Do COVID-19 Lock-Downs Affect Business Cycle? Analysis Using Energy Consumption Cycle Clock for Selected European Countries
Abstract
:1. Introduction
Energy Consumption, Business Cycle and Economic Growth
2. Literature Review
2.1. Impact of COVID-19 Lockdows on Energy Consumption
2.2. Relation between Energy Consumption and Economic Growth
2.2.1. World Wide Analysis
2.2.2. Results for OECD Countries
2.2.3. Results for European Union
2.2.4. Results for North and Central America
2.2.5. Results for Africa
2.2.6. Results for Asia
2.2.7. Results for Emerging Economies
3. Methods and Data
Research Scenario
4. Results
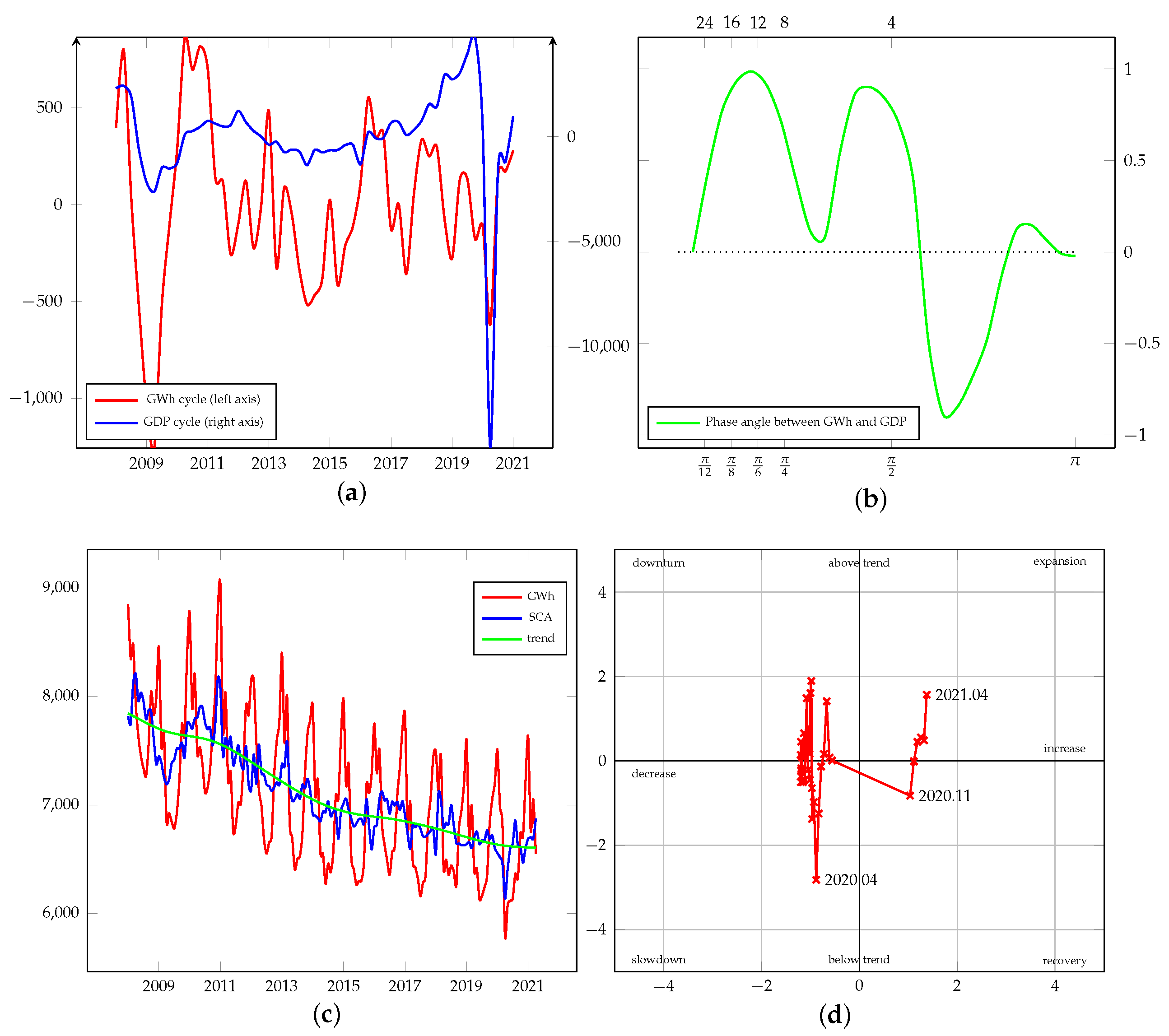
- In the case of 8 countries, i.e., Austria, Bulgaria, Cyprus, Czech Republic, Finland, Hungary, Sweden, and Slovenia, values of phase angle are always positive (for all frequencies).
