Double-String Battery System with Reconfigurable Cell Topology Operated as a Fast Charging Station for Electric Vehicles †
Abstract
1. Introduction
- The paper proposes a novel design of a double-string battery system with reconfigurable cell topology. The BESS is operated as a fast charging station for EVs and serves as a buffer to reduce the impact of charging processes on the grid.
- A modelling approach for this BESS is presented in detail, with particular focus on the reconfigurable design. The model description includes a controlling algorithm that decides on the connection state of each individual cell.
- The model is used to demonstrate how the BESS can control the power transfer to an EV by changing its cell topology in a real-time fashion. The performance of this approach is compared to the requirements defined in charging standard IEC61851-23, and limitations of the technology are discussed.
- The capability of the BESS to maintain balanced cell states is assessed for both charging and discharging processes. In this respect, the losses caused by the reconfigurable design are estimated for both strings.
2. System Design
3. Methodology
3.1. BESS Model
3.2. EV Model
3.3. Inverter Model
4. Case Study
4.1. BESS Settings
4.2. EV Settings
4.3. Inverter Settings
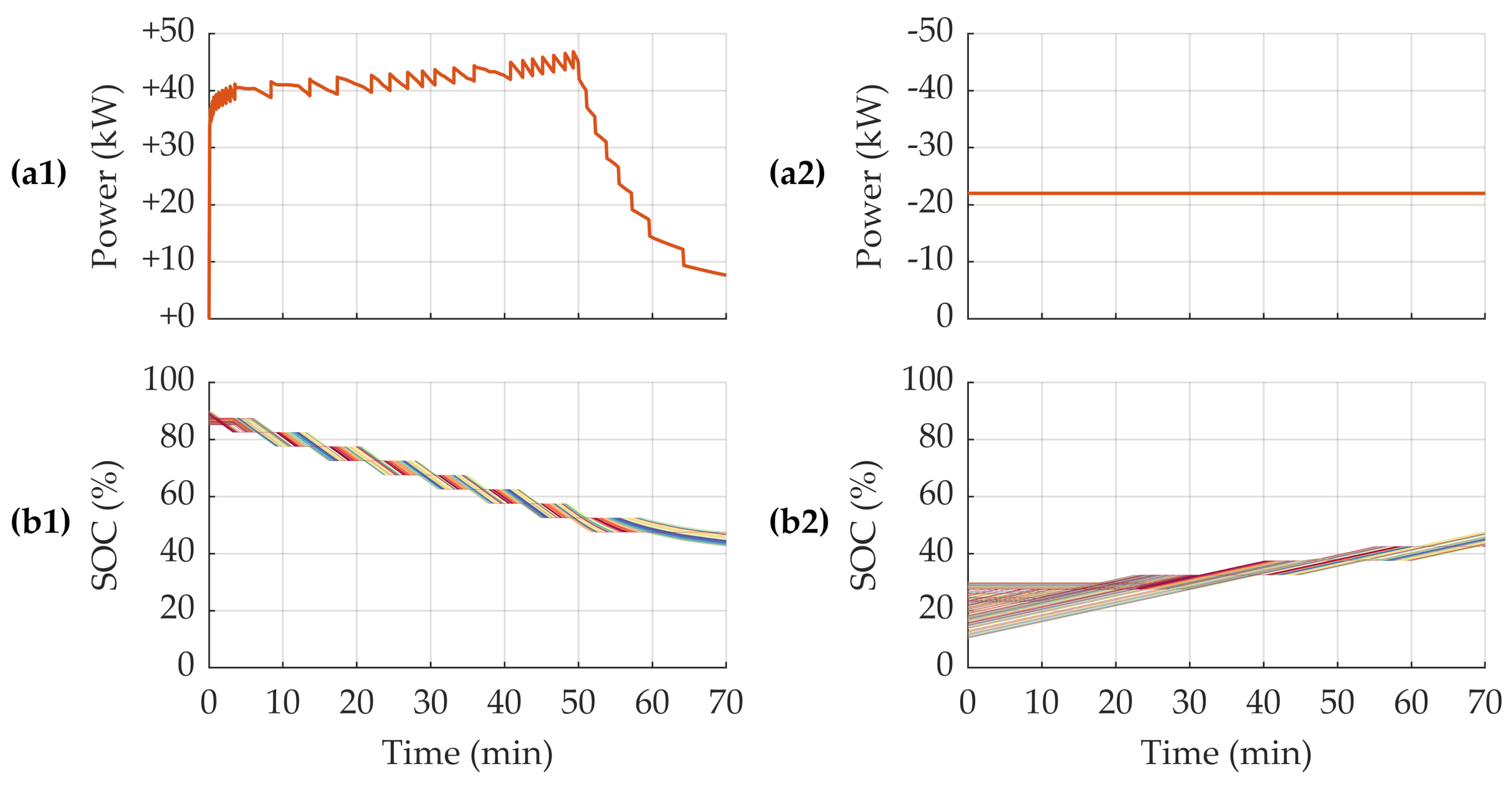
5. Results
5.1. EV Charging
5.2. SOC Balancing
5.3. System Efficiency
6. Discussion
7. Conclusions
Author Contributions
Funding
Conflicts of Interest
Abbreviations
| Abbreviations | |
| AGM | Absorbed glass mat |
| BESS | Battery energy storage system |
| BMS | Battery management system |
| EV | Electric vehicle |
| LFP | Lithium iron phosphate |
| LTO | Lithium titanate oxide |
| MOSFET | Metal–oxide–semiconductor |
| field-effect transistor | |
| PV | Photovoltaics |
| SOC | State-of-charge |
| Symbols | |
| C | Capacity (Ah) |
| I | Current (A) |
| N | Number of cells (-) |
| P | Power (W) |
| R | Resistance () |
| State-of-charge (%) | |
| t | Time (s) |
| V | Voltage (V) |
| Connection state (1/0) | |
| Difference (-) | |
| Efficiency (%) | |
| Symbol Indices | |
| batt | EV battery |
| cell | BESS cell |
| i | Cell number |
| init | Initial value |
| max | Maximum value |
| min | Minimum value |
| mos | MOSFET |
| nom | Nominal value |
| oc | Open-circuit |
| ref | Reference value |
| str | BESS string |
References
- Kasten, P.; Bracker, J.; Haller, M.; Purwanto, J. Assessing the Status of Electrification of the Road Transport Passenger Vehicles and Potential Future Implications for the Environment and European Energy System; Specific Contract under Framework Contract EEA/ACC/13/003, Lot-1. Final report—Task 2; OEKO-Institut, Transport & Mobility Leuven, TNO, Trinomics: Berlin, Germany, 2016. [Google Scholar]
- Brand, C.; Cluzel, C.; Anable, J. Modeling the uptake of plug-in vehicles in a heterogeneous car market using a consumer segmentation approach. Transp. Res. Part A Policy Pract. 2017, 97, 121–136. [Google Scholar] [CrossRef]
