, while the hardness was the lowest (3 in the Mohs scale from compared materials) hardness of andesite was 6.5 and of pumice was 6.5–6.0 [52]. The consideration about the energy consumption in comminution is important in terms of energy savings, as well as from the point of view of operational costs of limestone processing and mining.
The literature showed that during ore processing, different stages can be distinguished: crushing for coarse comminution and grinding for finer comminution [53]. It was found that about 36% of total energy expenditure related to comminution, and crushing operations were less energy consuming than grinding [53]. As was reported by the authors in [54], the crushing and separation operations are the third cost generating after tailing, drilling, and blasting. The expenses for crushing were generated mainly by energy consumption, so it is of high importance to reduce the energy consumption for decreasing the operational costs, as well as the external costs resulting from energy-related emissions of compounds causing photochemical oxidation, acidification, ozone layer depletion, global warming, or eutrophication [54,55].

3.4. Life Cycle-Model for Wet Grinding Process

Comparing grinding alternatives with ecological requirements is not a simple task, but it can be facilitated by multi-factor assessment methods. Grinding technologies can be examined with the application of a life cycle-model based on the environmental load and primary energy aspects. With the help of life cycle inventory data, the proper grinding technology for different materials can be chosen.
The life cycle analysis represents the data in the European Union [33,56,57] and considers the life cycle from the mining of raw material through pre-grinding to the wet grinding with transport. The LCA software with the latest database (year: 2021) assures the life cycle assessment and grinding process development [57,58]. Limestone raw materials are ground in the European Union and processed in a local limestone plant. Limestone as an organic, sedimentary rock is mined in quarries. The mining occurs by using construction machines such as using excavators for rock extraction, blasting by using ammonium nitrate, and transportation with dumpers or trucks. The construction machines partly run on rapeseed oil. After extraction, the production mix material (2.73 g/cm3, 100.09 g/mol, 0.17 mm) was processed in a processing plant. The limestone must become separated from the other mineral components and crushed into the desired grain size. This occurs during the beneficiation process. It includes crushing, screening, and washing. The limestone was pre-grinded in a roller mill in the European Union. All relevant and known delivery processes were considered. We also considered ocean and inland waterway transport, as well as rail, truck, and pipeline transport of bulk goods. The pre-grinded limestone was introduced into the production stage where energy was used for wet grinding. There is no rotation by this grinding, so during this time, we have one wet grinding process. The examined LCA plan began with the input of pre-milled limestone, tap water and Hungarian electricity grid mix for grinding, and ended with the transport of grinded limestone product for the use stage and the municipal wastewater treatment. This analysis is a cradle-to-gate assessment.
Energy carriers were demonstrated depending on the given supply situation. In the first step, the individual energy-specific power plants and the power plants producing renewable energy sources are modeled according to the current composition of the national electricity network. Demonstrating the composition of electricity consumption included transmission and distribution losses, and the own usage of energy producers as well as imported electricity [57,58]. In the second step, the national emission and efficiency standards of the power plants were modeled as well as the share of electricity plants and combined heat and power plants (CHP) [57,58]. Thermic energy and process steam supply were demonstrated according to the country-specific situation in terms of emission standards and considered energy sources. Thermic energy and process steam were produced in thermal power plants. The efficiency of thermal energy production was 100% compared to the corresponding energy input. For operation steam, the efficiency ranged from 85% to 95%. The energy sources used to produce thermal energy and process steam were modeled according to the given import situation.
In the built LCA plan, the input energy of limestone wet grinding was an energy mix from Hungary with the value of 5.4 MJ. The wastewater was transported and treated to a wastewater treatment system and the ground limestone product was delivered by truck (Euro 6 with diesel mix of EU-28). The assumed transport distance was 100 km, and the degree of utilization was 80 percent. Considering that no literature source has yet been found regarding the Hungarian energy mix, we have created our own figure in this regard.
Regarding life cycle assessment, Figure 4 shows the analysis process with inputs, outputs, and interactions.
Figure 4. Life cycle-model for wet grinding.
Figure 5 shows the Hungarian electricity mix with the help of a pie chart where the value of the nuclear energy consumption was 53.4% in the year 2021. Table 6 summarizes primary energies, resources, and emissions for wet grinding of the limestone in kilograms in the EU. Primary energies from renewable and non-renewable resources are in net caloric values.
Figure 5. Hungarian electricity mix (year: 2021) (self-edited illustration).
Table 6. Resources and emissions of the wet grinding process in kilograms.
The relative contribution of resources as a percentage were examined, and the environmental loads were distributed in this way: material resources 43%, energy resources 0.02%, and deposited goods 0.29%. According to the percentage values of emissions, the largest difference was observed in freshwater emissions (56%). The largest share of resources and emissions came from the use of electricity and the preparation of limestone for grinding. Table 7 describes eleven impact categories in the wet grinding process of 1 kg limestone in equivalents. Figure 6 represents the normalized and weighted values for the main examined eight impacts.
Table 7. The absolute values of environmental impacts in equivalents.
Figure 6. Normalized and weighted values in the wet grinding process in nanograms. (Functional unit: 1 kg of limestone product. Impact assessment method: CML 2001/Aug. 2016. Normalization reference: CML 2016, EU, year 2000, excl. biogenic carbon. Weighting method: thinkstep LCIA Survey 2012, Europe, CML 2016, excl. biogenic carbon).
According to the values of Figure 5, the relative contributions of impacts were distributed 80% from marine aquatic ecotoxicity, 7.4% from fossil abiotic depletion, 5.9% from global warming, 2% from human toxicity, and 1.7% from acidification.