- In the case of 11 countries, i.e., Belgium, Estonia, Greece, Spain, Italy, Croatia, Poland, Portugal, Romania, Slovakia and Turkey, values of phase angle are positive only for low frequencies (which corresponds to a period longer than eight quarters).
- In the case of 4 countries, i.e., Lithuania, Luxembourg, Netherlands, Norway, and France, values of phase angle are positive only for high frequencies (up to 5 quarters).
- In the case of 4 countries, i.e., Germany, Denmark, Ireland, and Latvia, we got either negative values of phase angle or results were inconclusive (which means lack of support for H1).
- In April 2020, at the time of the outbreak of the first wave of the COVID-19 pandemic, energy consumption in all countries was below the trend (all points are below the zero line on Figure 2a).
- A year later, i.e., in April 2021, the position of energy consumption in the cycle moved above the trend in all countries (all points are above the zero line on Figure 2c).
- Successive waves of the COVID-19 pandemic changed the phase of the cycle in all countries at least once. This means that there has been no country whose energy cycle is immune to changes in the economic environment, such as the occurrence of pandemic waves. In other words, when we compare Figure 2a–c, each country moved to another quarter (changed its position) at least once.
- The energy consumption cycle phase was changed twice in 4 countries: Belgium, Lithuania, Netherlands, and Norway.
- In 7 countries, i.e., Denmark, Spain, Finland, France, Ireland, Latvia, and Sweden, the energy consumption didn’t change its cycle phase after the impact of the first wave of the COVID-19 pandemic.
- In the remaining 11 of the 28 countries analyzed, energy consumption changed its cycle phase only after the first wave of COVID-19 and after successive waves their cycle phases remained stable.
5. Discussion and Conclusions
Supplementary Materials
Author Contributions
Funding
Institutional Review Board Statement
Informed Consent Statement
Data Availability Statement
Acknowledgments
Conflicts of Interest
Abbreviations
| NPI | Non-pharmaceutical interventions |
| SCA | Seasonally and Calendar Adjusted |
| GDP | Gross Domestic Product |
| MIDAS | Mixed-data sampling |
| CEE | Central and Eastern Europe |
Appendix A




























References
- Ainslie, K.; Walters, C.; Fu, H.; Bhatia, S.; Wang, H.; Baguelin, M.; Bhatt, S.; Boonyasiri, A.; Boyd, O.; Cattarino, L.; et al. Report 11: Evidence of Initial Success for China Exiting COVID-19 Social Distancing Policy after Achieving Containment; Technical report; WHO Collaborating Centre for Infectious Disease Modelling: London, UK; MRC Centre for Global Infectious Disease Analysis: London, UK; Abdul Latif Jameel Institute for Disease and Emergency Analytics: London, UK; Imperial College London: London, UK, 2020. [Google Scholar] [CrossRef]
- Haug, N.; Geyrhofer, L.; Londei, A.; Hot Dervic, E.; Desvars, A.; Loreto, V.; Conrady, B.; Thurner, S.; Klimek, P. Ranking the effectiveness of worldwide COVID-19 government interventions. Nat. Hum. Behav. 2020, 4, 1–10. [Google Scholar] [CrossRef]
- Lipscy, P.Y. COVID-19 and the Politics of Crisis. Int. Organ. 2020, 74, E98–E127. [Google Scholar] [CrossRef]
- Plümper, T.; Neumayer, E. Lockdown policies and the dynamics of the first wave of the Sars-CoV-2 pandemic in Europe. J. Eur. Public Policy 2020, 27, 1–21. [Google Scholar] [CrossRef]
- Brown, S.P.A.; Thompson, J.; Yücel, M.K. Business Cycles: The Role of Energy Prices; Working Papers 0304; Federal Reserve Bank of Dallas: Dallas, TX, USA, 2003. [Google Scholar]
- Li, T.; Li, X.; Liao, G. Business cycles and energy intensity. Evidence from emerging economies. Borsa Istanb. Rev. 2021. [Google Scholar] [CrossRef]
