Analysis of Potential of Raising Forces Acting on Electroadhesive Pads Depending on Polarization and Supply Parameters
Abstract
1. Introduction
2. Measurement System
- Voltage converter with rectifier—Villard cascade for positive voltage and separately for negative voltage was built using the Diodec Semiconductor BY16-DIO rectifier diodes and the VISHAY 1500 pF/10 kV high voltage ceramic capacitor.
- The generator and H-bridge were made by ourselves based on an evaluation module with an MSP-EXP430F5529 microcontroller from Texas Instruments. The module was used as a source of the PWM signal. In addition, an H-bridge was used to strengthen the signal from the generator—built with MOSFETs (Metal-Oxide Semiconductor Field-Effect Transistor): IRFP250 from STMicroelectronics.
- The measuring and control module was built with the Arduino Uno module with an AVR ATmega328 microcontroller from Microchip and an additional evaluation module with the MSP-EXP430G2553 microcontroller from Texas Instruments. The Arduino module was responsible for data acquisition from the strain gauge: NA27 3kG (30N) SES-03543. The module with the MSP430 controlled the stepper motor through the A4988 Stepper Motor Driver Carrier module from Pololu.
- Low Voltage Power Supply—A self-built regulated switching power supply controlled from a PC using an evaluation module with an MSP-EXP430FR2355 microcontroller from Texas Instruments, which has analog comparator circuits and AD/DA converters as well as a PWM circuit. These circuits were used to regulate the output voltage of the power supply, in conjunction with an H-bridge module with IRFP250 transistors from STMicroelectronics. The MSP430 module of the power supply additionally controlled the high voltage relay, which was constructed from DAT711215F reed switches from Cynergy3.
3. Measurement Algorithm
4. Description of Experiment
5. Conclusions
Author Contributions
Funding
Institutional Review Board Statement
Informed Consent Statement
Data Availability Statement
Conflicts of Interest
References
- Vankov, A.B.; Huie, P.; Blumenkranz, M.S.; Palanker, D.V. Electroadhesive forceps for tissue manipulation. In Proceedings of the Ophthalmic Technologies XIV Conference, San Jose, CA, USA, 13 July 2004; Volume 5314, pp. 270–275. [Google Scholar]
- Berengueres, J.; Urago, M.; Saito, S.; Tadakuma, K.; Meguro, H. Gecko inspired electrostatic chuck. In Proceedings of the 2006 IEEE International Conference on Robotics and Biomimetics, ROBIO 2006, Kunming, China, 17–20 December 2006; pp. 1018–1023. [Google Scholar]
- Cao, C.; Sun, X.; Fang, Y.; Qin, Q.; Yu, A.; Feng, X. Theoretical model and design of electroadhesive pad with interdigitated electrodes. Mater. Des. 2016, 89, 485–491. [Google Scholar] [CrossRef]
- Saito, S.; Soda, F.; Dhelika, R.; Takahashi, K.; Takarada, W.; Kikutani, T. Compliant electrostatic chuck based on hairy microstructure. Smart Mater. Struct. 2013, 22, 015019. [Google Scholar] [CrossRef]
- Dhelika, R.; Sawai, K.; Takahashi, K.; Takarada, W.; Kikutani, T.; Saito, S. Electrostatic chuck consisting of polymeric electrostatic inductive fibers for handling of objects with rough surfaces. Smart Mater. Struct. 2013, 22, 095010. [Google Scholar] [CrossRef]