3.5. Connection between Energy-Model and Life Cycle-Model

In the life cycle of comminution processes, the hot spot is the energy consumption for size reduction operation. It was estimated that in the mining sector, the energy consumption for comminution constitutes about 4% of global electrical energy consumption [59]. As was proved in the previous sections, the energy needed for size reduction and the particle sizes of final product were connected. It is important to note that the size of each particle in the product were not the same but described by distribution functions, for instance, Weibull distribution. In industrial applications, the required particle size ranges are defined. Usually, particles with sizes bigger than desired go back to the comminution circuit or go to the second stage of comminution [60]. The product with the desired particle size can be called the useful product or final product.
Based on Figure 1, Figure 2 and Figure 3 and Equations (2)–(4), with the changes of energy needed for comminution, the median particle size x50 is changing, so the parameters of Weibull distribution changes. According to the Equation (2), we can say that the mass of product with the desired size is mxi, therefore, the mass of useful product will vary according to the equation:
m x i = m p · F ( x i ) = m p · [ 1 e x p [ ( x i a ) ] n
where mp is the mass of total output of comminution process.
Considering the typical comminution indicators, such as throughput Qxi and specific energy consumption SECxi only for useful product, it can be written:
Q x i = m x i t r = m p · F ( x i ) t r = m p · [ 1 e x p [ ( x i a ) ] n t r    
S E C x i = E C m x i = Q x i P
where tr is time of comminution, EC is total energy consumption for comminution of mass of total output, and P is power consumption (average).
If we assume that the functional unit in LCA will be the mass of useful product mxi (for instance, only particles below 1.5 μm), we can model the changes of environmental impacts for the specific energy for the mass of useful product SECxi. Then, we can assume the energy consumption in cycle for the mass of product obtained (counted in the expected time of life cycle). The total energy consumption can be calculated using the transformation of Equation (4):
E C = W f · m p = C m i x x 50 0.19 · m p = m p · C m i x a ln ( 2 ) 1 n 0.19    
Substituting Equation (8) to Formula 7, we obtain the other form of mathematical description of specific energy consumption for useful product SECxi:
S E C x i = E C m x i = m p · C m i x a ln ( 2 ) 1 n 0.19 m p · F ( x i ) = C m i x a ln ( 2 ) 1 n 0.19 1 e x p [ ( x i a ) ] n
In the results of LCA for use stage, we can obtain the environmental impacts for mass of useful product for different levels of specific energy, and for that, some approximation function can be built, therefore, we obtain the functions, for example, of CO2 emission potential/kg of useful product as a function of specific energy.