- Zhang, Q.; Li, H.; Zhu, L.; Campana, P.E.; Lu, H.; Wallin, F.; Sun, Q. Factors influencing the economics of public charging infrastructures for EV—A review. Renew. Sustain. Energy Rev. 2018, 94, 500–509. [Google Scholar] [CrossRef]
- Wolbertus, R.; den Hoed, R.V. Electric Vehicle Fast Charging Needs in Cities and along Corridors. World Electr. Veh. J. 2019, 10, 45. [Google Scholar] [CrossRef]
- Simpson, M.; Markel, T. Plug-in electric vehicle fast charge station operational analysis with integrated renewables. In Proceedings of the International Battery, Hybrid and Fuel Cell Electric Vehicle Symposium 26 (EVS26), Los Angeles, CA, USA, 6–9 May 2012; pp. 1–8. [Google Scholar]
- Mauri, G.; Valsecchi, A. Fast charging stations for electric vehicle: The impact on the mv distribution grids of the milan metropolitan area. In Proceedings of the 2012 IEEE International Energy Conference and Exhibition (ENERGYCON), Florence, Italy, 9–12 September 2012; pp. 1055–1059. [Google Scholar] [CrossRef]
- Dharmakeerthi, C.H.; Nadarajah, M.; Mithulananthan, T. Impact of electric vehicle fast charging on power system voltage stability. Int. J. Electr. Power Energy Syst. 2014, 57, 241–249. [Google Scholar] [CrossRef]
- Bryden, T.S.; Hilton, G.; Dimitrov, B.; de León, C.P.; Cruden, A. Rating a Stationary Energy Storage System Within a Fast Electric Vehicle Charging Station Considering User Waiting Times. IEEE Trans. Transp. Electrif. 2019, 5, 879–889. [Google Scholar] [CrossRef]
- Simone, D.D.; Piegari, L. Integration of stationary batteries for fast charge EV charging stations. Energies 2019, 12, 24. [Google Scholar] [CrossRef]
- Mahfouz, M.M.; Iravani, M.R. Grid-Integration of Battery-Enabled DC Fast Charging Station for Electric Vehicles. IEEE Trans. Energy Convers. 2020, 35, 375–385. [Google Scholar] [CrossRef]
- Vasiladiotis, M.; Rufer, A. A Modular Multiport Power Electronic Transformer With Integrated Split Battery Energy Storage for Versatile Ultrafast EV Charging Stations. IEEE Trans. Ind. Electron 2015, 62, 3213–3222. [Google Scholar] [CrossRef]
- Gjelaj, M.; Hashemi, S.; Traeholt, C.; Andersen, P.B. Grid integration of DC fast-charging stations for EVs by using modular li-ion batteries. IET Gener. Transm. Distrib. 2018, 12, 4368–4376. [Google Scholar] [CrossRef]
- Sbordone, D.; Bertini, I.; Pietra, B.D.; Falvo, M.C.; Genovese, A.; Martirano, L. EV fast charging stations and energy storage technologies: A real implementation in the smart micro grid paradigm. Electr. Power Syst. Res. 2015, 120, 96–108. [Google Scholar] [CrossRef]
- Negarestani, S.; Fotuhi-Firuzabad, M.; Rastegar, M.; Rajabi-Ghahnavieh, A. Optimal Sizing of Storage System in a Fast Charging Station for Plug-in Hybrid Electric Vehicles. IEEE Trans. Transp. Electrif. 2016, 2, 443–453. [Google Scholar] [CrossRef]
- DNV GL. DNVGL-RP-0043 Safety, Operation and Performance of Grid-Connected Energy Storage Systems. DNV GL, Recommended Practice Report DNVGL-RP-0043. 2017. Available online: https://rules.dnvgl.com/docs/pdf/DNVGL/RP/2017-09/DNVGL-RP-0043.pdf (accessed on 22 February 2021).