- Téllez, J.P.D.; Krahn, J.; Menon, C. Characterization of Electro-adhesives for Robotic Applications. In Proceedings of the IEEE International Conference on Robotics and Biomimetics, Karon Beach, Thailand, 7–11 December 2011; pp. 1867–1872. [Google Scholar]
- Xiang, C.; Guo, J.; Rossiter, J. ContinuumEA: A soft continuum electroadhesive manipulator. In Proceedings of the 2018 IEEE International Conference on Robotics and Biomimetics (ROBIO), Kuala Lumpur, Malaysia, 12–15 December 2018; pp. 2473–2478. [Google Scholar]
- Guo, J.; Bamber, T.; Zhao, Y.; Chamberlain, M.; Justham, L.; Jackson, M. Toward adaptive and intelligent electroadhesives for robotic material handling. IEEE Robot. Autom. Lett. 2016, 2, 538–545. [Google Scholar] [CrossRef]
- Yamamoto, A.; Nakashima, T.; Higuchi, T. Wall Climbing Mechanisms Using Electrostatic Attraction Generated by Flexible Electrodes. In Proceedings of the International Symposium on Micro-Nano Me2chatronics and Human Science 2007, Nagoya, Japan, 11–14 November 2007; pp. 389–394. [Google Scholar]
- Prahlad, H.; Pelrine, R.; Stanford, S.; Marlow, J.; Kornbluh, R. Electroadhesive Robots-Wall Climbing Robots Enabled by A Novel, Robust, and Electrically Controllable Adhesion Technology. In Proceedings of the 2008 IEEE International Conference on Robotics and Automation, Pasadena, CA, USA, 19–23 May 2008; pp. 3028–3033. [Google Scholar]
- Pawashe, C.; Floyd, S.; Sitti, M. Multiple magnetic microrobot control using electrostatic anchoring. Appl. Phys. Lett. 2009, 94, 164108. [Google Scholar] [CrossRef]
- Graule, M.; Chirarattananon, P.; Fuller, S.; Jafferis, N.; Spenko, M.; Kornbluh, R.; Wood, R. Perching and takeoff of a robotic insect on overhangs using switchable electrostatic adhesion. Science 2014, 352, 978–982. [Google Scholar] [CrossRef]
- Wang, H.; Yamamoto, A.; Higuchi, T. Electrostatic-Motor-Driven Electroadhesive Robot. In Proceedings of the 2012 IEEE/RSJ International Conference on Intelligent Robots and Systems, Vilamoura, Portugal, 7–12 October 2012; pp. 914–919. [Google Scholar]
- Liu, R.; Chen, R.; Shen, H.; Zhang, R. Wall climbing robot using electrostatic adhesion force generated by flexible interdigital electrodes. Int. J. Adv. Rob. Syst. 2013, 10, 1–9. [Google Scholar] [CrossRef]
- Wang, H.; Yamamoto, A. A Thin Electroadhesive Inchworm Climbing Robot Driven by An Electrostatic Film Actuator for Inspection in A Narrow Gap. In Proceedings of the 2013 IEEE International Symposium on Safety, Security and Rescue Robotics, Linkoping, Sweden, 21–26 October 2013; pp. 1–6. [Google Scholar]
- Koh, K.H.; Chetty, R.M.K.; Ponnambalam, S.G. Modeling and Simulation of Electrostatic Adhesion for Wall Climbing Robot. In Proceedings of the 2011 IEEE International Conference on Robotics and Biomimetics, Phuket, Thailand, 7–11 December 2011; pp. 2031–2036. [Google Scholar]
- Derjaguin, B.V.; Churaev, N.V.; Muller, M.V. Surface Forces; Springer: Boston, MA, USA, 1987. [Google Scholar]
- Kendall, K. Molecular Adhesion and Its Applications: The Sticky Universe; Kluwer Academic/Plenum Publishers: New York, NY, USA, 2001. [Google Scholar]
- Johnson, K.L.; Kendall, K.; Roberts, A.D. Surface energy and the contact of elastic solids. Proc. R. Soc. Lond. A 1971, 324, 301–313. [Google Scholar]