4. Discussion

Fine and ultrafine grinding of limestone are frequently used mainly in the pharmaceutical, chemical, and construction industries, however, there are no professional literatures with reference to the combination of energy consumption and life cycle assessment for grinding processes. Within this research work, first, material testing and grinding experiments of limestone particle were examined in a Bond mill and a laboratory stirred media mill. In addition, life cycle assessment was accomplished for the wet grinding process of limestone. The characteristics for the given mills depended on the main technical and grinding parameters. The objective of the experimental research work was determination of the particle size distribution and the specific grinding work, and the life cycle modeling for the wet grinding process of limestone and the writing of an equation between the changes of environmental impacts and the specific energy of the mass of useful product for the grinding processes. Grindability experiments, empirical models, energy-model, and life cycle-model were prepared for the laboratory-scale mills. This research work applied the following main methods: particle size analysis with laser diffraction, determination of grinding parameters, nonlinear parameter estimation, estimation of particle size distribution, describing of mathematical relationships for grinding processes, and life cycle assessment method.
According to grinding results, it can be established that the “Operating” Bond Index calculated from the performance of the stirred ball mill and the Bond Index measured by the standard procedure differed in order of magnitude. Consequently, neither Bond nor Rittinger formulas were suitable for characterizing the grindability of stirred media mills. Given that a characteristic particle size structure property can be characterized by empirical comminution functions, we performed nonlinear parameter estimation in our research. For example, Csőke and Rácz [61] previously used a matrix model to describe limestone grinding in a hammer breaker and they determined the fracture and selection functions included in the model. The accuracy of the estimation of the functions was verified experimentally by the authors. According to our results obtained with the performed nonlinear parameter estimation correlation method, we described the empirical comminution function with sufficient accuracy by a Rosin–Rammler function, where the value of the relative standard deviation was 3–4%. In the case of wet limestone grinding, the agglomeration of the particles started above the grinding time of 20 min, therefore, the grinding time was not increased to 20 min. Based on the grinding experiments carried out on an energy-model, the relationship between the grinding fineness–grinding time and grinding fineness–grinding work can be described in mathematical form. The results of the life cycle assessment weak point analysis showed that the marine aquatic ecotoxicity (80%), the abiotic depletion for fossils (7.4%), and the global warming (5.9%) were the most sensitive to the environmental load. The total load value for wet milling of 1 kg of limestone was 16.3 nanograms. The largest proportion by weight of environmental impacts came from the electricity use and the preparation/pre-grinding of the limestone. According to the LCA results, we determined the environmental loads for mass of useful product for different levels of specific energy with building of approximation functions.
Focusing on the sustainability in the combination of energy-model and life cycle-model for grinding processes, we recognized different goals related to reducing the grinded material waste mass, using of renewable energy sources, and minimizing environmental impacts at the grinding processes. The increasing energy costs required more detailed and systematic decision making and optimal green energy usage planning [62]. As an example, Danko and Baracza [63] inspected a new geothermal energy recovery system and presented numerical model treatments for a new REGS geothermal energy recovery system to investigate the potential benefits of a green energy supply. The type and the mass of used raw materials, the energy consumption, and the key process parameters in the grinding stage have a strong effect on the entire environmental load of products over their life cycle [64].