- Ci, S.; Lin, N.; Wu, D. Reconfigurable Battery Techniques and Systems: A Survey. IEEE Access 2016, 4, 1175–1189. [Google Scholar] [CrossRef]
- Gallardo-Lozano, J.; Romero-Cadaval, E.; Milanes-Montero, M.I.; Guerrero-Martinez, M.A. Battery Equalization Active Methods. J. Power Sources 2014, 246, 934–949. [Google Scholar] [CrossRef]
- Morstyn, T.; Momayyezan, M.; Hredzak, B.; Agelidis, V.G. Distributed Control for State-of-Charge Balancing Between the Modules of a Reconfigurable Battery Energy Storage System. IEEE Trans. Power Electron. 2016, 31, 7986–7995. [Google Scholar] [CrossRef]
- Ci, S.; Zhang, J.; Sharif, H.; Alahmad, M. A Novel Design of Adaptive Reconfigurable Multicell Battery for Power-Aware Embedded Networked Sensing Systems. In Proceedings of the IEEE GLOBECOM 2007—IEEE Global Telecommunications Conference, Washington, DC, USA, 26–30 November 2007; pp. 1043–1047. [Google Scholar] [CrossRef]
- Muhammad, S.; Rafique, M.U.; Li, S.; Shao, Z.; Wang, Q.; Liu, X. Reconfigurable Battery Systems: A Survey on Hardware Architecture and Research Challenges. ACM Trans. Des. Autom. Electron. Syst. 2019, 24, 1–27. [Google Scholar] [CrossRef]
- Wei, Z.; Zhao, J.; He, H.; Ding, G.; Cui, H.; Liu, L. Future smart battery and management: Advanced sensing from external to embedded multi-dimensional measurement. J. Power Sources 2021, 489. [Google Scholar] [CrossRef]
- Engelhardt, J.; Gabderakhmanova, T.; Rohde, G.; Marinelli, M. Reconfigurable Stationary Battery with Adaptive Cell Switching for Electric Vehicle Fast-Charging. In Proceedings of the 2020 55th International Universities Power Engineering Conference (UPEC), Turin, Italy, 1–4 September 2020; pp. 1–6. [Google Scholar] [CrossRef]
- International Electrotechnical Commission (IEC). Electric Vehicle Conductive Charging System—Part 23: DC Electric Vehicle Charging Station; International Standard DS/EN 61851-23:2014/AC:2016; IEC: Geneva, Switzerland, 2016. [Google Scholar]
- International Electrotechnical Commission (IEC). Electric Vehicle Conductive Charging System—Part 24: Digital Communication between a DC EV Charging Station and an Electric Vehicle for Control of DC Charging; International Standard DS/EN 61851-24:2014; IEC: Geneva, Switzerland, 2014. [Google Scholar]
- Gabderakhmanova, T.; Engelhardt, J.; Zepter, J.M.; Sørensen, T.M.; Boesgaard, K.; Ipsen, H.H.; Marinelli, M. Demonstrations of DC Microgrid and Virtual Power Plant Technologies on the Danish Island of Bornholm. In Proceedings of the 2020 55th International Universities Power Engineering Conference (UPEC), Turin, Italy, 1–4 September 2020; pp. 1–6. [Google Scholar] [CrossRef]
- Sinopoly Battery. SP-LFP100AHA. Datasheet for SP-LFP100AHA Battery Cell. Available online: http://www.sinopolybattery.com/userfiles/files/SP-LFP100AHA.pdf (accessed on 18 January 2021).