- Hauser, P.; Schönheit, D.; Scharf, H.; Anke, C.P.; Möst, D. Covid-19’s Impact on European Power Sectors: An Econometric Analysis. Energies 2021, 14, 1639. [Google Scholar] [CrossRef]
- Aktar, M.A.; Alam, M.M.; Al-Amin, A.Q. Global economic crisis, energy use, CO2 emissions, and policy roadmap amid COVID-19. Sustain. Prod. Consum. 2021, 26, 770–781. [Google Scholar] [CrossRef]
- Mirnezami, S.R.; Rajabi, S. Changing Primary Energy Consumption Due to COVID-19: The Study 20 European Economies. Int. J. Energy Econ. Policy 2021, 11, 615–631. [Google Scholar] [CrossRef]
- Wang, Q.; Li, S.; Jiang, F. Uncovering the impact of the COVID-19 pandemic on energy consumption: New insight from difference between pandemic-free scenario and actual electricity consumption in China. J. Clean. Prod. 2021, 313, 127897. [Google Scholar] [CrossRef]
- Nayak, J.; Mishra, M.; Naik, B.; Swapnarekha, H.; Cengiz, K.; Shanmuganathan, V. An impact study of COVID-19 on six different industries: Automobile, energy and power, agriculture, education, travel and tourism and consumer electronics. Exp. Syst. 2021, 38, 1–32. [Google Scholar] [CrossRef]
- Priya, S.S.; Cuce, E.; Sudhakar, K. A perspective of COVID 19 impact on global economy, energy and environment. Int. J. Sustain. Eng. 2021, 14, 1290–1305. [Google Scholar] [CrossRef]
- Zhang, D.; Li, H.; Zhu, H.; Zhang, H.; Goh, H.H.; Wong, M.C.; Wu, T. Impact of COVID-19 on Urban Energy Consumption of Commercial Tourism City. Sustain. Cities Soc. 2021, 73, 103133. [Google Scholar] [CrossRef]
- Aruga, K.; Islam, M.M.; Jannat, A. Effects of COVID-19 on Indian Energy Consumption. Sustainability 2020, 12, 5616. [Google Scholar] [CrossRef]
- Bielecki, S.; Skoczkowski, T.; Sobczak, L.; Buchoski, J.; Maciąg, L.; Dukat, P. Impact of the Lockdown during the COVID-19 Pandemic on Electricity Use by Residential Users. Energies 2021, 14, 980. [Google Scholar] [CrossRef]
- Soava, G.; Mehedintu, A.; Sterpu, M.; Grecu, E. The Impact of the COVID-19 Pandemic on Electricity Consumption and Economic Growth in Romania. Energies 2021, 14, 2394. [Google Scholar] [CrossRef]
- Rouleau, J.; Gosselin, L. Impacts of the COVID-19 lockdown on energy consumption in a Canadian social housing building. Appl. Energy 2021, 287, 116565. [Google Scholar] [CrossRef]
- García, S.; Parejo, A.; Personal, E.; Ignacio Guerrero, J.; Biscarri, F.; León, C. A retrospective analysis of the impact of the COVID-19 restrictions on energy consumption at a disaggregated level. Appl. Energy 2021, 287, 116547. [Google Scholar] [CrossRef]
- Halbrügge, S.; Schott, P.; Weibelzahl, M.; Buhl, H.U.; Fridgen, G.; Schöpf, M. How did the German and other European electricity systems react to the COVID-19 pandemic? Appl. Energy 2021, 285, 116370. [Google Scholar] [CrossRef]
- Kirli, D.; Parzen, M.; Kiprakis, A. Impact of the COVID-19 Lockdown on the Electricity System of Great Britain: A Study on Energy Demand, Generation, Pricing and Grid Stability. Energies 2021, 14, 635. [Google Scholar] [CrossRef]
- Abu-Rayash, A.; Dincer, I. Analysis of the electricity demand trends amidst the COVID-19 coronavirus pandemic. Energy Res. Soc. Sci. 2020, 68, 101682. [Google Scholar] [CrossRef] [PubMed]
- Strielkowski, W.; Firsova, I.; Lukashenko, I.; Raudeliūnienė, J.; Tvaronavičienė, M. Effective Management of Energy Consumption during the COVID-19 Pandemic: The Role of ICT Solutions. Energies 2021, 14, 893. [Google Scholar] [CrossRef]
- Beyer, R.C.; Franco-Bedoya, S.; Galdo, V. Examining the economic impact of COVID-19 in India through daily electricity consumption and nighttime light intensity. World Dev. 2021, 140, 105287. [Google Scholar] [CrossRef]
- Beaudreau, B.C. Engineering and economic growth. Struct. Chang. Econ. Dyn. 2005, 16, 211–220. [Google Scholar] [CrossRef]
- Mehrara, M. Energy consumption and economic growth: The case of oil exporting countries. Energy Policy 2007, 35, 2939–2945. [Google Scholar] [CrossRef]