5. Conclusions

For optimal manufacturing, it is necessary to decide the characteristics of the limestone products in the grinding processes. This article summarized dry and wet grinding processes for limestone, comparing the various grinding parameters that affected their application and operational propriety. On the one hand, this research work determined the main grinding parameters by grinding tests in a Bond mill and in a laboratory stirred ball mill. On the other hand, this study described the relation between grinding fineness and specific grinding work mathematically. Ultrafine grinding in different mills is an actual research and development area in many industries such as the pharmaceutical industry, the building industry, the chemical industry, or the material industry. The introduction of stirred ball mills becomes a good alternative that allows the production of required ultrafine limestone particles while reducing specific grinding work. It can be marked that a stirred ball mill can be an effective equipment in limestone processing facilities when all stages of development are completed.
Our research results allowed us to determine the grinding parameters in the different mills to achieve ideal effects of material fragmentation. These research results can be used by pharmaceutical, chemical, and material industries to support the ultrafine product-orientated milling process. The grinding results of this research work may be useful in defining a practice guide to the grinding industry to assist future decision-making processes.
There are very poor professional works of literature with life cycle assessment for wet grinding processes of mineral materials. However, this article sets up a life cycle- model for a wet grinding process in a laboratory stirred ball mill based on LCA with GaBi software. The life cycle assessment results of research laboratory measures do not unquestionably show the environmental impact that a large plant would cause. However, a framework can be elaborated that helps to scale up grinding processes for LCA studies when only data from laboratory experiments are available. With this approach, we can create an entire resource and environmental emission inventory for the life cycle of a limestone product. Decisions made in the design of products and processes have an impact on the environment and this needs to be considered.
Previous to this study, an energy-model and a life cycle-model for grinding processes together had not yet been developed. In this study, an approach for energy consumption and a life cycle assessment of grinding processes were developed. The research work used a mathematical equation between life cycle assessment and specific energy results to establish a new complex model, thereby developing the energy and environmental effectiveness of grinding systems. This research work will allow the industry to make a forecast for the production-scale plant based on the LCA of the experimental milling processes.
The fine and ultrafine grinding are at the highest level of engineering development and scientific work, therefore, this research topic assents to the competitiveness of the European Union.

Author Contributions

Methodology, investigation, writing, original draft preparation—V.M.; review and editing—W.K. All authors have read and agreed to the published version of the manuscript.

Funding

This research received no external funding.

Conflicts of Interest

The authors declare no conflict of interest.

Abbreviation

ADPEAbiotic Depletion Potential for elements
ADPFAbiotic Depletion Potential for fossils
APAcidification Potential
BIMBuilding information modeling
cmSolid mass concentration
CmixGrindability index number
DkDiameter of stirring equipment, m
DmDiameter of mill, m
dgDiameter of grinding beads, m
dkDiameter of stirrer disks, m
ECTotal energy consumption for comminution of mass of total output, KWh
EPDEnvironmental Product Declaration
EPEutrophication Potential
FAETPFreshwater Aquatic Ecotoxicity Potential
FUFunctional unit
GWPGlobal Warming Potential
HGIHardgrove Grindability Index
HTPHuman Toxicity Potential
LCALife Cycle Assessment
LCCLife Cycle Cost
LCILife Cycle Inventory
LCIALife Cycle Impact Assessment
LUCLand Use Change
MAETPMarine Aquatic Ecotoxicity Potential
mxiMass of useful product, t
mpMass of total output of comminution process, t
nStirrer speed of stirred ball mill, min−1
ODPOzone Depletion Potential
PPower consumption, kW
PmStirred ball mill power, kW
POCPPhotochemical Ozone Creation Potential
QxiThroughput, t/h
RSDRelative standard deviation, %
SECxiSpecific energy consumption, kWh·t−1
TETPTerrestric Ecotoxicity Potential
tGrinding time, min
trTime of comminution, h
xRelative particle size, μm
X50Median particle size of feed material, μm
x50Median particle size of ground material, μm
vkCircumferential speed of stirrer, m s−1
wkWidth of stirrer disks, m
WfSpecific grinding work, kWh·t−1
WiBKBond Work Index with Karra algorithms, kWh·t−1
WiBHBond Operating Index from Hardgrove Index, kWh·t−1
ρsSuspension density, kg·m−3
φmFilling ratio of the mill
φgFilling ratio of the grinding beads
AConstant
aParameter, μm
nExponent

