Occupants’ Satisfaction toward Indoor Environment Quality of Platinum Green-Certified Office Buildings in Tropical Climate
Abstract
1. Introduction
2. Green Building Certification in Malaysia
3. Methodology
3.1. Case Study
3.2. Occupants’ Satisfaction Survey
3.3. Full-Scale Measurement of the Indoor Environment
3.4. Questionnaire Respondents
4. Results
4.1. Full-Scale Measurement of the Indoor Environment
4.2. Occupants’ Satisfaction with Indoor Environment Quality
4.3. Variation in Satisfaction between Buildings A and B
5. Discussion
Relationship between Overall IEQ Comfort and IEQ Variables
6. Conclusions
- The onsite monitoring of indoor environment parameters indicates general compliance of parameters with international standards as well as Malaysian standards. However, RH and illuminance level, particularly for building B, were found to be out of the suggested range of the standards.
- The results of the questionnaire survey indicated a general comfort (a mean score of 1.66 on a 7-point scale, −3 to +3) from overall IEQ for building A and a neutral feeling for occupants of building B (mean score of 0.58).
- Regarding the parameters of IEQ, the majority of occupants reported a comfortable or neutral feeling for overall thermal comfort, overall IAQ, overall acoustic, overall lighting, furniture comfort, and cleanliness.
- Most occupants reported being more productive and healthier in the buildings.
- Sources of dissatisfaction were identified to be cool air temperature and high relative humidity, especially with an extreme condition for building B. Besides, low air velocity resulted in stuffy or smelly air, which was reported to be another main source of dissatisfaction. Glare and noise from colleagues were also found to be the main sources of dissatisfaction.
- Finally, although both buildings have been awarded Platinum certificates, the results of the t-test show a statistically significant difference between the mean vote of occupants’ for IEQ variables, with higher satisfaction from building A.
Author Contributions
Funding
Institutional Review Board Statement
Informed Consent Statement
Data Availability Statement
Conflicts of Interest
List of Abbreviation
| Nomenclature | |
| a | Indoor Air (Ambient) |
| CO2 | Carbon Dioxide Concentration (PPM) |
| T | Temperature (°C) |
| V | Air Velocity (m/s) |
| Acronyms | |
| ACEM | Association of Consulting Engineers of Malaysia |
| AHU | Air Handling Unit |
| ASHRAE | American Society of Heating, Refrigerating, and Air-Conditioning Engineers |
| BREEAM | Building Research Establishment Environmental Assessment Method |
| BUS | Building Use Studies |
| EE | Energy Efficiency |
| GBI | Green Building Index |
| HVAC | Heating, Ventilation, and Air Conditioning |
| IAQ | Indoor Air Quality |
| IEB | Industrial Existing Building |
| IEQ | Indoor Environment Quality |
| INC | Industrial New Construction |
| LEED | Leadership in Energy and Environmental Design |
| MGBC | Malaysia Green Building Confederation |
| MR | Materials and Resources |
| NRNC | Non-Residential New Construction |
| PAM | Persatuan Arkitek Malaysia |
| POE | Post-Occupancy Evaluation |
| PMV | Predicted Mean Vote |
| PPD | Predicted Percentage of Dissatisfied |
| RNC | Residential New Construction |
| SBS | Sick Building Syndrome |
| SM | Sustainable Site Planning and Management |
| SPL | Sound Pressure Level |
| TSV | Thermal Sensation vote |
| UFAD | Underfloor Air Distribution |
| VOCs | Volatile Organic Compounds |
| WE | Water Efficiency |
| WELL | WELL Building Standard |
| WWR | Window to Wall Ratio |
References