- Narayan, P.K.; Popp, S. The energy consumption-real GDP nexus revisited: Empirical evidence from 93 countries. Econ. Model. 2012, 29, 303–308. [Google Scholar] [CrossRef]
- Apergis, N.; Tang, C.F. Is the energy-led growth hypothesis valid? New evidence from a sample of 85 countries. Energy Econ. 2013, 38, 24–31. [Google Scholar] [CrossRef]
- Belke, A.; Dobnik, F.; Dreger, C. Energy consumption and economic growth: New insights into the cointegration relationship. Energy Econ. 2011, 33, 782–789. [Google Scholar] [CrossRef] [Green Version]
- Coers, R.; Sanders, M. The energy-GDP nexus; addressing an old question with new methods. Energy Econ. 2013, 36, 708–715. [Google Scholar] [CrossRef] [Green Version]
- Gozgor, G.; Lau, C.K.M.; Lu, Z. Energy consumption and economic growth: New evidence from the OECD countries. Energy 2018, 153, 27–34. [Google Scholar] [CrossRef] [Green Version]
- Śmiech, S.; Papież, M. Energy consumption and economic growth in the light of meeting the targets of energy policy in the EU: The bootstrap panel Granger causality approach. Energy Policy 2014, 71, 118–129. [Google Scholar] [CrossRef]
- Papież, M.; Śmiech, S.; Frodyma, K. Effects of renewable energy sector development on electricity consumption–Growth nexus in the European Union. Renew. Sustain. Energy Rev. 2019, 113, 109276. [Google Scholar] [CrossRef]
- Stern, D.I. Energy and economic growth in the USA: A multivariate approach. Energy Econ. 1993, 15, 137–150. [Google Scholar] [CrossRef]
- Gross, C. Explaining the (non-) causality between energy and economic growth in the U.S.—A multivariate sectoral analysis. Energy Econ. 2012, 34, 489–499. [Google Scholar] [CrossRef] [Green Version]
- Rodríguez-Caballero, C.V.; Ventosa-Santaulària, D. Energy-growth long-term relationship under structural breaks. Evidence from Canada, 17 Latin American economies and the USA. Energy Econ. 2017, 61, 121–134. [Google Scholar] [CrossRef]
- Ghali, K.H.; El-Sakka, M. Energy use and output growth in Canada: A multivariate cointegration analysis. Energy Econ. 2004, 26, 225–238. [Google Scholar] [CrossRef]
- Apergis, N.; Payne, J.E. Energy consumption and economic growth in Central America: Evidence from a panel cointegration and error correction model. Energy Econ. 2009, 31, 211–216. [Google Scholar] [CrossRef]
- Ouedraogo, N.S. Energy consumption and economic growth: Evidence from the economic community of West African States (ECOWAS). Energy Econ. 2013, 36, 637–647. [Google Scholar] [CrossRef]
- Lee, C.C.; Chang, C.P. Energy consumption and economic growth in Asian economies: A more comprehensive analysis using panel data. Resour. Energy Econ. 2008, 30, 50–65. [Google Scholar] [CrossRef]
- Oh, W.; Lee, K. Causal relationship between energy consumption and GDP revisited: The case of Korea 1970–1999. Energy Econ. 2004, 26, 51–59. [Google Scholar] [CrossRef]
- Oh, W.; Lee, K. Energy consumption and economic growth in Korea: Testing the causality relation. J. Policy Model. 2004, 26, 973–981. [Google Scholar] [CrossRef]
- Herrerias, M.; Joyeux, R.; Girardin, E. Short- and long-run causality between energy consumption and economic growth: Evidence across regions in China. Appl. Energy 2013, 112, 1483–1492. [Google Scholar] [CrossRef]
- Yıldırım, E.; Sukruoglu, D.; Aslan, A. Energy consumption and economic growth in the next 11 countries: The bootstrapped autoregressive metric causality approach. Energy Econ. 2014, 44, 14–21. [Google Scholar] [CrossRef]
- Apergis, N.; Payne, J.E. Energy consumption and economic growth: Evidence from the Commonwealth of Independent States. Energy Econ. 2009, 31, 641–647. [Google Scholar] [CrossRef]
- Polemis, M.L.; Dagoumas, A.S. The electricity consumption and economic growth nexus: Evidence from Greece. Energy Policy 2013, 62, 798–808. [Google Scholar] [CrossRef]