References

  1. Pillai, R.G.; Ravindra, G.; Santhanam, M.; Rengaraju, S.; Dhandapani, Y.; Rathnarajan, S.; Basavaraj, A.S. Service life and life cycle assessment of reinforced concrete systems with limestone calcined clay cement (LC3). Cem. Concr. Res. 2019, 118, 111–119. [Google Scholar] [CrossRef]
  2. Touil, D.; Belaadi, S.; Frances, C. The specific selection function effect on clinker grinding efficiency in a dry batch ball mill. Int. J. Miner. Proc. 2008, 87, 141–145. [Google Scholar] [CrossRef][Green Version]
  3. Shin, H.; Lee, S.; Jung, H.S.; Kim, J.-B. Effect of ball size and powder loading on the milling efficiency of a laboratory-scale wet ball mill. Ceram. Int. 2013, 39, 8963–8968. [Google Scholar] [CrossRef]
  4. Mannheim, V. Empirical and scale-up modelling in stirred ball mills. Chem. Eng. Res. Des. 2011, 89, 405–409. [Google Scholar] [CrossRef]
  5. Kwade, A. Mill selection and process optimization using a physical grinding model. Int. J. Miner. Process. 2004, 74, 93–101. [Google Scholar] [CrossRef]
  6. Karbstein, H.; Müller, F.; Polke, R. Scale-up for grinding in stirred ball mills. Aufbereit. -Technik. 1996, 37, 469–479. [Google Scholar]
  7. Parker, N.; Rahman, M.; Bilgili, E. Impact of media material and process parameters on breakage kinetics–energy consumption during wet media milling of drugs. Eur. J. Pharm. Biopharm. 2020, 153, 52–67. [Google Scholar] [CrossRef]
  8. Bilgili, E.; Guner, G. Mechanistic Modeling of Wet Stirred Media Milling for Production of Drug Nanosuspensions. AAPS PharmSciTech. 2021, 22, 2. [Google Scholar] [CrossRef]
  9. Mucsi, G.; Rácz, Á. Grinding kinetics of red grape seed residue in stirred media mill. Adv. Powder Technol. 2017, 28, 2564–2571. [Google Scholar] [CrossRef]
  10. Oti, J.E.; Kinuthia, J.M.A.K. The Development of Stabilised Clay-Hemp Building Material for Sustainability and Low Carbon Use. J. Civ. Eng. Constr. 2020, 9, 205–214. [Google Scholar] [CrossRef]
  11. Guner, G.; Yilmaz, D.; Bilgili, E. Kinetic and Microhydrodynamic Modeling of Fenofibrate Nanosuspension Production in a Wet Stirred Media Mill. Pharmaceutics 2021, 13, 1055. [Google Scholar] [CrossRef] [PubMed]
  12. Flach, F.; Breitung-Faes, S.; Kwade, A. Scaling Wet Fine Grinding Processes of Organic Particles Using Stirred Media Mills. Chem. Ing. Tech. 2017, 89, 1051–1059. [Google Scholar] [CrossRef]
  13. Huppes, G.; Ishikawa, M. Eco-efficiency and Its xs Terminology. J. Ind. Ecol. 2005, 9, 43–46. [Google Scholar] [CrossRef]
  14. Kruszelnicka, W. A New Model for Environmental Assessment of the Comminution Process in the Chain of Biomass Energy Processing. Energies 2020, 13, 330. [Google Scholar] [CrossRef]
  15. Kruszelnicka, W.; Kasner, R.; Bałdowska-Witos, P.; Flizikowski, J.; Tomporowski, A. The Integrated Energy Consumption Index for Energy Biomass Grinding Technology Assessment. Energies 2020, 13, 1417. [Google Scholar] [CrossRef]
  16. Marcelino-Sadaba, S.; Kinuthia, J.; Oti, J.; Seco Meneses, A. Challenges in Life Cycle Assessment (LCA) of stabilised clay-based construction materials. Appl. Clay Sci. 2017, 144, 121–130. [Google Scholar] [CrossRef]
  17. Pandey, A.K.; Prakash, R. Industrial Sustainability Index and Its Possible Improvement for Paper Industry. Open J. Energy Effic. 2018, 7, 118–128. [Google Scholar] [CrossRef]
  18. Laso, J.; García-Herrero, I.; Margallo, M.; Bala, A.; Fullana-i-Palmer, P.; Irabien, A.; Aldaco, R. LCA-Based Comparison of Two Organic Fraction Municipal Solid Waste Collection Systems in Historical Centres in Spain. Energies 2019, 12, 1407. [Google Scholar] [CrossRef]