- American Society of Heating, Refrigerating and Air-Conditioning Engineers (ASHRAE). Handbook Fundamentals; American Society of Heating, Refrigerating and Air-Conditioning Engineers: Atlanta, GA, USA, 2013. [Google Scholar]
- Fisk, W.J. How IEQ affects health, productivity. ASHRAE J. 2002, 44, 56. [Google Scholar]
- Gawande, S.; Tiwari, R.R.; Narayanan, P.; Bhadri, A. Indoor air quality and sick building syndrome: Are green buildings better than conventional buildings? Indian J. Occup. Environ. Med. 2020, 24, 30. [Google Scholar]
- Crook, B.; Burton, N.C. Indoor moulds, sick building syndrome and building related illness. Fungal Biol. Rev. 2010, 24, 106–113. [Google Scholar] [CrossRef]
- Nicol, J.F.; Humphreys, M.A. Adaptive thermal comfort and sustainable thermal standards for buildings. Energy Build. 2002, 34, 563–572. [Google Scholar] [CrossRef]
- Krüger, E.L.; Zannin, P.H. Acoustic, thermal and luminous comfort in classrooms. Build. Environ. 2004, 39, 1055–1063. [Google Scholar] [CrossRef]
- Veitch, J.A.; Newsham, G.R. Lighting quality and energy-efficiency effects on task performance, mood, health, satisfaction, and comfort. J. Illum. Eng. Soc. 1998, 27, 107–129. [Google Scholar] [CrossRef]
- Pellerin, N.; Candas, V. Effects of steady-state noise and temperature conditions on environmental perception and acceptability. Indoor Air 2004, 14, 129–136. [Google Scholar] [CrossRef]
- Sadick, A.-M.; Kpamma, Z.E.; Agyefi-Mensah, S. Impact of indoor environmental quality on job satisfaction and self-reported productivity of university employees in a tropical African climate. Build. Environ. 2020, 181. [Google Scholar] [CrossRef]
- Geng, Y.; Ji, W.; Lin, B.; Zhu, Y. The impact of thermal environment on occupant IEQ perception and productivity. Build. Environ. 2017, 121, 158–167. [Google Scholar] [CrossRef]
- Lipczynska, A.; Schiavon, S.; Graham, L.T. Thermal comfort and self-reported productivity in an office with ceiling fans in the tropics. Build. Environ. 2018, 135, 202–212. [Google Scholar] [CrossRef]
- Nematchoua, M.K.; Ricciardi, P.; Orosa, J.A.; Asadi, S.; Choudhary, R. Influence of indoor environmental quality on the self-estimated performance of office workers in the tropical wet and hot climate of Cameroon. J. Build. Eng. 2019, 21, 141–148. [Google Scholar] [CrossRef]
- Abbaszadeh, S.; Zagreus, L.; Lehrer, D.; Huizenga, C. Occupant satisfaction with indoor environmental quality in green buildings. In Proceedings of the 8th International Conference and Exhibition on Healthy Buildings, Lisbon, Portugal, 4–8 June 2006; Volume III, pp. 365–370. [Google Scholar]
- Liang, H.-H.; Chen, C.-P.; Hwang, R.-L.; Shih, W.-M.; Lo, S.-C.; Liao, H.-Y. Satisfaction of occupants toward indoor environment quality of certified green office buildings in Taiwan. Build. Environ. 2014, 72, 232–242. [Google Scholar] [CrossRef]
- Lee, J.; Wargocki, P.; Chan, Y.; Chen, L.; Tham, K. Indoor environmental quality, occupant satisfaction, and acute building-related health symptoms in Green Mark-certified compared with non-certified office buildings. Indoor Air 2019, 29, 112–129. [Google Scholar] [CrossRef]
- Paul, W.L.; Taylor, P.A. A comparison of occupant comfort and satisfaction between a green building and a conventional building. Build. Environ. 2008, 43, 1858–1870. [Google Scholar] [CrossRef]
- MacNaughton, P.; Spengler, J.; Vallarino, J.; Santanam, S.; Satish, U.; Allen, J. Environmental perceptions and health before and after relocation to a green building. Build. Environ. 2016, 104, 138–144. [Google Scholar] [CrossRef]