- Dergiades, T.; Martinopoulos, G.; Tsoulfidis, L. Energy consumption and economic growth: Parametric and non-parametric causality testing for the case of Greece. Energy Econ. 2013, 36, 686–697. [Google Scholar] [CrossRef] [Green Version]
- Fishman, G.S. Spectral Methods in Econometrics; Harvard University Press: Cambridge, MA, USA, 1969. [Google Scholar] [CrossRef]
- Sax, C.; Eddelbuettel, D. Seasonal Adjustment by X-13ARIMA-SEATS in R. J. Stat. Softw. 2018, 87, 1–17. [Google Scholar] [CrossRef] [Green Version]
- Hodrick, R.; Prescott, E. Postwar U.S. Business Cycles: An Empirical Investigation. J. Money Credit. Bank. 1997, 29, 1–16. [Google Scholar] [CrossRef]
- Kaiser, R.; Maravall, A. Estimation of the business cycle: A modified Hodrick-Prescott filter. Span. Econ. Rev. 1999, 1, 175–206. [Google Scholar] [CrossRef]
- Osińska, M.; Kufel, T.; Błażejowski, M.; Kufel, P. Business cycle synchronization in the EU economies after the recession of 2007–2009. Argum. Oeconomica 2016, 37, 5–30. [Google Scholar] [CrossRef]
- Cottrell, A.; Lucchetti, R. Gretl User’s Guide. Available online: http://gretl.sourceforge.net/gretl-help/gretl-guide.pdf (accessed on 30 December 2021).
- Ritchie, H.; Mathieu, E.; Rodés-Guirao, L.; Appel, C.; Giattino, C.; Ortiz-Ospina, E.; Hasell, J.; Macdonald, B.; Beltekian, D.; Roser, M. Coronavirus Pandemic (COVID-19). Our World Data 2020. Available online: https://ourworldindata.org/coronavirus (accessed on 30 December 2021). [CrossRef]
- Kabiraj, A.; Pal, D.; Bhattacherjee, P.; Chatterjee, K.; Majumdar, R.; Ganguly, D. How Successful is a Lockdown During a Pandemic? In Proceedings of the 2020 IEEE 17th India Council International Conference (INDICON), New Delhi, India, 10–13 December 2020; pp. 1–6. [Google Scholar] [CrossRef]
- Mboera, L.E.; Akipede, G.O.; Banerjee, A.; Cuevas, L.E.; Czypionka, T.; Khan, M.; Kock, R.; McCoy, D.; Mmbaga, B.T.; Misinzo, G.; et al. Mitigating lockdown challenges in response to COVID-19 in Sub-Saharan Africa. Int. J. Infect. Dis. 2020, 96, 308–310. [Google Scholar] [CrossRef] [PubMed]
- Haider, N.; Osman, A.Y.; Gadzekpo, A.; Akipede, G.O.; Asogun, D.; Ansumana, R.; Lessells, R.J.; Khan, P.; Hamid, M.M.A.; Yeboah-Manu, D.; et al. Lockdown measures in response to COVID-19 in nine sub-Saharan African countries. BMJ Glob. Health 2020, 5, e003319. [Google Scholar] [CrossRef]
- Shaikh, I. Impact of COVID-19 pandemic on the energy markets. Econ. Chang. Restruct. 2021, 1–52. [Google Scholar] [CrossRef]
- Jiang, P.; Fan, Y.V.; Klemeš, J.J. Impacts of COVID-19 on energy demand and consumption: Challenges, lessons and emerging opportunities. Appl. Energy 2021, 285, 116441. [Google Scholar] [CrossRef] [PubMed]
- Andreani, M.; Candila, V.; Morelli, G.; Petrella, L. Multivariate Analysis of Energy Commodities during the COVID-19 Pandemic: Evidence from a Mixed-Frequency Approach. Risks 2021, 9, 144. [Google Scholar] [CrossRef]
- Apergis, E.; Apergis, N. Can the COVID-19 pandemic and oil prices drive the US Partisan Conflict Index? Energy Res. Lett. 2020, 1, 13144. [Google Scholar] [CrossRef]
- Bentsen, K.N.; Gorea, D. Nowcasting and Forecasting Economic Activity in Denmark Using Payment System Data; Working Paper 177; Danmarks Nationalbank: Copenhagen, Denmark, 2021. [Google Scholar]
- Ankargren, S.; Lindholm, U. Nowcasting Swedish GDP Growth; Working Paper 154; The National Institute of Economic Research: London, UK, 2021. [Google Scholar]
- Gül, S.; Kazdal, A. Nowcasting and Short-Term Forecasting Turkish GDP: Factor-MIDAS Approach; Working Paper 21/11; Central Bank of the Republic of Turkey: Ankara, Turkey, 2021. [Google Scholar]


| Trend Direction | Position in Cycle | Cycle Phase | ||||||
|---|---|---|---|---|---|---|---|---|
| in Relation to Trend | ||||||||
| April | November | April | April | November | April | November | April | |
| 2020 | 2020 | 2021 | 2020 | 2020 | 2021 | 2020 | 2021 | |
