Proportional-Integral Controllers Performance of a Grid-Connected Solar PV System with Particle Swarm Optimization and Ziegler–Nichols Tuning Method
Abstract
1. Introduction
2. Model of PV Power Plant
2.1. Solar Cell
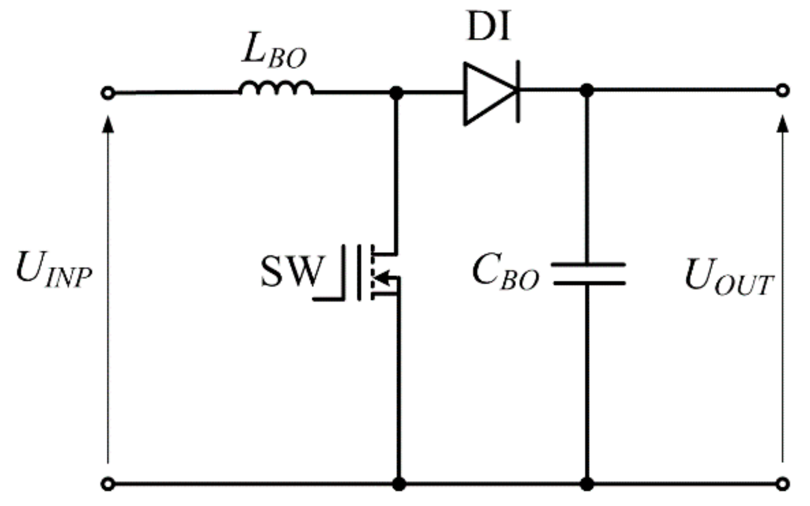
2.2. Boost Converter with MPPT
2.3. VOC and LCL Filter
3. Open and Closed-Loop Operation
4. Controller Tuning
- (1)
- to hold its inertia;
- (2)
- to adjust the solution particles’ position according to its most optimal position;
- (3)
- to adjust the solution particles’ position according to the swarm’s most optimal position.
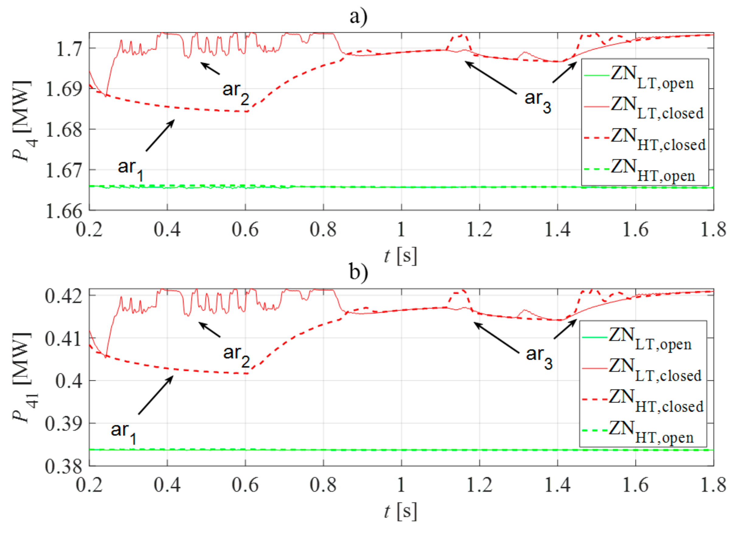
5. Results and Discussion
6. Conclusions
Author Contributions
Funding
Conflicts of Interest
Nomenclature
| PV | photovoltaic | 
| LCL | applied filter | 
| PSO | Particle Swarm Optimization | 
| ZN | Ziegler–Nichols | 
| PI | Proportional-Integral | 
| DC | direct current | 
| AC | alternating current | 
| VOC | voltage-oriented control | 
| PWM | pulse-width modulation | 
| MPPT | maximum power point tracker | 
| TR | transformer | 
| DI | diode | 
| SW | switch | 
| MPP | maximum power point | 
| Δ | winding of transformer connected in delta | 
| Y | winding of transformer connected in star | 
| PLL | phase-locked loop | 
| VSC | voltage source control | 
| HV | high-voltage | 
| M | measurement point | 
| MVL | medium-voltage line | 
| Ld | load | 
| RS | renewable source | 
| LT | lower-tuning | 
| HT | higher-tuning | 
| Quantities used in equations: | |
| ID | diode current | 
| Isat | diode saturation current | 
| q | electron charge | 
| U | diode voltage | 
| Qd | quality factor | 
| k | Boltzmann constant | 
| T | temperature | 
| LBO | inductor (boost converter) | 
| UOUT | output voltage | 
| UINP | input voltage | 
| ΔiL | desired inductor current ripple | 
| fS | switching frequency of boost converter | 
| D | duty cycle | 
| CBO | capacitor (boost converter) | 
| ΔuOUT | desired output voltage ripple | 
| iOUTmax | maximal output current | 
| x(t) | input signal | 
| y(t) | output signal | 
| Ki | integral part (controller) | 
| Kp | proportional gain (controller) | 
| V | velocity | 
| s | position | 
| i | number of particles | 
| R1, R2 | random numbers (PSO) | 
| c1, c2 | acceleration parameters (PSO) | 
| Pbest,i | best solution of particle i | 
| Gbest | best solution of all particles | 
References
- Ma, T.; Yang, H.; Lu, L. Solar photovoltaic system modeling and performance prediction. Renew. Sustain. Energy Rev. 2014, 36, 304–315. [Google Scholar] [CrossRef]
- Muneer, T.; Asif, M.; Kubie, J. Generation and transmission prospects for solar electricity: UK and global markets. Energy Conv. Manag. 2003, 44, 35–52. [Google Scholar] [CrossRef]
- Ahmad, G.E.; Hussein, H.M.S.; El-Ghetany, H.H. Theoretical analysis and experimental verification of PV modules. Renew. Energy 2003, 28, 1159–1168. [Google Scholar] [CrossRef]
- Ghani, Z.A.; Hannan, M.A.; Mohamed, A. Investigation of three-phase grid-connected inverter for photovoltaic application. Electr. Rev. 2012, 7, 8–13. [Google Scholar]
- Tyagi, V.; Rahim, N.A.; Rahim, N.; Jeyraj, A.; Selvaraj, L. Progress in solar PV technology: Research and achievement. Renew. Sustain. Energy Rev. 2013, 20, 443–461. [Google Scholar] [CrossRef]
- El-Adawi, M.K.; Al-Nuaim, I.A. The temperature functional dependence of VOC for a solar cell in relation to its eciency new approach. Desalination 2007, 209, 91–96. [Google Scholar] [CrossRef]
