Effect of Nonlinear Electromechanical Coupling in Magnetic Levitation Energy Harvester
Abstract
1. Introduction
1.1. Energy Harvesting
1.2. Electromechanical Coupling
1.3. Motivation
2. Materials and Methods
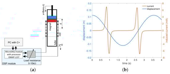
2.1. Electromagnetic Harvester Design
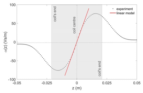
2.2. Electromechanical Coupling Determination
2.3. Electromechanical Coupling Models
2.3.1. Constant EC Model
2.3.2. Linear EC Model
2.3.3. Nonlinear EC Model
3. Discussion of Electromechanical Coupling Models
3.1. Calculation Methods and Parameters
3.2. Comparing of Harvester with Different Electromechanical Coupling Models
4. Results
4.1. Frequency Response Curve
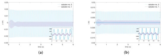
4.2. Multistability Analysis
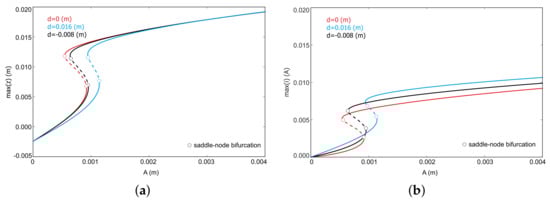
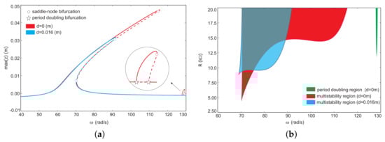
4.3. Bifurcation Analysis
5. Conclusions
Author Contributions
Funding
Institutional Review Board Statement
Informed Consent Statement
Acknowledgments
Conflicts of Interest
Abbreviations
| EH | energy harvesting |
| ES | energy scavening |
| VEHs | vibration energy harvesters |
| EC | electromechanical coupling |
| SNB | saddle−node bifurcation |
| PDB | period doubling bifurcation |
References
- Fagas, G.; Gallagher, J.P.; Gammaitoni, L.; Paul, D.J. Energy Challenges for ICT. In ICT—Energy Concepts for Energy Efficiency and Sustainability; Fagas, G., Gammaitoni, L., Gallagher, J.P., Paul, D.J., Eds.; InTechOpen: London, UK, 2017; pp. 1–36. [Google Scholar]
- Park, H.; Lee, D.; Park, G.; Park, S.; Khan, S.; Kim, J.; Kim, W. Energy harvesting using thermoelectricity for IoT (Internet of Things) and E-skin sensors. J. Phys. Energy 2019, 1, 042001. [Google Scholar] [CrossRef]
- Elaji, M.; Munir, K.; Eugeni, M.; Atek, S.; Gaudenzi, P. Energy Harvesting towards Self-Powered IoT Devices. Energies 2020, 13, 5528. [Google Scholar]
- Yunus, N.H.M.; Sampe, J.; Yunas, J.; Pawi, A.; Rhazali, Z.A. MEMS based antenna of energy harvester for wireless sensor node. Microsyst. Technol. 2020, 26, 2785–2792. [Google Scholar] [CrossRef]
- Butt, Z.; Rahman, S.U.; Pasha, R.A.; Mehmood, S.; Abbas, S.; Elahi, H. Characterizing barium titanate piezoelectric material using the finite element method. Trans. Electr. Electron. Mater. 2017, 18, 163–168. [Google Scholar]
- Swati, R.; Elahi, H.; Wen, L.; Khan, A.; Shad, S.; Mughal, M.R. Investigation of tensile and in-plane shear properties of carbon fiber reinforced composites with and without piezoelectric patches for micro-crack propagation using extended finite element method. Microsyst. Technol. 2019, 25, 2361–2370. [Google Scholar] [CrossRef]
- Mitcheson, P.D.; Yeatman, E.M.; Rao, G.K.; Holmes, A.S.; Green, T.C. Energy harvesting from human and machine motion for wireless electronic devices. Proc. IEEE 2008, 96, 1457–14861. [Google Scholar] [CrossRef]
- Wang, W.; Cao, J.; Zhang, N.; Li, J.; Liao, W.H. Magnetic-spring based energy harvesting from human motions: Design, modeling and experiments. Energ. Convers. Manag. 2017, 132, 189–197. [Google Scholar] [CrossRef]
- Rajarathinam, M.; Ali, S.F. Energy generation in a hybrid harvester under harmonic excitation. Energ. Convers. Manag. 2018, 155, 10–19. [Google Scholar] [CrossRef]
- Zhang, Y.; Cao, J.; Zhu, H.; Lei, Y. Design, modeling and experimental verification of circular Halbach electromagnetic energy harvesting from bearing motion. Energ. Convers. Manag. 2019, 150, 811–821. [Google Scholar] [CrossRef]
- Saha, C.R.; O’Donnel, T.; Wang, N.; Mc Closkey, P. Electromagnetic generator for harvesting energy from human motion. Sens. Actuators A Phys. 2008, 147, 248–253. [Google Scholar] [CrossRef]
