Measurement and Evaluation of the Defect Size in Soft Magnetic Composites Using Magnetic Field Inspections
Abstract
1. Introduction
2. Materials and Methods
2.1. Preparation of Samples
2.2. Magnetic Parameters
2.3. Defects
2.4. Measurements
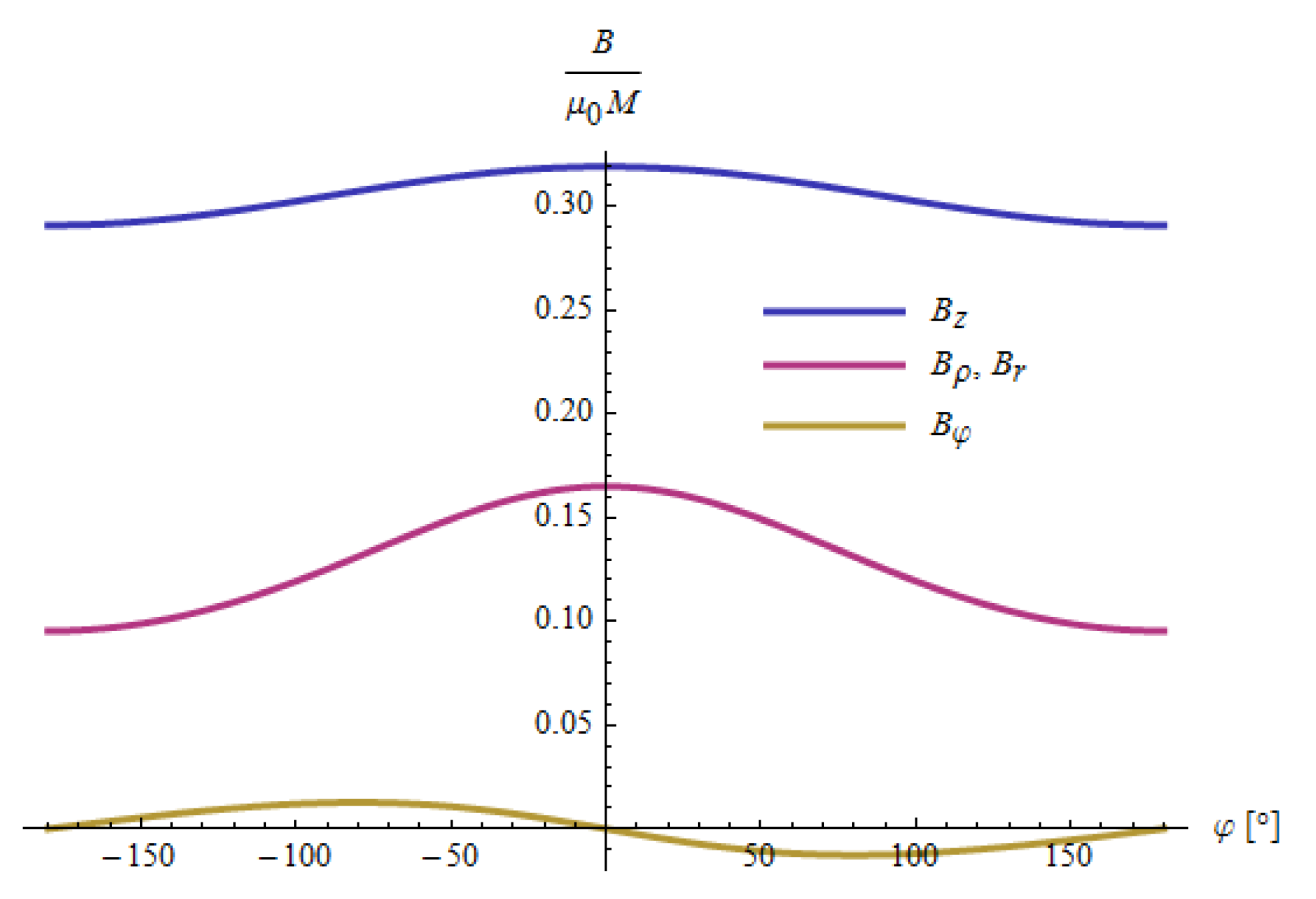
2.5. Governing Equations and Numerical Simulations
3. Results and Discussion
3.1. Simulation Results for Cylinder Shaped Holes
3.2. Measurement Results for Holes of Various Depths
3.3. Measurement Results for Holes of Various Diameters
3.4. Simulation Results for Cut Shaped Defect
3.5. Measurement Results for Cut Shaped Defect
3.6. Subsurface Defects
4. Conclusions
- The method allows for detection of both considered types of defects of different sizes on the surface and at different depths.
- Differences in surface sizes are more strongly reflected in the magnetic field images than defects of varying depths; therefore, it is easier to diagnose the surface size of the defect than its depth.
- The non-uniformity of the magnetic field and the possible presence of tangent components of the field have a great influence on the peak shapes over the defects; even small irregularities and small values of the tangential components cause asymmetry of the magnetic field distribution around the defect and the formation of larger field peaks near the defect. This should be considered as a positive effect by increasing the contrast of the flux outflow in the defect area.