- Ellabban, O.; Abu-Rub, H.; Blaabjerg, F. Renewable energy resources: Current status, future prospects and their enabling technology. Renew. Sustain. Energy Rev. 2014, 39, 748–764. [Google Scholar] [CrossRef]
- Selvaraj, J.; Nasrudin, A.R. Multilevel inverter for grid-connected PV system employing digital PI controller. IEEE Trans. Ind. Electron. 2006, 56, 149–158. [Google Scholar] [CrossRef]
- Negi, P.; Pal, Y.; Leena, G. Stability enhancement of grid connected PV system using model reference adaptive controller. J. Inf. Opt. Sci. 2020, 41, 461–473. [Google Scholar]
- Eltawil, M.A.; Zhao, Z. Grid-connected photovoltaic power systems: Technical and potential problems—A review. Renew. Sustain. Energy Rev. 2010, 14, 112–129. [Google Scholar] [CrossRef]
- Ro, K.; Rahman, S. Two-loop controller for maximizing performance of a grid-connected photovoltaic-fuel cell hybrid power plant. IEEE Trans Energy Conv. 1998, 13, 276–281. [Google Scholar]
- Hato, M.M.; Bouallegue, S. Whale Optimization Algorithm for Active Damping of LCL-Filter-Based Grid-Connected Converters. Int. J. Renew. Res. 2019, 9, 986–996. [Google Scholar]
- Kabalcı, E. Review on novel single-phase grid-connected solar inverters: Circuits and control methods. Solar Energy 2020, 198, 247–274. [Google Scholar] [CrossRef]
- Khalifa, A.S.; El-Saadany, E.F. Control of three phase grid connected photovoltaic power systems. In Proceedings of the 14th International Conference on Harmonics and Quality of Power (ICHQP), Bergamo, Italy, 26–29 September 2010. [Google Scholar]
- Pyo, G.C.; Kang, H.W.; Moon, S.I. A new operation method for grid-connected PV system considering voltage regulation in distribution system. In Proceedings of the Power and Energy Society General Meeting-Conversion and Delivery of Electrical Energy in the 21st Century, Pittsburgh, PA, USA, 20–24 July 2008. [Google Scholar]
- Alam, M.J.E.; Kashem, M.M.; Sutanto, D. A multi-mode control strategy for VAr support by solar PV inverters in distribution networks. IEEE Trans. Power Syst. 2014, 30, 1316–1326. [Google Scholar] [CrossRef]
- Mohamed Hariri, M.H.; Mat Desa, M.K.; Masri, S.; Mohd Zainuri, M.A.A. Grid-Connected PV Generation System—Components and Challenges: A Review. Energies 2020, 13, 4279. [Google Scholar] [CrossRef]
- Qi, Y.; Jia, H. Research on a new voltage control strategy for photovoltaic grid-connected system. In Proceedings of the International Conference on Electrical Machines and Systems, Beijing, China, 20–23 August 2011. [Google Scholar]
- Dezelak, K.; Bracinik, P.; Hoger, M.; Otcenasova, A. Comparison between the particle swarm optimisation and differential evolution approaches for the optimal proportional-integral controllers design during photovoltaic power plants modelling. IET. Renew. Power Gen. 2016, 10, 522–530. [Google Scholar] [CrossRef]
- Naderipour, A.; Asuhaimi, M.Z.A.; Bin Habibuddin, M.H.; Miveh, M.R.; Guerrero, J.M. An improved synchronous reference frame current control strategy for a photovoltaic grid-connected inverter under unbalanced and nonlinear load conditions. PLoS ONE 2017, 12, e0164856. [Google Scholar] [CrossRef]
- Mohsen, H.; Karimi, H.; Mokhtari, H. Harmonic and negative-sequence current control in an islanded multi-bus MV microgrid. IEEE Trans. Smart Grid 2013, 5, 167–176. [Google Scholar]
- Qing-Chang, Z.; Hornik, T. Cascaded current–voltage control to improve the power quality for a grid-connected inverter with a local load. IEEE Trans. Ind. Electron. 2012, 60, 1344–1355. [Google Scholar]