- Rome, L.C.; Flynn, L.; Goldman, E.M.; Yoo, T.D. Generating electricity while walking with loads. Science 2005, 3090, 1725–1728. [Google Scholar] [CrossRef]
- Ni, T.; Zuo, L.; Kareem, A. Assessment of energy potential and vibration mitigation of regenerative tuned mass dampers on wind excited tall buildings. In Proceedings of the ASME 2011 International Design Engineering Technical Conferences and Computers and Information in Engineering Conference, Washington, DC, USA, 28–31 August 2011; pp. 333–342. [Google Scholar]
- Zuo, L.; Scully, B.; Shestani, J.; Zhou, Y. Design and characterization of an electromagnetic energy harvester for vehicle suspensions. Smart Mater. Struct. 2010, 19, 045003. [Google Scholar] [CrossRef]
- Nagode, C.; Ahmadian, M.; Taheri, S. Effective energy harvesting devices for railroad applications. In Proceedings of the SPIE Smart Structures and Materials + Nondestructive Evaluation and Health Monitoring, Active and Passive Smart Structures and Integrated Systems; SPIE: San Diego, CA, USA, 2010; Volume 76430X. [Google Scholar]
- Choi, Y.T.; Wereley, N.M. Self-powered magnetorheological dampers. J. Vib. Acoust. 2009, 131, 044501. [Google Scholar] [CrossRef]
- Scruggs, J.T.; Lattanzio, S.M.; Taanidis, A.A. Optimal causal control of a wave energy converter in a random sea. Appl. Ocean Res. 2013, 42, 1–15. [Google Scholar] [CrossRef]
- Rhinefrank, K.; Agamloh, E.B.; Von Jouanne, A.; Wallace, A.K.; Prudell, J.; Kimble, K.; Aills, J.; Schmidt, E.; Chan, P.; Sweeny, B.; et al. Novel ocean energy permanent magnet linear generator buoy. Renew. Energy 2006, 31, 1279–1298. [Google Scholar] [CrossRef]
- Masoumi, M.; Wang, Y. Repulsive magnetic levitation-based ocean wave energy harvester with variable resonance: Modeling, simulation and experiment. J. Sound Vib. 2016, 381, 192–205. [Google Scholar] [CrossRef]
- Zuo, L.; Tang, X. Large-scale vibration energy harvesting. J. Intell. Mater. Syst. Struct. 2013, 24, 1405–1430. [Google Scholar] [CrossRef]
- Saravia, C.M.; Ramirez, J.M.; Gatti, C.G. A hybrid numerical-analytical approach for modeling levitation based vibration energy harvesters. Sens. Actuators A Phys. 2017, 257, 20–29. [Google Scholar] [CrossRef]
- Munaz, A.; Lee, B.C.; Chuang, G.S. A study of an electromagnetic energy harvester using multi-pole magnet. Sens. Actuators A Phys. 2013, 201, 134–140. [Google Scholar] [CrossRef]
- Glynne-Jones, P.; Tudor, M.J.; Beeby, S.P.; White, N.M. An electromagnetic, vibration-powered generator for intelligent sensor systems. Sens. Actuators A Phys. 2004, 110, 344–349. [Google Scholar] [CrossRef]
- Stephen, N.G. On energy harvesting from ambient vibration. J. Sound Vib. 2006, 293, 409–425. [Google Scholar] [CrossRef]
- Camarano, A.; Neild, S.A.; Burrow, S.G.; Wagg, D.J.; Inman, D.J. Optimum resistive loads for vibration-based electromagnetic energy harvesters with a stittening nonlinearity. J. Intell. Mater. Syst. Struct. 2014, 25, 1757–1770. [Google Scholar] [CrossRef]
- Mann, B.P.; Sims, N.D. Energy harvesting from the nonlinear oscillations of magnetic levitation. J. Sound Vib. 2009, 319, 515–530. [Google Scholar] [CrossRef]
- Zhu, Y.; Zu, J.W.; Guo, L. A magnetoelectric generator for energy harvesting from the vibration of magnetic levitation. IEEE Trans. Magn. 2012, 48, 3344–3347. [Google Scholar] [CrossRef]
- Lee, H.; Noh, M.D.; Park, Y.W. Optimal design of electromagnetic energy harvester using analytic equations. IEEE Trans. Magn. 2017, 53, 8207605. [Google Scholar] [CrossRef]