  19. Labuschagne, C.; Brent, A.C. Sustainable Project Life Cycle Management: The need to integrate life cycles in the manufacturing sector. Int. J. Proj. Manag. 2005, 23, 159–168. [Google Scholar] [CrossRef]
  20. Rossmann, M.; Stratmann, M.; Rötzer, N.; Schäfer, P.; Schmidt, M. Comparability of LCAs—Review and Discussion of the Application Purpose. In Progress in Life Cycle Assessment 2019. Sustainable Production, Life Cycle Engineering and Management; Albrecht, S., Fischer, M., Leistner, P., Schebek, L., Eds.; Springer: Cham, Switzerland, 2020. [Google Scholar] [CrossRef]
  21. U.S. Geological Survey. Mineral Commodity Summaries 2020; U.S. Geological Survey: Reston, VA, USA, 2020; 200p. [CrossRef]
  22. Van Leeuwen, R.; Kim, Y.-J.; Sriraman, V. The Effects of Limestone Powder Particle Size on the Mechanical Properties and the Life Cycle Assessment of Concrete. J. Civ. Eng. Res. 2016, 6, 104–113. [Google Scholar] [CrossRef]
  23. Song, D.; Yang, J.; Chen, B.; Hayat, T.; Alsaedi, A. Life-cycle environmental impact analysis of a typical cement production chain. Appl. Energy 2016, 164, 916–923. [Google Scholar] [CrossRef]
  24. Mannan, M.; Al-Ghamdi, S.G. Investigating environmental life cycle impacts of active living wall for improved indoor air quality. Build. Environ. 2022, 208, 108595. [Google Scholar] [CrossRef]
  25. ISO 14025:2006; Environmental Labels and Declarations—Type III Environmental Declarations—Principles and Procedures. International Organization for Standardization: Geneva, Switzerland, 2006.
  26. Ingwersen, W.W.; Subramanian, V. Guidance for product category rule development: Process, outcome, and next steps. Int. J. Life Cycle Assess 2014, 19, 532–537. [Google Scholar] [CrossRef]
  27. Galindro, B.M.; Welling, S.; Bey, N.; Olsen, S.I.; Soares, S.R.; Ryding, S.-O. Making use of life cycle assessment and environmental product declarations. J. Ind. Ecol. 2020, 24, 965–975. [Google Scholar] [CrossRef]
  28. Cooper, J.; Godwin, C.; Hall, E.S. Modeling Process and Material Alternatives in Life Cycle Assessments. Int. J. Life Cycle Assess. 2008, 13, 115–123. [Google Scholar] [CrossRef]
  29. Mannheim, V. Life Cycle Assessment Model of Plastic Products: Comparing Environmental Impacts for Different Scenarios in the Production Stage. Polymers 2021, 13, 777. [Google Scholar] [CrossRef]
  30. Mannheim, V.; Simenfalvi, Z. Total Life Cycle of Polypropylene Products: Reducing Environmental Impacts in the Manufacturing Phase. Polymers 2020, 12, 1901. [Google Scholar] [CrossRef]
  31. ISO 14040:2006; Environmental Management—Life Cycle Assessment—Principles and Framework. International Organisation for Standardization: Geneva, Switzerland, 2006. Available online: https://www.iso.org/standard/37456.html (accessed on 6 June 2019).
  32. ISO 14044:2006; Environmental Management—Life Cycle Assessment—Requirements and Guidelines. International Organisation for Standardization: Geneva, Switzerland, 2006. Available online: https://www.iso.org/standard/38498.html (accessed on 6 June 2019).
  33. [Gabi 9.2] Sphera, Stuttgart, Leinfelden-Echterdingen. Sphera Gabi 9.2 Software-System and Databases for Life Cycle Engineering [Internet]. 2019. Available online: https://www.gabi-software.com (accessed on 12 June 2019).
  34. [CML] Institute of Environmental Sciences, Leiden University. CML-IA Characterisation Factors Portal [Internet]. 2016. Available online: https://www.universiteitleiden.nl/en/research/researchoutput/science/cml-ia-characterisation-factors (accessed on 29 June 2018).