- Li, J.; Samavatian, V. Energy management for a grid-connected PV-inverter with a novel power loss mitigation functionality in distributed networks. Comp. Electron. Eng. 2020, 87, 106769. [Google Scholar] [CrossRef]
- Chen, T.H.; Huang, W.T.; Gu, G.C.; Hsu, Y.H.; Guo, T.Y. Feasibility Study of Upgrading Primary Feeders from Radial and Open-Loop to Narmally Closed-Loop Arrangement. IEEE Trans. Power Syst. 2004, 19, 1308–1316. [Google Scholar] [CrossRef]
- Huang, W.T.; Chen, T.H. Assessment of upgrading existing primary feeders from radial to normally closed loop arrangement. In Proceedings of the Transmission and Distribution Conference and Exhibition, Yokohama, Japan, 6–10 October 2002. [Google Scholar]
- Štumberger, G.; Deželak, K.; Rošer, M.; Škof, R.; Kastelic, T. Medium-voltage distribution feeders in open-loop and closed-loop arrangement. In Proceedings of the International Conference on Renewable Energies and Power Quality (ICREPQ), Santiago de Compostela, Spain, 28–30 March 2012. [Google Scholar]
- Štumberger, G.; Deželak, K.; Rošer, M.; Škof, R.; Kastelic, T. Medium-voltage distribution feeders in closed-loop arrangement–neutral point grounding. In Proceedings of the International Conference on Renewable Energies and Power Quality (ICREPQ), Bilbao, Spain, 20–22 March 2013. [Google Scholar]
- Jirapong, P.; Bunchoo, P.; Thararak, P.; Supannon, A.; Burana, S. Effect of upgrading primary feeders from radial to loop arrangement on electrical distribution system performance. In Proceedings of the 12th International Conference on Electrical Engineering/Electronics, Computer, Telecommunications and Information Technology (ECTI-CON), Hua Hin, Thailand, 24–26 June 2015. [Google Scholar]
- Deželak, K.; Rošer, M.; Škof, R.; Kastelic, T.; Štumberger, G. The impact of feeders in closed-loop arrangement on harmonic distortion and power losses. In Proceedings of the International Conference on Renewable Energies and Power Quality (ICREPQ), Bilbao, Spain, 20–22 March 2013. [Google Scholar]
- Villalva, M.G.; Gazoli, J.R.; Filho, E.R. Comprehensive approach to modeling and simulation of photovoltaic arrays. IEEE Trans. Power Electron. 2009, 24, 1198–1208. [Google Scholar] [CrossRef]
- Valker, G.R.; Senia, P.C. Cascaded DC-DC converter connection of photovoltaic modules. IEEE Trans. Power Electron. 2004, 19, 1130–1139. [Google Scholar]
- Texas Instruments. Basic calculation of a boost converter’s power stage. In Application Report-Low Power DC/DC Application, SLVA372C; Texas Instruments Incorporated: Dallas, TX, USA, 2009. [Google Scholar]
- Agamy, M.S.; Harfman-Todorovic, M.; Elasser, A.; Sabate, J.A.; Steigerwald, R.L.; Jiang, Y.; Essakiappan, S. DC-DC converter topology assessment for large scale distributed photovoltaic plant architectures. In Energy Conversion Congress and Exposition; IEEE: Phoenix, AZ, USA, 2011. [Google Scholar]
- Sabarish, P.; Sneha, R.; Vijayalakshmi, G.; Nikethan, D. Performance Analysis of PV- Based Boost Converter using PI Controller with PSO Algorithm. J. Sci. Technol. 2018, 3, 17–24. [Google Scholar]
- Liserre, M.; Blaabjerg, F.; Hansen, S. Design and control of an LCL-filter based three-phase active rectifier. IEEE Trans. Ind. Appl. 2005, 41, 1281–1291. [Google Scholar] [CrossRef]
- Ahmed, K.H.; Finney, S.J.; Williams, B.W. Passive filter design for three-phase inverter interfacing in distributed generation. Electron. Power Qual. Util. 2007, 8, 49–58. [Google Scholar]
- Romdhane, M.S.; Naouar, M.W.; Belkhodja, I.S.; Monmasson, E. Robust active damping methods for LCL filter-based grid-connected converters. IEEE Trans. Power Electron. 2017, 32, 6739–6750. [Google Scholar] [CrossRef]