- Kats, G.; Capital, E. The Costs and Financial Benefits of Green Buildings; A Report to California’s Sustainable Building Task Force; Massachusetts Technology Collaborative: Sacramento, CA, USA, 2003; p. 134. [Google Scholar]
- Newsham, G.; Brand, J.; Donnelly, C.; Veitch, J.; Aries, M.; Charles, K. Linking indoor environment conditions to job satisfaction: A field study. Build. Res. Inf. 2009, 37, 129–147. [Google Scholar] [CrossRef]
- Issa, M.; Rankin, J.; Attalla, M.; Christian, A. Absenteeism, performance and occupant satisfaction with the indoor environment of green Toronto schools. Indoor Built Environ. 2011, 20, 511–523. [Google Scholar] [CrossRef]
- United Technologies Corporation (UTC) Climate, Controls & Security. New Research Quantifies Value of Increased Productivity from Improved Indoor Air Quality; PR Newswire: New York, NY, USA, 2015. [Google Scholar]
- Olson, C. Wellness, wellbeing and productivity in the office. Buildings 2015, 109, 24–26. [Google Scholar]
- Hoyt, T.; Lee, K.H.; Zhang, H.; Arens, E.; Webster, T. Energy Savings from Extended Air Temperature Setpoints and Reductions in Room Air Mixing; Center for the Built Environment: Berkeley, CA, USA, 2005. [Google Scholar]
- Energy Efficiency. Buildings Energy Data Book; Department of Energy: Washington, DC, USA, 2009. [Google Scholar]
- Koponen, I.K.; Asmi, A.; Keronen, P.; Puhto, K.; Kulmala, M. Indoor air measurement campaign in Helsinki, Finland 1999—The effect of outdoor air pollution on indoor air. Atmos. Environ. 2001, 35, 1465–1477. [Google Scholar] [CrossRef]
- Damiati, S.A.; Zaki, S.A.; Rijal, H.B.; Wonorahardjo, S. Field study on adaptive thermal comfort in office buildings in Malaysia, Indonesia, Singapore, and Japan during hot and humid season. Build. Environ. 2016, 109, 208–223. [Google Scholar] [CrossRef]
- Pellerin, N.; Candas, V. Combined effects of temperature and noise on human discomfort. Physiol. Behav. 2003, 78, 99–106. [Google Scholar] [CrossRef]
- Navada, S.G.; Adiga, C.S.; Kini, S.G. A study on daylight integration with thermal comfort for energy conservation in a general office. Int. J. Electr. Energy 2013, 1, 18–22. [Google Scholar] [CrossRef][Green Version]
- Hirning, M.; Isoardi, G.; Cowling, I. Discomfort glare in open plan green buildings. Energy Build. 2014, 70, 427–440. [Google Scholar] [CrossRef]
- Hwang, T.; Kim, J.T. Effects of indoor lighting on occupants’ visual comfort and eye health in a green building. Indoor Built Environ. 2010, 20, 75–90. [Google Scholar] [CrossRef]
- Li, P.; Froese, T.M.; Brager, G. Post-occupancy evaluation: State-of-the-art analysis and state-of-the-practice review. Build. Environ. 2018, 133, 187–202. [Google Scholar] [CrossRef]
- Khalil, N.; Husin, H.N. Post occupancy evaluation towards indoor environment improvement in Malaysia’s office buildings. J. Sustain. Dev. 2009, 2, 186. [Google Scholar] [CrossRef]
- Ismail, A.S.; Mohidin, H.H.B.; Daud, M.M. A review on occupants’ satisfaction and wellness level in low-cost housing in Malaysia. Plan. Malays. 2017, 15. [Google Scholar] [CrossRef][Green Version]
- Kamaruzzaman, S.N.; Egbu, C.O.; Mahyuddin, N.; Zawawi, E.M.A.; Chua, S.J.L.; Azmi, N.F. The impact of IEQ on occupants’ satisfaction in Malaysian buildings. Indoor Built Environ. 2018, 27, 715–725. [Google Scholar] [CrossRef]
- Mun, T.L. The Development of GBI Malaysia (GBI); Pertubuhan Akitek Malaysia: Kuala Lumpur, Malaysia; Association of Consulting Engineers Malaysia: Kuala Lumpur, Malaysia, 2009. [Google Scholar]
- MGBC. Malaysia Green Building Confederation. 2015. Available online: http://www.mgbc.org.my/about-mgbc/ (accessed on 3 March 2019).