- Vishay Siliconix. sira20dp. Datasheet for N-Channel 25 V (D-S) MOSFET. Available online: https://www.vishay.com/docs/76212/sira20dp.pdf (accessed on 21 February 2021).
- MATLAB, Version 9.7.0.1190202 (R2019b); The MathWorks Inc.: Natick, MA, USA, 2019.
- Anseán, D.; García, V.M.; González, M.; Viera, J.C.; Blanco, C.; Antuña, J.L. DC internal resistance during charge: Analysis and study on LiFePO4 batteries. In Proceedings of the 2013 World Electric Vehicle Symposium and Exhibition (EVS27), Barcelona, Spain, 17–20 November 2013; pp. 1–11. [Google Scholar] [CrossRef]
- Calearo, L.; Thingvad, A.; Marinelli, M. Validation of a Lumped Battery Model for Electric Vehicle Degradation Studies. Manuscript submitted for publication.
- Jeong, H.; Lee, H.; Liu, Y.; Kim, K.A. Review of Differential Power Processing Converter Techniques for Photovoltaic Applications. IEEE Trans. Energy Convers. 2019, 34, 351–360. [Google Scholar] [CrossRef]
- Lee, W.; Kim, J.; Lee, J.; Lee, I. Design of an Isolated DC/DC Topology With High Efficiency of Over 97% for EV Fast Chargers. IEEE Trans. Veh. Technol. 2019, 68, 11725–11737. [Google Scholar] [CrossRef]
- Hoffmann, F.; Pereira, T.; Liserre, M. Isolated DC/DC Multimode Converter with Energy Storage Integration for Charging Stations. In Proceedings of the 2020 IEEE Energy Conversion Congress and Exposition (ECCE), Detroit, MI, USA, 11–15 October 2020; pp. 633–640. [Google Scholar] [CrossRef]
- Wei, Z.; Meng, S.; Xiong, B.; Ji, D.; Tseng, K.J. Enhanced online model identification and state of charge estimation for lithium-ion battery with a FBCRLS based observer. Appl. Energy 2016, 181, 332–341. [Google Scholar] [CrossRef]
- Fotouhi, A.; Auger, D.J.; Propp, K.; Longo, S.; Wild, M. A review on electric vehicle battery modelling: From Lithium-ion toward Lithium–Sulphur. Renew. Sustain. Energy Rev. 2016, 56, 1008–1021. [Google Scholar] [CrossRef]











| Nominal cell capacity | 100 Ah | |
| Nominal cell voltage | V | |
| Maximum cell current | 200 A | |
| MOSFET resistance | mΩ | |
| Cells per string | 324 |
| Nominal battery capacity | Ah | |
| Nominal battery voltage | V | |
| Minimum battery voltage | 290 V | |
| Maximum battery voltage | 405 V | |
| Maximum ref. current (1C) | A |
Publisher’s Note: MDPI stays neutral with regard to jurisdictional claims in published maps and institutional affiliations. |
© 2021 by the authors. Licensee MDPI, Basel, Switzerland. This article is an open access article distributed under the terms and conditions of the Creative Commons Attribution (CC BY) license (https://creativecommons.org/licenses/by/4.0/).
Share and Cite
Engelhardt, J.; Zepter, J.M.; Gabderakhmanova, T.; Rohde, G.; Marinelli, M. Double-String Battery System with Reconfigurable Cell Topology Operated as a Fast Charging Station for Electric Vehicles. Energies 2021, 14, 2414. https://doi.org/10.3390/en14092414
Engelhardt J, Zepter JM, Gabderakhmanova T, Rohde G, Marinelli M. Double-String Battery System with Reconfigurable Cell Topology Operated as a Fast Charging Station for Electric Vehicles. Energies. 2021; 14(9):2414. https://doi.org/10.3390/en14092414
Chicago/Turabian StyleEngelhardt, Jan, Jan Martin Zepter, Tatiana Gabderakhmanova, Gunnar Rohde, and Mattia Marinelli. 2021. "Double-String Battery System with Reconfigurable Cell Topology Operated as a Fast Charging Station for Electric Vehicles" Energies 14, no. 9: 2414. https://doi.org/10.3390/en14092414
APA StyleEngelhardt, J., Zepter, J. M., Gabderakhmanova, T., Rohde, G., & Marinelli, M. (2021). Double-String Battery System with Reconfigurable Cell Topology Operated as a Fast Charging Station for Electric Vehicles. Energies, 14(9), 2414. https://doi.org/10.3390/en14092414