| Austria | decrease | decrease | decrease | below | above | above | changed | unchanged |
| Belgium | decrease | increase | increase | below | below | above | changed | changed |
| Bulgaria | increase | decrease | decrease | below | above | above | changed | unchanged |
| Cyprus | decrease | increase | increase | below | above | above | changed | unchanged |
| Czech Republic | decrease | increase | increase | below | above | above | changed | unchanged |
| Germany | decrease | decrease | decrease | below | above | above | changed | unchanged |
| Denmark | increase | increase | increase | below | below | above | unchanged | changed |
| Estonia | increase | decrease | decrease | below | above | above | changed | unchanged |
| Greece | decrease | decrease | decrease | below | above | above | changed | unchanged |
| Spain | decrease | decrease | decrease | below | below | above | unchanged | changed |
| Finland | decrease | decrease | decrease | below | below | above | unchanged | changed |
| France | decrease | decrease | decrease | below | below | above | unchanged | changed |
| Croatia | decrease | increase | increase | below | above | above | changed | unchanged |
| Hungary | increase | decrease | decrease | below | above | above | changed | unchanged |
| Ireland | decrease | decrease | decrease | below | below | above | unchanged | changed |
| Italy | decrease | increase | increase | below | above | above | changed | unchanged |
| Lithuania | increase | decrease | decrease | below | below | above | changed | changed |
| Luxembourg | decrease | decrease | decrease | below | above | above | changed | unchanged |
| Latvia | decrease | decrease | decrease | below | below | above | unchanged | changed |
| Netherlands | decrease | increase | increase | below | below | above | changed | changed |
| Norway | increase | decrease | increase | below | below | above | changed | changed |
| Poland | decrease | decrease | decrease | below | above | above | changed | unchanged |
| Portugal | decrease | decrease | decrease | below | above | above | changed | unchanged |
| Romania | decrease | decrease | decrease | below | above | above | changed | unchanged |
| Sweden | decrease | decrease | decrease | below | below | above | unchanged | changed |
| Slovenia | decrease | decrease | decrease | below | above | above | changed | unchanged |
| Slovakia | decrease | increase | increase | below | above | above | changed | unchanged |
| Turkey | increase | increase | increase | below | above | above | changed | unchanged |
Publisher’s Note: MDPI stays neutral with regard to jurisdictional claims in published maps and institutional affiliations. |
© 2022 by the authors. Licensee MDPI, Basel, Switzerland. This article is an open access article distributed under the terms and conditions of the Creative Commons Attribution (CC BY) license (https://creativecommons.org/licenses/by/4.0/).
Share and Cite
Kufel, T.; Kufel, P.; Błażejowski, M. Do COVID-19 Lock-Downs Affect Business Cycle? Analysis Using Energy Consumption Cycle Clock for Selected European Countries. Energies 2022, 15, 340. https://doi.org/10.3390/en15010340
Kufel T, Kufel P, Błażejowski M. Do COVID-19 Lock-Downs Affect Business Cycle? Analysis Using Energy Consumption Cycle Clock for Selected European Countries. Energies. 2022; 15(1):340. https://doi.org/10.3390/en15010340
Chicago/Turabian StyleKufel, Tadeusz, Paweł Kufel, and Marcin Błażejowski. 2022. "Do COVID-19 Lock-Downs Affect Business Cycle? Analysis Using Energy Consumption Cycle Clock for Selected European Countries" Energies 15, no. 1: 340. https://doi.org/10.3390/en15010340
APA StyleKufel, T., Kufel, P., & Błażejowski, M. (2022). Do COVID-19 Lock-Downs Affect Business Cycle? Analysis Using Energy Consumption Cycle Clock for Selected European Countries. Energies, 15(1), 340. https://doi.org/10.3390/en15010340