  35. European Commission. Recommendations for Life Cycle Impact Assessment in the European context—Based on Existing Environmental Impact Assessment Models and Factors. In ILCD Handbook; European Commission, Joint Research Centre, Institute for Environment and Sustainability: Ispra, Italy, 2011; Available online: https://publications.jrc.ec.europa.eu/repository/handle/JRC61049 (accessed on 29 February 2016). [CrossRef]
  36. European Commission. Report on Critical Raw Materials for the EU.; European Commission: Brussels, Belgium, 2014; Available online: http://ec.europa.eu/growth/sectors/raw-materials/specific-interest/critical/index_en.htm (accessed on 29 February 2016).
  37. European Commission. Analysis of existing Environmental Impact Assessment methodologies for use in Life Cycle Assessment; European Commission, Joint Research Centre, Institute for Environment and Sustainability. 2010. Available online: http://eplca.jrc.ec.europa.eu/uploads/ILCD-Handbook-LCIA-Background-analysis-online-12March2010.pdf (accessed on 29 February 2016).
  38. Guinée, J.B. Handbook on life cycle assessment—Operational guide to the ISO standards. Int. J. Life Cycle Assess. 2002, 7, 311. [Google Scholar] [CrossRef]
  39. Heijungs, R.; Sangwon, S. The Computational Structure of Life Cycle Assessment; Springer Science & Business Media: Berlin, Germany, 2002. [Google Scholar] [CrossRef]
  40. Guinée, J.B.; Heijungs, R. A proposal for the definition of resource equivalency factors for use in product Life-Cycle Assessment. Environ. Toxicol. Chem. 1995, 14, 917–925. [Google Scholar] [CrossRef]
  41. Van Oers, L.; De Koning, A.; Guinée, J.B.; Huppes, G. Abiotic resource depletion in LCA. In Improving Characterisation Factors for Abiotic Resource Depletion as Recommended in the New Dutch LCA Handbook; RWS-DWW: Delft, The Netherlands, 2002; Available online: http://www.leidenuniv.nl/cml/ssp/projects/lca2/report_abiotic_depletion_web.pdf (accessed on 29 February 2016).
  42. Fuerstenau, D.W.; Venkataraman, D.W. The Comminution of Multicomponent Feeds under Batch and Locked Cycle Condition: Kinetics, Simulation and Energy Distribution. Int. J. Miner. Process. 1988, 22, 105–118. [Google Scholar] [CrossRef]
  43. García, G.G.; Oliva, J.; Guasch, E.; Anticoi, H.; Coello-Velázquez, A.L.; Menéndez-Aguado, J.M. Variability Study of Bond Work Index and Grindability Index on Various Critical Metal Ores. Metals 2021, 11, 970. [Google Scholar] [CrossRef]
  44. Yan, D.; Eaton, R. Breakage Properties of Ore Blends. Miner. Eng. 1994, 7, 185–199. [Google Scholar] [CrossRef]
  45. Hosten, C.; Avsar, C. Grindability of Mixtures of Cement Clinker and Trass. Cem. Concr. Res. 1998, 28, 1519–1524. [Google Scholar] [CrossRef]
  46. Tavares, L.M.; Kallemback, R.D.C. Grindability of Binary Ore Blends in Ball Mills. Miner. Eng. 2013, 41, 115–120. [Google Scholar] [CrossRef]
  47. Bond, F.C. Crushing and Grinding Calculation Parts, I. Br. Chem. Eng. 1961, 6, 378–385. [Google Scholar]
  48. Bond, F.C. Crushing and Grinding Calculation Parts II. Br. Chem. Eng. 1961, 8, 543–548. [Google Scholar]
  49. Kujundžić, T.; Bedeković, G.; Kuhinek, D.; Korman, T. Impact of rock hardness on fragmentation by hydraulic hammer and crushing in jaw crusher. Rud. -Geološko-Naft. Zb. 2008, 20, 83–90. [Google Scholar]