- Illankoon, I.C.S.; Tam, V.W.; Le, K.N.; Shen, L. Key credit criteria among international green building rating tools. J. Clean. Prod. 2017, 164, 209–220. [Google Scholar] [CrossRef]
- Zian, O.B.; Fam, S.-F.; Liang, C.Z.; Wahjono, S.I.; Ying, T.Y. A Critical Research of Green Building Assessment Systems in Malaysia Context. Int. J. Innov. Technol. Explor. Eng. 2019, 8. [Google Scholar] [CrossRef]
- Hadjri, K.; Crozier, C. Post-occupancy evaluation: Purpose, benefits and barriers. Facilities 2009, 27, 21–33. [Google Scholar] [CrossRef]
- Ilesanmi, O.A. Post-occupancy evaluation and residents’ satisfaction with public housing in Lagos, Nigeria. J. Build. Apprais. 2010, 6, 153–169. [Google Scholar] [CrossRef]
- Seppänen, O.A.; Fisk, W. Some quantitative relations between indoor environmental quality and work performance or health. HVAC R Res. 2006, 12, 957–973. [Google Scholar] [CrossRef]
- Preiser, W.F.E.; Vischer, J.C. Assessing Building Performance; Routledge: Milton Park, UK, 2006. [Google Scholar]
- Altomonte, S.; Schiavon, S. Occupant satisfaction in LEED and non-LEED certified buildings. Build. Environ. 2013, 68, 66–76. [Google Scholar] [CrossRef]
- Armitage, L.; Murugan, A.; Kato, H. Green offices in Australia: A user perception survey. J. Corp. Real Estate 2011, 13, 169–180. [Google Scholar] [CrossRef]
- Birt, B.; Newsham, G.R. Post-occupancy evaluation of energy and indoor environment quality in green buildings: A review. In Proceedings of the 3rd CIB International Conference on Smart and Sustainable Built Environment, Delft, The Netherlands, 15–19 June 2009. [Google Scholar]
- Preiser, W.; Rabinowitz, H.; White, E. Post Occupancy Evaluation; Van Nostrand Reinhold: New York, NY, USA, 1988. [Google Scholar]
- Cheung, T.; Schiavon, S.; Graham, L.T.; Tham, K.W. Occupant satisfaction with the indoor environment in seven commercial buildings in Singapore. Build. Environ. 2021, 188. [Google Scholar] [CrossRef]
- GBI. Green Building Index. 2021. Available online: http://www.greenbuildingindex.org/ (accessed on 4 April 2021).
- Wong, L.; Mui, K.; Cheung, C.T.; Lee, M.; Lee, E. Performance impact of indoor environmental policy implementation for airside systems in Hong Kong Grade A offices. Build. Serv. Eng. Res. Technol. 2015, 36, 525–534. [Google Scholar]
- Candanedo, L.M.; Feldheim, V. Accurate occupancy detection of an office room from light, temperature, humidity and CO2 measurements using statistical learning models. Energy Build. 2016, 112, 28–39. [Google Scholar]
- Leaman, A. The Building Use Studies (BUS) Occupant Survey: Origins and Approach Q&A; Building Use Studies: London, UK, 2011. [Google Scholar]
- BUS. BUS Methodology. 2021. Available online: https://busmethodology.org.uk/ (accessed on 4 April 2021).