- Shallow subsurface defects can be also detected, but the masking effect of magnetic bulk can hide the defect if it is sufficiently deep and small, or its magnetic properties are not sufficiently different from those of the bulk.
Author Contributions
Funding
Institutional Review Board Statement
Informed Consent Statement
Data Availability Statement
Conflicts of Interest
References
- Gholizadeh, S. A review of non-destructive testing methods of composite materials. Procedia Struct. Integr. 2016, 1, 50–57. [Google Scholar] [CrossRef]
- Seifi, M.; Gorelik, M.; Waller, J.; Hrabe, N.; Shamsaei, N.; Daniewicz, S.; Lewandowski, J.J. Progress towards metal additive manufacturing standardization to support qualification and certification. JOM 2017, 69, 439–455. [Google Scholar] [CrossRef]
- Hufenbach, W.; Böhm, R.; Thieme, M.; Tyczynski, T. Damage monitoring in pressure vessels and pipelines based on wireless sensor networks. Procedia Eng. 2011, 10, 340–345. [Google Scholar] [CrossRef]
- Jandejsek, I.; Jakubek, J.; Jakubek, M.; Prucha, P.; Krejci, F.; Soukup, P.; Zemlicka, J. X-ray inspection of composite materials for aircraft structures using detectors of Medipix type. J. Instrum. 2014, 9, C05062. [Google Scholar] [CrossRef]
- Fotsing, E.R.; Ross, A.; Ruiz, E. Characterization of surface defects on composite sandwich materials based on deflectrometry. NDT E Int. 2014, 62, 29–39. [Google Scholar] [CrossRef]
- Ramesh, P.; Lenin, N.C. High power density electrical machines for electric vehicles—Comprehensive review based on material technology. IEEE Trans. Magn. 2019, 55, 1–21. [Google Scholar] [CrossRef]
- Xu, W.; Duan, N.; Wang, S.; Guo, Y.; Zhu, J. Modeling and measurement of magnetic hysteresis of soft magnetic composite materials under different magnetizations. IEEE Trans. Ind. Electron. 2016, 64, 2459–2467. [Google Scholar] [CrossRef]
- Schoppa, A.; Delarbre, P. Soft magnetic powder composites and potential applications in modern electric machines and devices. IEEE Trans. Magn. 2014, 50, 1–4. [Google Scholar] [CrossRef]
- Wang, B.; Zhong, S.; Lee, T.L.; Fancey, K.S.; Mi, J. Non-destructive testing and evaluation of composite materials/structures: A state-of-the-art review. Adv. Mech. Eng. 2020, 12, 1–28. [Google Scholar] [CrossRef]
- Dwivedi, S.K.; Vishwakarma, M.; Soni, A. Advances and researches on non destructive testing: A review. Mater. Today Proc. 2018, 5, 3690–3698. [Google Scholar] [CrossRef]
- Jolly, M.R.; Prabhakar, A.; Sturzu, B.; Hollstein, K.; Singh, R.; Thomas, S.; Shaw, A. Review of non-destructive testing (NDT) techniques and their applicability to thick walled composites. Procedia CIRP 2015, 38, 129–136. [Google Scholar] [CrossRef]
- Dudzik, S.; Jakubas, A. Diagnostics of the Fe-based soft magnetics composites using active thermography. In Proceedings of the 2018 International Conference on Diagnostics in Electrical Engineering (Diagnostika), Předměstí, Czechia, 4–7 September 2018; pp. 1–4. [Google Scholar] [CrossRef]
- AbdAlla, A.N.; Faraj, M.A.; Samsuri, F.; Rifai, D.; Ali, K.; Al-Douri, Y. Challenges in improving the performance of eddy current testing. Meas. Control 2019, 52, 46–64. [Google Scholar] [CrossRef]
- Shi, Y.; Zhang, C.; Li, R.; Cai, M.; Jia, G. Theory and application of magnetic flux leakage pipeline detection. Sensors 2015, 15, 31036–31055. [Google Scholar] [CrossRef] [PubMed]
- Tessarolo, A.; Mezzarobba, M.; Menis, R. Modeling, analysis, and testing of a novel spoke-type interior permanent magnet motor with improved flux weakening capability. IEEE Trans. Magn. 2015, 51, 1–10. [Google Scholar] [CrossRef]
- Boero, G.; Demierre, M.; Popovic, R.S. Micro-Hall devices: Performance, technologies and applications. Sens. Actuators A 2003, 106, 314–320. [Google Scholar] [CrossRef]
- Smith, R.A.; Harrison, D.J. Hall sensor arrays for rapid large-area transient eddy current inspection. Insight-Non-Destr. Test. Cond. Monit. 2004, 46, 142–146. [Google Scholar] [CrossRef]
- Janousek, L.; Stubendekova, A.; Smetana, M. Novel insight into swept frequency eddy-current non-destructive evaluation of material defects. Measurement 2018, 116, 246–250. [Google Scholar] [CrossRef]
- Kosmas, K.; Sargentis, C.; Tsamakis, D.; Hristoforou, E. Non-destructive evaluation of magnetic metallic materials using Hall sensors. J. Mater. Process. Technol. 2005, 161, 359–362. [Google Scholar] [CrossRef]
- Jakubas, A. Diagnostics of the Fe-based composites using a magnetic field camera. In 2019 Progress in Applied Electrical Engineering (PAEE); IEEE: Piscataway, NJ, USA, 2019. [Google Scholar] [CrossRef]
- Jakubas, A.; Gębara, P.; Seme, S.; Gnatowski, A.; Chwastek, K. Magnetic Properties of SMC Cores Produced at a Low Compacting Temperature. Acta Phys. Pol. A 2017, 131, 1289–1293. [Google Scholar] [CrossRef]
- REMACOMP® C General Specification, Magnet-physik, Dr Steingroever GmbH. Available online: https://www.magnet-physik.de/upload/21278626-Remacomp-C-e-3153.pdf (accessed on 7 May 2021).
- Vervaeke, K. 6D magnetic field distribution measurements of permanent magnets with magnetic field camera scanner. In Proceedings of the 2015 5th International Electric Drives Production Conference (EDPC), Nuremberg, Germany, 15–16 September 2015; pp. 1–4. [Google Scholar] [CrossRef]
- Nishio, T.; Chen, Q.; Gillijns, W.; De Keyser, K.; Vervaeke, K.; Moshchalkov, V. Scanning Hall probe microscopy of vortex patterns in a superconducting microsquare. Phys. Rev. B 2008, 77, 012502. [Google Scholar] [CrossRef]
- Caciagli, A.; Baars, R.J.; Philipse, A.P.; Kuiper, B.W. Exact expression for the magnetic field of a finite cylinder with arbitrary uniform magnetization. J. Magn. Magn. Mater. 2018, 456, 423–432. [Google Scholar] [CrossRef]
- Zhao, B.; Yao, K.; Wu, L.; Li, X.; Wang, Y.S. Application of Metal Magnetic Memory Testing Technology to the Detection of Stress Corrosion Defect. Appl. Sci. 2020, 10, 7083. [Google Scholar] [CrossRef]
- Zatsepin, N.; Shcherbinin, V. Calculation of the magnetostatic field of surface defects. I. Field topography of defect models. Defektoskopiya 1966, 5, 50–59. [Google Scholar]
- Dutta, S.M.; Ghorbel, F.H.; Stanley, R.K. Dipole modeling of magnetic flux leakage. IEEE Trans. Magn. 2009, 45, 1959–1965. [Google Scholar] [CrossRef]
- Jakubas, A. Non-destructive study of the homogeneity of the structure of magnetically soft composites. Przeglad Elektrotech. 2021, 97, 136–139. [Google Scholar] [CrossRef]




























| Depth (mm) | 2 | 3 | 4 | 5 | 6 | 7 |
| Bmin (mT) | 160.7 | 161.1 | 163.2 | 157.9 | 154.3 | 142.3 |
| Angle (°) | 141 | 89 | 27 | 326 | 270 | 205 |
| Diameter (mm) | 2 | 3 | 4 | 5 |
| Bmin (mT) | 148.1 | 144.8 | 140.3 | 132.2 |
| Angle (°) | 180 | 94 | 357 | 262 |
| Position (°) | 190 | 194 | 197 |
| B (T) | 0.1972 | 0.1743 | 0.2065 |
Publisher’s Note: MDPI stays neutral with regard to jurisdictional claims in published maps and institutional affiliations. |
© 2021 by the authors. Licensee MDPI, Basel, Switzerland. This article is an open access article distributed under the terms and conditions of the Creative Commons Attribution (CC BY) license (https://creativecommons.org/licenses/by/4.0/).
Share and Cite
Jakubas, A.; Jabłoński, P. Measurement and Evaluation of the Defect Size in Soft Magnetic Composites Using Magnetic Field Inspections. Energies 2021, 14, 2694. https://doi.org/10.3390/en14092694
Jakubas A, Jabłoński P. Measurement and Evaluation of the Defect Size in Soft Magnetic Composites Using Magnetic Field Inspections. Energies. 2021; 14(9):2694. https://doi.org/10.3390/en14092694
Chicago/Turabian StyleJakubas, Adam, and Paweł Jabłoński. 2021. "Measurement and Evaluation of the Defect Size in Soft Magnetic Composites Using Magnetic Field Inspections" Energies 14, no. 9: 2694. https://doi.org/10.3390/en14092694
APA StyleJakubas, A., & Jabłoński, P. (2021). Measurement and Evaluation of the Defect Size in Soft Magnetic Composites Using Magnetic Field Inspections. Energies, 14(9), 2694. https://doi.org/10.3390/en14092694