- Tang, Y.; Loh, P.C.; Wang, P.; Choo, F.H.; Gao, F. Exploring inherent damping characteristic of LCL-filters for three-phase grid-connected voltage source inverters. IEEE Trans. Power Electron. 2011, 27, 1433–1443. [Google Scholar] [CrossRef]
- Wang, Z.; Zeng, H.; Sarlioglu, B. Analysis of Modulation Schemes for Balanced Inverter. In Proceedings of the Transportation Electrification Conference & Expo (ITEC), Chicago, IL, USA, 23–26 June 2020. [Google Scholar]
- Antoniewicz, P. Predictive Control of three Phase AC/DC Converters. Ph.D. Thesis, Faculty of Electrical Engineering, Warsaw University of Technology, Warsaw, Poland, 2009. [Google Scholar]
- Kazmierkowski, M.P.; Malesani, L. Current control techniques for three-phase voltage-source pwm converters: A survey. IEEE Trans. Ind. Electron. 1998, 45, 691–703. [Google Scholar] [CrossRef]
- Anto, E.K.; Asumadu, J.A.; Okyere, P.Y. PID Control for improving P&O-MPPT performance of a grid-connected solar PV system with Ziegler-Nichols tuning method. In Proceedings of the International Conference on Industrial Electronics and Applications (ICIEA), Hefei, China, 5–7 June 2016. [Google Scholar]
- Anula, K.; Rangnekar, S. A review of particle swarm optimization and its applications in solar photovoltaic system. Appl. Soft Comp. 2013, 13, 2997–3006. [Google Scholar]
- Arya, L.D.; Titare, L.S.; Kothari, D.P. Improved particle swarm optimization applied to reactive power reserve maximization. Int. J. Electr. Power Energy Syst. 2010, 32, 368–374. [Google Scholar] [CrossRef]















| PSO | ZN—HT | ZN—LT | 
|---|---|---|
| 99.67 1 | 97.02 1 | 58.36 1 | 
| 99.12 2 | 93.31 2 | 56.01 2 | 
| PSO | ZN—HT | ZN—LT | 
|---|---|---|
| 99.48 1 | 97.60 1 | 41.25 1 | 
| 98.87 2 | 96.54 2 | 38.20 2 | 
| PSO | ZN—HT | ZN—LT | 
|---|---|---|
| 99.80 1 | 96.55 1 | 97.44 1 | 
| 99.80 2 | 91.31 2 | 97.80 2 | 
| Publisher’s Note: MDPI stays neutral with regard to jurisdictional claims in published maps and institutional affiliations. | 
© 2021 by the authors. Licensee MDPI, Basel, Switzerland. This article is an open access article distributed under the terms and conditions of the Creative Commons Attribution (CC BY) license (https://creativecommons.org/licenses/by/4.0/).
Share and Cite
Deželak, K.; Bracinik, P.; Sredenšek, K.; Seme, S. Proportional-Integral Controllers Performance of a Grid-Connected Solar PV System with Particle Swarm Optimization and Ziegler–Nichols Tuning Method. Energies 2021, 14, 2516. https://doi.org/10.3390/en14092516
Deželak K, Bracinik P, Sredenšek K, Seme S. Proportional-Integral Controllers Performance of a Grid-Connected Solar PV System with Particle Swarm Optimization and Ziegler–Nichols Tuning Method. Energies. 2021; 14(9):2516. https://doi.org/10.3390/en14092516
Chicago/Turabian StyleDeželak, Klemen, Peter Bracinik, Klemen Sredenšek, and Sebastijan Seme. 2021. "Proportional-Integral Controllers Performance of a Grid-Connected Solar PV System with Particle Swarm Optimization and Ziegler–Nichols Tuning Method" Energies 14, no. 9: 2516. https://doi.org/10.3390/en14092516
APA StyleDeželak, K., Bracinik, P., Sredenšek, K., & Seme, S. (2021). Proportional-Integral Controllers Performance of a Grid-Connected Solar PV System with Particle Swarm Optimization and Ziegler–Nichols Tuning Method. Energies, 14(9), 2516. https://doi.org/10.3390/en14092516
 
         
                                                



 
       