- Derjaguin, B.V.; Muller, V.M.; Toporov, Y.P. Effect of contact deformations on the adhesion of particles. J. Colloid Interface Sci. 1975, 53, 314–326. [Google Scholar] [CrossRef]
- Derjaguin, B. Untersuchungen uber die Reibung und Adhasion, IV. Theorie des Anhaftens kleiner Teilchen. Kolloid Z. 1934, 69, 155–164. [Google Scholar] [CrossRef]
- Borodich, F.M. The Hertz-type and adhesive contact problems for depth-sensing indentation. Adv. Appl. Mech. 2014, 47, 225–366. [Google Scholar]
- Muller, V.M.; Yushchenko, V.; Derjaguin, B.V. On the influence of molecular forces on the deformation of an elastic sphere and its sticking to a rigid plane. J. Colloid Interface Sci. 1980, 77, 91–101. [Google Scholar] [CrossRef]
- Maugis, D. Contact, Adhesion and Rupture of Elastic Solids; Springer: Berlin, Germany, 2000. [Google Scholar]
- Guo, J.; Tailor, M.; Bamber, T.; Chamberlain, M.; Justham, L.; Jackson, M. Investigation of relationship between interfacial The Sq between the attracted material and the electroadhesive pad will also be investigated. J. Phys. D Appl. Phys. 2016, 49, 035303. [Google Scholar] [CrossRef]
- Guo, J.; Bamber, T.; Hovell, T.; Chamberlain, M.; Justham, L.; Jackson, M. Geometric optimisation of electroadhesive actuators based on 3D electrostatic simulation and its experimental verification. IFAC—PapersOnLine 2016, 49, 309–315. [Google Scholar] [CrossRef]
- Kalus, W.; Nagi, Ł.; Zygarlicki, J. The pull-off test of different materials using electroadhesive pads. Przegląd Elektrotechniczny 2020, 96, 41–44. [Google Scholar] [CrossRef]








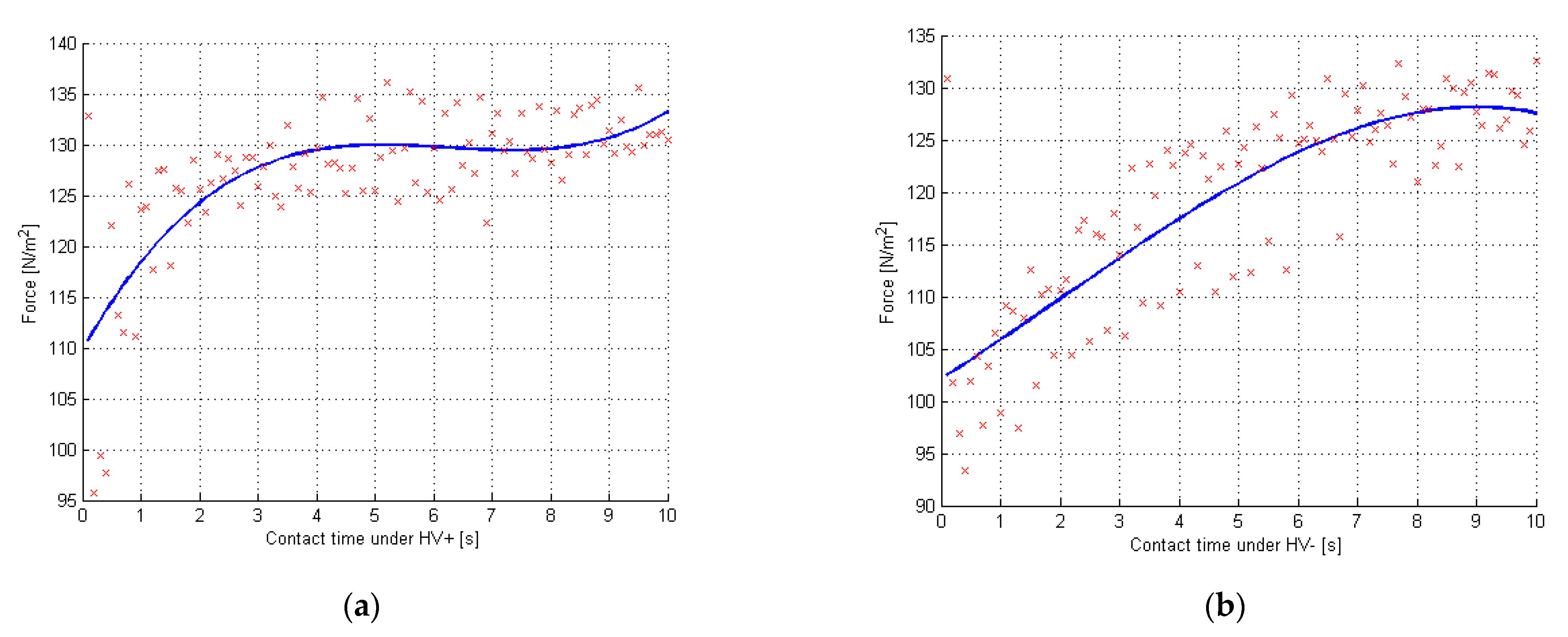
| Name | Polarization | Min (N/m2) | Max (N/m2) |
|---|---|---|---|
| Experiment I Contact time under HV | HV+ | 94 | 136 |
| HV− | 94 | 134 | |
| Experiment II Depolarization HV time | HV+ | 78 | 135 |
| HV− | 65 | 132 | |
| Experiment III Voltage | HV+ | 3 | 135 |
| HV− | 4 | 132 |
Publisher’s Note: MDPI stays neutral with regard to jurisdictional claims in published maps and institutional affiliations. |
© 2021 by the authors. Licensee MDPI, Basel, Switzerland. This article is an open access article distributed under the terms and conditions of the Creative Commons Attribution (CC BY) license (https://creativecommons.org/licenses/by/4.0/).
Share and Cite
Kalus, W.; Nagi, Ł.; Zygarlicki, J. Analysis of Potential of Raising Forces Acting on Electroadhesive Pads Depending on Polarization and Supply Parameters. Energies 2021, 14, 2517. https://doi.org/10.3390/en14092517
Kalus W, Nagi Ł, Zygarlicki J. Analysis of Potential of Raising Forces Acting on Electroadhesive Pads Depending on Polarization and Supply Parameters. Energies. 2021; 14(9):2517. https://doi.org/10.3390/en14092517
Chicago/Turabian StyleKalus, Wiktoria, Łukasz Nagi, and Jarosław Zygarlicki. 2021. "Analysis of Potential of Raising Forces Acting on Electroadhesive Pads Depending on Polarization and Supply Parameters" Energies 14, no. 9: 2517. https://doi.org/10.3390/en14092517
APA StyleKalus, W., Nagi, Ł., & Zygarlicki, J. (2021). Analysis of Potential of Raising Forces Acting on Electroadhesive Pads Depending on Polarization and Supply Parameters. Energies, 14(9), 2517. https://doi.org/10.3390/en14092517

