Transformation of Sulfur during Co-Hydrothermal Carbonization of Coal Waste and Food Waste
Abstract
:1. Introduction
2. Materials and Methods
2.1. Materials
2.2. Methodology
2.2.1. Feedstocks Preprocessing
2.2.2. Co-HTC of FW and CW Blends
2.2.3. Analyzing Sulfur Forms
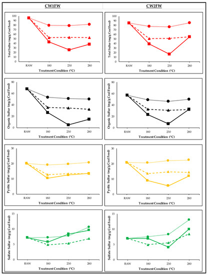
3. Results and Discussions
4. Conclusions
Author Contributions
Funding
Acknowledgments
Conflicts of Interest
References
- Saba, A.; Saha, P.; Reza, M.T. Co-Hydrothermal Carbonization of coal-biomass blend: Influence of temperature on solid fuel properties. Fuel Process. Technol. 2017, 167, 711–720. [Google Scholar] [CrossRef]
- Saqib, N.U.; Sarmah, A.K.; Baroutian, S. Effect of temperature on the fuel properties of food waste and coal blend treated under co-hydrothermal carbonization. Waste Manag. 2019, 89, 236–246. [Google Scholar] [CrossRef]
- Mazumder, S.; Saha, P.; Reza, M.T. Co-hydrothermal carbonization of coal waste and food waste: Fuel characteristics. Biomass Convers. Biorefinery 2020, 1–11. [Google Scholar] [CrossRef]
- Mazumder, S.; Saha, P.; McGaughy, K.; Saba, A.; Reza, M.T. Technoeconomic analysis of co-hydrothermal carbonization of coal waste and food waste. Biomass Convers. Biorefinery 2020, 1–11. [Google Scholar] [CrossRef]
- Calkins, W.H. The chemical forms of sulfur in coal: A review. Fuel 1994, 73, 475–484. [Google Scholar] [CrossRef]
- Meng, N.; Jiang, D.; Liu, Y.; Gao, Z.; Cao, Y.; Zhang, J.; Gu, J.; Han, Y. Sulfur transformation in coal during supercritical water gasification. Fuel 2016, 186, 394–404. [Google Scholar] [CrossRef]
- Zhong, P.; Huang, J.; Wu, H.; Zeng, W. Existing forms and transformation of S-functional groups of sewage sludge of different seasons by using XPS method. In Proceedings of the 2018 7th International Conference on Energy, Environment and Sustainable Development (ICEESD 2018), Shenzhen, China, 30–31 March 2018; Atlantis Press: Paris, France, 2018; pp. 1814–1818. [Google Scholar]
- Valluri, S.; Kawatra, S.K. Simultaneous removal of CO2, NOx and SOx using single stage absorption column. J. Environ. Sci. 2021, 103, 279–287. [Google Scholar] [CrossRef]
- Stokie, D.; Verma, P.; Kumfer, B.M.; Yablonsky, G.; Suresh, A.K.; Axelbaum, R.L. Pilot-scale testing of direct contact cooler for the removal of SOx and NOx from the flue gas of pressurized oxy-coal combustion. Chem. Eng. J. 2021, 414, 128757. [Google Scholar] [CrossRef]
- Xu, Y.; Liu, Y.; Bu, Y.; Chen, M.; Wang, L. Review on the ionic liquids affecting the desulfurization of coal by chemical agents. J. Clean. Prod. 2021, 284, 124788. [Google Scholar] [CrossRef]
- Timpe, R.; Mann, M.; Pavlish, J.; Louie, P. Organic sulfur and hap removal from coal using hydrothermal treatment. Fuel Process. Technol. 2001, 73, 127–141. [Google Scholar] [CrossRef]
- Favas, G.; Jackson, W.R. Hydrothermal dewatering of lower rank coals. 2. Effects of coal characteristics for a range of Australian and international coals. Fuel 2003, 82, 59–69. [Google Scholar] [CrossRef]
- Saha, N.; McGaughy, K.; Reza, M.T. Elucidating hydrochar morphology and oxygen functionality change with hydrothermal treatment temperature ranging from subcritical to supercritical conditions. J. Anal. Appl. Pyrolysis 2020, 152, 104965. [Google Scholar] [CrossRef]
- ASTM, D2492-02, Standard Test Method for Forms of Sulfur in Coal; ASTM International: West Conshohocken, PA, USA, 2002.