- Barbadilla-Martín, E.; Martín, J.G.; Lissén, J.M.S.; Ramos, J.S.; Domínguez, S.Á. Assessment of thermal comfort and energy savings in a field study on adaptive comfort with application for mixed mode offices. Energy Build. 2018, 167, 281–289. [Google Scholar]
- Kántor, N.; Unger, J. The most problematic variable in the course of human-biometeorological comfort assessment—The mean radiant temperature. Cent. Eur. J. Geosci. 2011, 3, 90–100. [Google Scholar] [CrossRef]
- Langner, M.; Scherber, K.; Endlicher, W.R. Indoor heat stress: An assessment of human bioclimate using the UTCI in different buildings in Berlin. DIE ERDE J. Geogr. Soc. Berl. 2013, 144, 260–273. [Google Scholar]
- Matzarakis, A.; Amelung, B. Physiological equivalent temperature as indicator for impacts of climate change on thermal comfort of humans. In Seasonal Forecasts, Climatic Change and Human Health; Springer: Berlin/Heidelberg, Germany, 2008; pp. 161–172. [Google Scholar]
- Tang, C.; Chin, N. Building Energy Efficiency Technical Guideline for Passive Design, 2nd ed.; Public Works Department: Kuala Lumpur, Malaysia, 2017. [Google Scholar]
- International Organization for Standardization. ISO 16000-1: Indoor Air–Part 1: General Aspects of Sampling Strategy; International Organization for Standardization: Geneva, Switzerland, 2007. [Google Scholar]
- Cochran, W.G. Sampling Techniques; Wiley: New York, NY, USA, 1977. [Google Scholar]
- The Department of Standards Malaysia. Energy Efficiency and Use of Renewable Energy for Non-Residential Buildings—Code of Practice; MS 1525; The Department of Standards Malaysia: Cyberjaya, Malaysia, 2014. [Google Scholar]
- Aziz, A.A.; Sumiyoshi, D.; Akashi, Y. Low cost humidity controlled air-conditioning system for building energy savings in tropical climate. J. Build. Eng. 2017, 11, 9–16. [Google Scholar] [CrossRef]
- Mui, K.W.; Wong, L.T. Acceptable illumination levels for office occupants. Archit. Sci. Rev. 2006, 49, 116–119. [Google Scholar] [CrossRef]
- Department of Public Works. BSL, Design Standards and Guidelines; Department of Public Works: Los Angeles, CA, USA, 2007. [Google Scholar]
- Mui, K.W.; Wong, L.T. A method of assessing the acceptability of noise levels in air-conditioned offices. Build. Serv. Eng. Res. Technol. 2006, 27, 249–254. [Google Scholar] [CrossRef]
- Ha, M.M. Indoor Air Quality: Office Health, Safety and Well-Being; University of Calgary (Canada): Calgary, AB, Canada, 1998; p. 128. [Google Scholar]
- ASHRAE. Standard 55, Thermal Environmental Conditions for Human Occupancy; ASHRAE Inc.: Atlanta, GA, USA, 2017. [Google Scholar]
- Fang, L. Impact of temperature and humidity on perception of indoor air quality during immediate and longer whole-body exposures. Indoor Air 1998, 8, 276–284. [Google Scholar] [CrossRef]
- Melikov, A.K.; Kaczmarczyk, J. Air movement and perceived air quality. Build. Environ. 2012, 47, 400–409. [Google Scholar] [CrossRef]
- Leaman, A.; Bordass, B. Productivity in buildings: The ‘killer’ variables. Build. Res. Inf. 1999, 27, 4–19. [Google Scholar] [CrossRef]
- Bergs, J. Effect of healthy workplaces on well-being and productivity of office workers. In Proceedings of the International Plants for People Symposium, Amsterdam, The Netherlands, 3–6 June 2002. [Google Scholar]
- Syahrul, N.K.; Ainur, M.A. Evaluation of occupants’ well-being and perception towards indoor environmental quality in Malaysia affordable housing. J. Facil. Manag. 2019, 17, 90–106. [Google Scholar]
- Colenberg, S.; Jylhä, T.; Arkesteijn, M. The relationship between interior office space and employee health and well-being—A literature review. Build. Res. Inf. 2020, 1–15. [Google Scholar] [CrossRef]
- Pandis, N. Comparison of 2 means (independent z test or independent t test). Am. J. Orthod. Dentofacial. Orthop. 2015, 148, 350–351. [Google Scholar] [CrossRef]
- Geng, Y.; Ji, W.; Wang, Z.; Lin, B.; Zhu, Y. A review of operating performance in green buildings: Energy use, indoor environmental quality and occupant satisfaction. Energy Build. 2019, 183, 500–514. [Google Scholar] [CrossRef]
- Buonocore, C.; de Vecchi, R.; Scalco, V.; Lamberts, R. Thermal preference and comfort assessment in air-conditioned and naturally-ventilated university classrooms under hot and humid conditions in Brazil. Energy Build. 2020, 211. [Google Scholar] [CrossRef]
- Tan, C.K.; