Novel Shape-Stabilized Phase Change Material with Cascade Character: Synthesis, Performance and Shaping Evaluation
Abstract
1. Introduction
2. Materials and Methods
2.1. Materials
2.2. Methodology
2.2.1. Blends Synthesis
2.2.2. Characterization Techniques
2.2.3. 3D Printing Set Up
3. Results
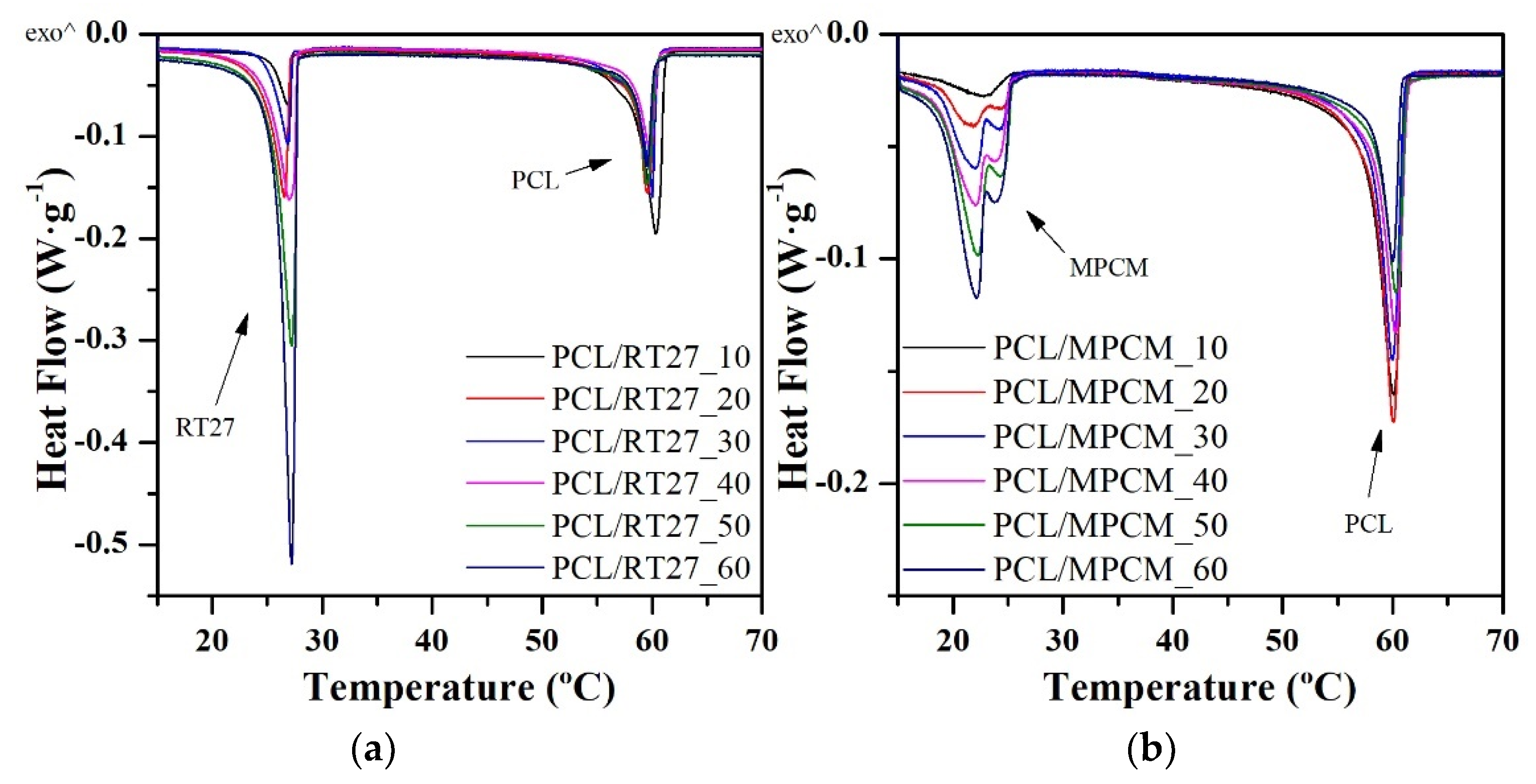
3.1. Thermal Characterization
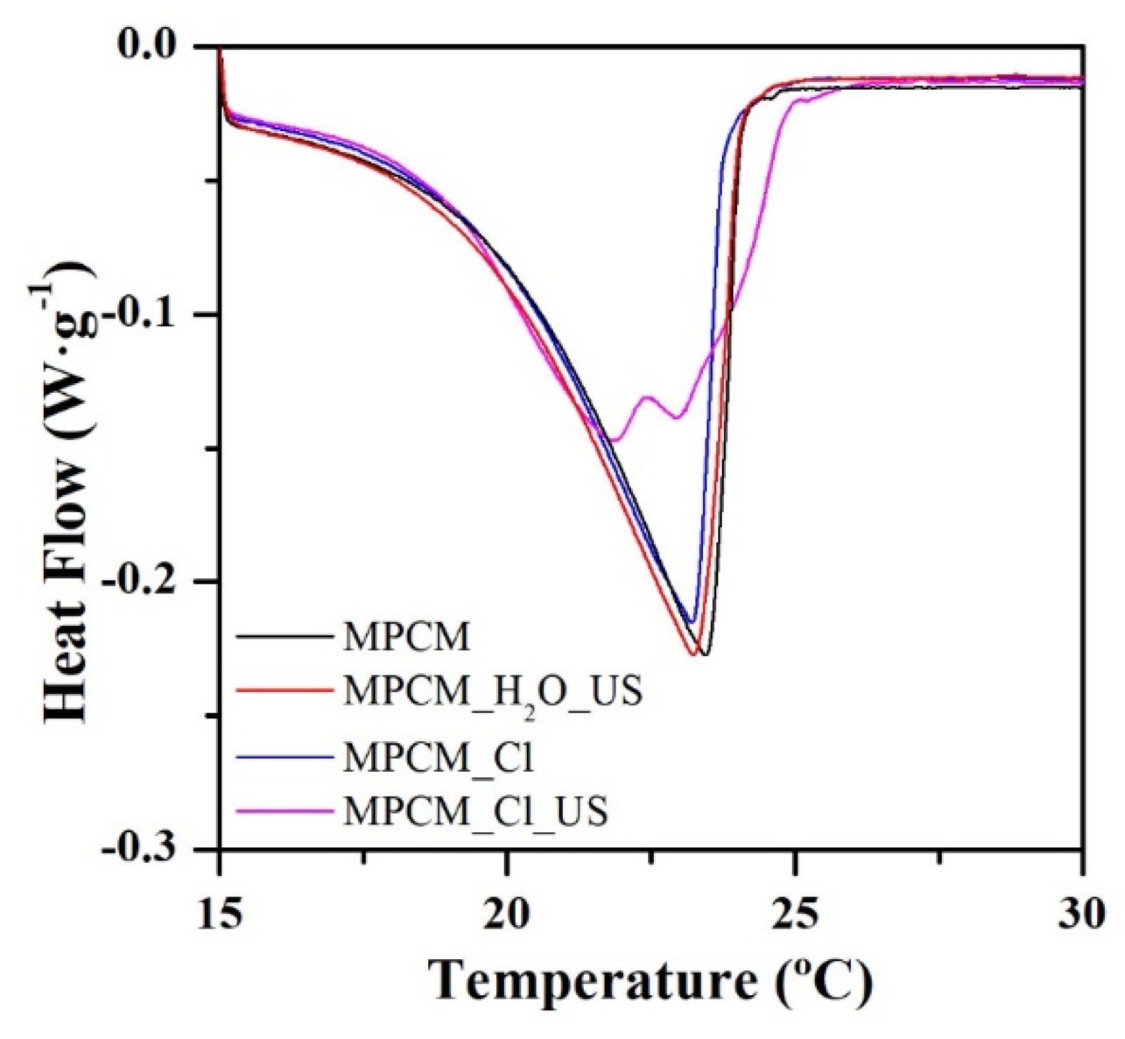
3.2. Thermal Stability
3.2.1. RT27/PCL
3.2.2. MPCM/PCL
3.2.3. 3D Printing
4. Conclusions
Author Contributions
Funding
Institutional Review Board Statement
Informed Consent Statement
Data Availability Statement
Conflicts of Interest
References
- IEA. (IEA) Report, Global Energy & CO2 Status Report 2018 the Latest Trends in Energy and Emissions in 2018; IEA: Paris, France, 2018. [Google Scholar]
- Putra, N.; Rawi, S.; Amin, M.; Kusrini, E.; Kosasih, E.A.; Mahlia, T.M.I. Preparation of beeswax/multi-walled carbon nanotubes as novel shape-stable nanocomposite phase-change material for thermal energy storage. J. Energy Storage 2019, 21, 32–39. [Google Scholar] [CrossRef]
- Zhu, N.; Li, S.; Hu, P.; Wei, S.; Deng, R.; Lei, F. A review on applications of shape-stabilized phase change materials embedded in building enclosure in recent ten years. Sustain. Cities Soc. 2018, 43, 251–264. [Google Scholar] [CrossRef]
- Barreneche, C.; Fernández, A.I.; Niubó, M.; Chimenos, J.M.; Espiell, F.; Segarra, M.; Solé, C.; Cabeza, L.F. Development and characterization of new shape-stabilized phase change material (PCM)—Polymer including electrical arc furnace dust (EAFD), for acoustic and thermal comfort in buildings. Energy Build. 2013, 61, 210–214. [Google Scholar] [CrossRef]
- Fabiani, C.; Piselli, C.; Pisello, A. Thermo-optic durability of cool roof membranes: Effect of shape stabilized phase change material inclusion on building energy efficiency. Energy Build. 2020, 207, 109592. [Google Scholar] [CrossRef]
- Barreneche, C.; Navarro, L.; de Gracia, A.; Fernández, A.I.; Cabeza, L.F. In situ thermal and acoustic performance and environmental impact of the introduction of a shape-stabilized PCM layer for building applications. Renew. Energy 2016, 85, 281–286. [Google Scholar] [CrossRef]
- Lai, W.-C.; Cai, Y.-T.; Cai, Y.-L. Novel green and sustainable shape-stabilized phase change materials for thermal energy storage. J. Taiwan Inst. Chem. Eng. 2020, 117, 257–264. [Google Scholar] [CrossRef]
- Ma, B.; Adhikari, S.; Chang, Y.; Ren, J.; Liu, J.; You, Z. Preparation of composite shape-stabilized phase change materials for highway pavements. Constr. Build. Mater. 2013, 42, 114–121. [Google Scholar] [CrossRef]
- Cárdenas-Ramírez, C.; Jaramillo, F.; Gómez, M. Systematic review of encapsulation and shape-stabilization of phase change materials. J. Energy Storage 2020, 30, 101495. [Google Scholar] [CrossRef]
- Abdeali, G.; Bahramian, A.R.; Abdollahi, M. Review on Nanostructure Supporting Material Strategies in Shape-stabilized Phase Change Materials. J. Energy Storage 2020, 29, 101299. [Google Scholar] [CrossRef]
- Qu, Y.; Wang, S.; Tian, Y.; Zhou, D. Comprehensive evaluation of Paraffin-HDPE shape stabilized PCM with hybrid carbon nano-additives. Appl. Therm. Eng. 2019, 163, 114404. [Google Scholar] [CrossRef]
- Wang, Z.; Situ, W.; Li, X.; Zhang, G.; Huang, Z.; Yuan, W.; Yang, C.; Yang, C. Novel shape stabilized phase change material based on epoxy matrix with ultrahigh cycle life for thermal energy storage. Appl. Therm. Eng. 2017, 123, 1006–1012. [Google Scholar] [CrossRef]