- Wu, J.; Liu, J.; Yuan, S.; Zhang, X.; Liu, Y.; Wang, Z.; Zhou, J. Sulfur transformation during hydrothermal dewatering of low rank coal. Energy Fuels 2015, 29, 6586–6592. [Google Scholar] [CrossRef]
- Huang, R.; Tang, Y.; Luo, L. Thermochemistry of sulfur during pyrolysis and hydrothermal carbonization of sewage sludges. Waste Manag. 2021, 121, 276–285. [Google Scholar] [CrossRef]
- Wang, Z.; Zhai, Y.; Wang, T.; Peng, C.; Li, S.; Wang, B.; Liu, X.; Li, C. Effect of temperature on the sulfur fate during hydrothermal carbonization of sewage sludge. Environ. Pollut. 2020, 260, 114067. [Google Scholar] [CrossRef]
- Wang, Z.; Li, Q.; Lin, Z.; Whiddon, R.; Qiu, K.; Kuang, M.; Cen, K. Transformation of nitrogen and sulphur impurities during hydrothermal upgrading of low quality coals. Fuel 2016, 164, 254–261. [Google Scholar] [CrossRef]
- Alvarez, R.; Clemente, C.; Gomez-Limon, D. The influence of nitric acid oxidation of low rank coal and its impact on coal structure. Fuel 2003, 82, 2007–2015. [Google Scholar] [CrossRef]
- Lynam, J.G.; Reza, M.T.; Yan, W.; Vásquez, V.R.; Coronella, C.J. Hydrothermal carbonization of various lignocellulosic biomass. Biomass Convers. Biorefinery 2015, 5, 173–181. [Google Scholar] [CrossRef]
- Li, P.-S.; Hu, Y.; Yu, W.; Yue, Y.-N.; Xu, Q.; Hu, S.; Hu, N.-S.; Yang, J. Investigation of sulfur forms and transformation during the co-combustion of sewage sludge and coal using X-ray photoelectron spectroscopy. J. Hazard. Mater. 2009, 167, 1126–1132. [Google Scholar] [CrossRef]
- Chen, Y.; Zhao, N.; Wu, Y.; Wu, K.; Wu, X.; Liu, J.; Yang, M. Distributions of organic compounds to the products from hydrothermal liquefaction of microalgae. Environ. Prog. Sustain. Energy 2017, 36, 259–268. [Google Scholar] [CrossRef]
- Lin, Y.; Ma, X.; Peng, X.; Hu, S.; Yu, Z.; Fang, S. Effect of hydrothermal carbonization temperature on combustion behavior of hydrochar fuel from paper sludge. Appl. Therm. Eng. 2015, 91, 574–582. [Google Scholar] [CrossRef]
- Zhuang, X.; Zhan, H.; Huang, Y.; Song, Y.; Yin, X.; Wu, C. Denitrification and desulphurization of industrial biowastes via hydrothermal modification. Bioresour. Technol. 2018, 254, 121–129. [Google Scholar] [CrossRef]
- Gryglewicz, G.; Jasieńko, S. The behaviour of sulphur forms during pyrolysis of low-rank coal. Fuel 1992, 71, 1225–1229. [Google Scholar] [CrossRef]
- Pels, J.R.; Kapteijn, F.; Moulijn, J.A.; Zhu, Q.; Thomas, K.M. Evolution of nitrogen functionalities in carbonaceous materials during pyrolysis. Carbon 1995, 33, 1641–1653. [Google Scholar] [CrossRef]
- Kelemen, S.R.; Vaughn, S.N.; Gorbaty, M.L.; Kwiatek, P.J. Transformation kinetics of organic sulphur forms in Argonne Premium coals during pyrolysis. Fuel 1993, 72, 645–653. [Google Scholar] [CrossRef]
- ToolBox, E. Solubility of Gases in Water; 2008. Available online: https://www.engineeringtoolbox.com/gases-solubility-water-d_1148.html (accessed on 8 March 2012).
- Saha, N.; Saba, A.; Reza, M.T. Effect of hydrothermal carbonization temperature on pH, dissociation constants, and acidic functional groups on hydrochar from cellulose and wood. J. Anal. Appl. Pyrolysis 2019, 137, 138–145. [Google Scholar] [CrossRef]



| Sample Name | Co-HTC Temperature (°C) | Sulfate Sulfur (mg/g Hydrochar) | Pyritic Sulfur (mg/g Hydrochar) | Organic Sulfur (mg/g Hydrochar) | Total Sulfur (mg/g Hydrochar) |
|---|---|---|---|---|---|
| CW1FW | 180 | 5.4 ± 0.5 | 9.8 ± 0.8 | 25.0 ± 1.7 | 40.2 ± 1.1 |
| 230 | 6.9 ± 1.1 | 10.4 ± 0.6 | 4.1 ± 1.1 | 21.4 ± 1.0 | |
| 280 | 8.1 ± 1.3 | 11.4 ± 0.7 | 12.6 ± 1.9 | 32.1 ± 1.5 | |
| CW2FW | 180 | 6.1 ± 0.6 | 7.9 ± 1.2 | 20.2 ± 1.5 | 34.2 ± 1.1 |
| 230 | 3.4 ± 1.2 | 4.6 ± 1.2 | 5.9 ± 1.4 | 13.9 ± 1.6 | |
| 280 | 8.6 ± 1.9 | 10.3 ± 2.1 | 28.1 ± 2.4 | 47.0 ± 1.2 |
Publisher’s Note: MDPI stays neutral with regard to jurisdictional claims in published maps and institutional affiliations. |
© 2021 by the authors. Licensee MDPI, Basel, Switzerland. This article is an open access article distributed under the terms and conditions of the Creative Commons Attribution (CC BY) license (https://creativecommons.org/licenses/by/4.0/).
Share and Cite
Saha, P.; Saha, N.; Mazumder, S.; Reza, M.T. Transformation of Sulfur during Co-Hydrothermal Carbonization of Coal Waste and Food Waste. Energies 2021, 14, 2271. https://doi.org/10.3390/en14082271
Saha P, Saha N, Mazumder S, Reza MT. Transformation of Sulfur during Co-Hydrothermal Carbonization of Coal Waste and Food Waste. Energies. 2021; 14(8):2271. https://doi.org/10.3390/en14082271
Chicago/Turabian StyleSaha, Pretom, Nepu Saha, Shanta Mazumder, and M. Toufiq Reza. 2021. "Transformation of Sulfur during Co-Hydrothermal Carbonization of Coal Waste and Food Waste" Energies 14, no. 8: 2271. https://doi.org/10.3390/en14082271
APA StyleSaha, P., Saha, N., Mazumder, S., & Reza, M. T. (2021). Transformation of Sulfur during Co-Hydrothermal Carbonization of Coal Waste and Food Waste. Energies, 14(8), 2271. https://doi.org/10.3390/en14082271