- Bernal, A.G.A.; Garcia, L.E.L. The modelling of an electromagnetic energy harvesting architecture. Appl. Math. Model. 2012, 36, 4728–4741. [Google Scholar] [CrossRef]
- Dos Santos, M.P.S.; Ferreira, J.A.F.; Simoes, J.A.O.; Pascoal, R.; Torrao, J.; Xue, X.; Furlani, E.P. Magnetic levitation-based electromagnetic energy harvesting: A semi-analytical non-linear model for energy transduction. Sci. Rep. 2016, 6, 18579. [Google Scholar] [CrossRef]
- Saravia, M.M. On the electromechanical coupling in electromagnetic vibration energy harvesters. Mech. Syst. Signal Process. 2020, 136, 106027. [Google Scholar] [CrossRef]
- Kecik, K.; Mitura, A.; Lenci, S.; Warminski, J. Energy harvesting from a magnetic levitation system. Int. J. Non-Linear Mech. 2017, 94, 200–206. [Google Scholar] [CrossRef]
- Kecik, K. Architecture and optimization of a low-frequency maglev energy harvester. Int. J. Struct. Stab. 2019, 19, 1950097. [Google Scholar] [CrossRef]
- Berdy, D.F.; Valentino, D.J.; Peroulis, D. Design and optimization of a magnetically sprung block magnet vibration energy harvester. Sens. Actuators A Phys. 2014, 218, 69–79. [Google Scholar] [CrossRef]
- Constantinou, P.; Mellor, P.H.; Wilcox, P.D. A magnetically Sprung Generator for Energy Harvesting Applications. IEEE/ASME Trans. Mechatron. 2012, 17, 415–424. [Google Scholar] [CrossRef]
- Mosch, M.; Fischerauer, G. A comparison of methods to measure the coupling coefficient of electromagnetic vibration energy harvesters. Micromachines 2019, 10, 826. [Google Scholar] [CrossRef]
- Carneiro, P.; dos Santos, M.P.S.; Rodrigues, A.; Ferreira, J.A.F.; Simoes, J.A.O.; Torres Marques, A.; Kholkin, A.L. Electromagnetic energy harvesting using magnetic levitation architectures: A review. Appl. Energy 2020, 260, 114191. [Google Scholar] [CrossRef]
- Kecik, K. Dynamics and control of an active pendulum system. Int. J. Non-Linear Mech. 2015, 70, 63–67. [Google Scholar] [CrossRef]
- Kecik, K.; Mitura, A. Theoretical and experimental investigations of a pseudo-magnetic levitation system for energy harvesting. Sensors 2015, 20, 1623. [Google Scholar] [CrossRef]
- Doedel, E.; Oldeman, B. Dynamics: Auto-07p: Continuation and Bifurcation Software for Ordinary Differential Equations; Concordia University Montreal: Montreal, QC, Canada, 2012. [Google Scholar]
- Nusse, H.E.; Yorke, J.A.; Kostelich, J. Dynamics: Numerical Explorations; Springer: New York, NY, USA, 1994. [Google Scholar]















Publisher’s Note: MDPI stays neutral with regard to jurisdictional claims in published maps and institutional affiliations. |
© 2021 by the authors. Licensee MDPI, Basel, Switzerland. This article is an open access article distributed under the terms and conditions of the Creative Commons Attribution (CC BY) license (https://creativecommons.org/licenses/by/4.0/).
Share and Cite
Kecik, K.; Kowalczuk, M. Effect of Nonlinear Electromechanical Coupling in Magnetic Levitation Energy Harvester. Energies 2021, 14, 2715. https://doi.org/10.3390/en14092715
Kecik K, Kowalczuk M. Effect of Nonlinear Electromechanical Coupling in Magnetic Levitation Energy Harvester. Energies. 2021; 14(9):2715. https://doi.org/10.3390/en14092715
Chicago/Turabian StyleKecik, Krzysztof, and Marcin Kowalczuk. 2021. "Effect of Nonlinear Electromechanical Coupling in Magnetic Levitation Energy Harvester" Energies 14, no. 9: 2715. https://doi.org/10.3390/en14092715
APA StyleKecik, K., & Kowalczuk, M. (2021). Effect of Nonlinear Electromechanical Coupling in Magnetic Levitation Energy Harvester. Energies, 14(9), 2715. https://doi.org/10.3390/en14092715