- Narasimhan, N.L. Assessment of latent heat thermal storage systems operating with multiple phase change materials. J. Energy Storage 2019, 23, 442–455. [Google Scholar] [CrossRef]
- Shamsi, H.; Boroushaki, M.; Geraei, H. Performance evaluation and optimization of encapsulated cascade PCM thermal storage. J. Energy Storage 2017, 11, 64–75. [Google Scholar] [CrossRef]
- Michels, H.; Pitz-Paal, R. Cascaded latent heat storage for parabolic trough solar power plants. Sol. Energy 2007, 81, 829–837. [Google Scholar] [CrossRef]
- Peiró, G.; Gasia, J.; Miró, L.; Cabeza, L.F. Experimental evaluation at pilot plant scale of multiple PCMs (cascaded) vs. single PCM configuration for thermal energy storage. Renew. Energy 2015, 83, 729–736. [Google Scholar] [CrossRef]
- Lewis, A.J.; Gratson, G.M. Direct writing in three dimensions. Mater. Today 2004, 7, 32–39. [Google Scholar] [CrossRef]
- Hon, K.K.B.; Li, L.; Hutchings, I.M. Direct writing technology—Advances and developments. CIRP Ann. 2008, 57, 601–620. [Google Scholar] [CrossRef]
- Horn, T.J.; Harrysson, O.L.A. Overview of Current Additive Manufacturing Technologies and Selected Applications. Sci. Prog. 2012, 95, 255–282. [Google Scholar] [CrossRef] [PubMed]
- Daly, A.C.; Cunniffe, G.M.; Sathy, B.N.; Jeon, O.; Alsberg, E.; Kelly, D.J. 3D Bioprinting of Developmentally Inspired Templates for Whole Bone Organ Engineering. Adv. Health Mater. 2016, 5, 2353–2362. [Google Scholar] [CrossRef]
- Granta Design. CES EduPack. 2020. Available online: https://grantadesign.com/education/ces-edupack/ (accessed on 18 April 2021).