  50. Linsong, W.; Zhiyong, G.; Honghu, T.; Li, W.; Haisheng, H.; Wei, S.; Yongbao, Q.; Yue, Y. Copper recovery from copper slags through flotation enhanced by sodium carbonate synergistic mechanical activation. J. Environ. Chem. Eng. 2022, 10, 107671. [Google Scholar] [CrossRef]
  51. Rajasekar, A.; Arunachalam, K.; Kottaisamy, M. Assessment of strength and durability characteristics of copper slag incorporated ultra high strength concrete. J. Clean. Prod. 2018, 208, 402–414. [Google Scholar] [CrossRef]
  52. Available online: https://nature.berkeley.edu/classes/eps2/wisc/glossary2.html (accessed on 1 January 2020).
  53. Somani, A.; Nandi, T.K.; Pal, S.K.; Majumder, A.K. Pre-treatment of rocks prior to comminution—A critical review of present practices. Int. J. Min. Sci. Technol. 2017, 27, 339–348. [Google Scholar] [CrossRef]
  54. Hyseni, S.; Durmishaj, B.; Bytyqi, A.; Alliu, I.; Berisha, A. Cost benefit analysis in Kosmaç limestone deposit Republic of Kosovo, ARPN. J. Eng. Appl. Sci. 2012, 7, 1490–1494. [Google Scholar]
  55. Özkan, A.; Günkaya, Z.; Tok, G.; Karacasulu, L.; Metesoy, M.; Banar, M.; Kara, A. Life Cycle Assessment and Life Cycle Cost Analysis of Magnesia Spinel Brick Production. Sustainability 2016, 8, 662. [Google Scholar] [CrossRef]
  56. European Platform on LCA (EPLCA)—European Reference Life Cycle Data System, 2006. European Commission, Directorate-General Joint Research Center (DG JRC), Institute for Environment and Sustainability (IES), Ispra (VA). Available online: https://eplca.jrc.ec.europa.eu/ (accessed on 1 September 2006).
  57. GaBi Databases. GaBi Software System, Sphera Solutions GmbH, LBP-GaBi; University of Stuttgart: Leinfelden-Echterdingen, Germany, 2011. [Google Scholar]
  58. GaBi Modelling Principles. Sphera Solutions GmbH, 2021, Leinfelden-Echterdingen, Germany. Available online: https://sphera.com/wp-content/uploads/2020/04/Modeling-Principles-GaBi-Databases-2021.pdf (accessed on 1 April 2020).
  59. Jeswiet, J.; Szekeres, A. Energy Consumption in Mining Comminution. Procedia CIRP 2016, 48, 140–145. [Google Scholar] [CrossRef]
  60. Papadopoulou, P.; Asbjörnsson, G.; Hulthén, E.; Evertsson, M. Utilization of environmental simulations in the design and operation of coarse comminution and classification circuit. In Proceedings of the Conference in Minerals Engineering, Luleå, Sweden, 4–5 February 2020; Available online: https://research.chalmers.se/publication/516084/file/516084_Fulltext.pdf (accessed on 29 September 2021).
  61. Csőke, B.; Rácz, J. Estimation of the breakage and selection functions for comminution in hammer mill. In Proceedings of the 9th European Symposium on Comminution, Albi, France, 8–10 September 1998; pp. 393–401. [Google Scholar]
  62. Steve, S. Reducing energy demand: A review of issues, challenges and approaches. Renew. Sustain. Energy Rev. 2015, 47, 74–82. [Google Scholar]
  63. Danko, G.L.; Baracza, M.K. Numerical Demonstration of an Unconventional EGS Arrangement. Energies 2022, 15, 20. [Google Scholar] [CrossRef]
  64. Margallo, M.; Ruiz-Salmón, I.; Laso, J.; Bala, A.; Colomé, R.; Gazulla, C.; Fullana-i-Palmer, P.; Aldaco, R. Combining technical, environmental, social and economic aspects in a life-cycle ecodesign methodology: An integrated approach for an electronic toy. J. Clean. Prod. 2021, 278, 123452. [Google Scholar] [CrossRef]
Publisher’s Note: MDPI stays neutral with regard to jurisdictional claims in published maps and institutional affiliations.

Article Metrics

Citations

Article Access Statistics

Multiple requests from the same IP address are counted as one view.