- Barreneche, C.; Solé, A.; Miró, L.; Martorell, I.; Fernández, A.I.; Cabeza, L.F. New methodology developed for the differential scanning calorimetry analysis of polymeric matrixes incorporating phase change materials. Meas. Sci. Technol. 2012, 23, 085606. [Google Scholar] [CrossRef]
- Barreneche, C.; Solé, A.; Miró, L.; Martorell, I.; Fernandez, A.I.; Cabeza, L.F. Study on differential scanning calorimetry analysis with two operation modes and organic and inorganic phase change material (PCM). Thermochim. Acta 2013, 553, 23–26. [Google Scholar] [CrossRef]
- Lazaro, A.; Peñalosa, C.; Solé, A.; Diarce, G.; Haussmann, T.; Fois, M.; Zalba, B.; Gshwander, S.; Cabeza, L.F. Intercomparative tests on phase change materials characterisation with differential scanning calorimeter. Appl. Energy 2013, 109, 415–420. [Google Scholar] [CrossRef]
- Elzein, T.; Nasser-Eddine, M.; Delaite, C.; Bistac, S.; Dumas, P. FTIR study of polycaprolactone chain organization at interfaces. J. Colloid Interface Sci. 2004, 273, 381–387. [Google Scholar] [CrossRef]
- Zain, N.M.; Ahmad, S.H.; Ali, E.S.; Zubir, S.A.; Ahad, N.A. Characteristics of Hydrolysis Resistant Polycaprolactone/Palm Kernel Oil Based Polyol. Adv. Mater. Res. 2012, 576, 334–337. [Google Scholar] [CrossRef]
- Kweon, D.-K.; Kawasaki, N.; Nakayama, A.; Aiba, S. Preparation and characterization of starch/polycaprolactone blend. J. Appl. Polym. Sci. 2004, 92, 1716–1723. [Google Scholar] [CrossRef]
- Barreneche, C.; Vecstaudza, J.; Bajare, D.; Fernandez, A. PCM/wood composite to store thermal energy in passive building envelopes. IOP Conf. Ser. Mater. Sci. Eng. 2017, 251, 012111. [Google Scholar] [CrossRef]
- Giro-Paloma, J.; Barreneche, C.; Delgado, M.; Martinez, M.; Fernandez, A.I.; Cabeza, L.F. Physicochemical and Thermal Study of a MPCM of PMMA Shell and Paraffin Wax as a Core. Energy Procedia 2014, 48, 347–354. [Google Scholar] [CrossRef]














| Material | Melting Enthalpy (J·g−1) | Melting Temperature (°C) |
|---|---|---|
| PCL | 78 | 60.62 |
| RT27 | 148 | 26.84 |
| MPCM | 63 | 23.43 |
| Reference | wt.% | Reference | wt.% | ||
|---|---|---|---|---|---|
| PCL | RT27 | PCL | MPCM | ||
| PCL/RT27_10 | 90 | 10 | PCL/MPCM_10 | 90 | 10 |
| PCL/RT27_20 | 80 | 20 | PCL/MPCM_20 | 80 | 20 |
| PCL/RT27_30 | 70 | 30 | PCL/MPCM_30 | 70 | 30 |
| PCL/RT27_40 | 60 | 40 | PCL/MPCM_40 | 60 | 40 |
| PCL/RT27_50 | 50 | 50 | PCL/MPCM_50 | 50 | 50 |
| PCL/RT27_60 | 40 | 60 | PCL/MPCM_60 | 40 | 60 |
Publisher’s Note: MDPI stays neutral with regard to jurisdictional claims in published maps and institutional affiliations. |
© 2021 by the authors. Licensee MDPI, Basel, Switzerland. This article is an open access article distributed under the terms and conditions of the Creative Commons Attribution (CC BY) license (https://creativecommons.org/licenses/by/4.0/).
Share and Cite
Salgado-Pizarro, R.; Padilla, J.A.; Xuriguera, E.; Barreneche, C.; Fernández, A.I. Novel Shape-Stabilized Phase Change Material with Cascade Character: Synthesis, Performance and Shaping Evaluation. Energies 2021, 14, 2621. https://doi.org/10.3390/en14092621
Salgado-Pizarro R, Padilla JA, Xuriguera E, Barreneche C, Fernández AI. Novel Shape-Stabilized Phase Change Material with Cascade Character: Synthesis, Performance and Shaping Evaluation. Energies. 2021; 14(9):2621. https://doi.org/10.3390/en14092621
Chicago/Turabian StyleSalgado-Pizarro, Rebeca, Jose Antonio Padilla, Elena Xuriguera, Camila Barreneche, and Ana Inés Fernández. 2021. "Novel Shape-Stabilized Phase Change Material with Cascade Character: Synthesis, Performance and Shaping Evaluation" Energies 14, no. 9: 2621. https://doi.org/10.3390/en14092621
APA StyleSalgado-Pizarro, R., Padilla, J. A., Xuriguera, E., Barreneche, C., & Fernández, A. I. (2021). Novel Shape-Stabilized Phase Change Material with Cascade Character: Synthesis, Performance and Shaping Evaluation. Energies, 14(9), 2621. https://doi.org/10.3390/en14092621

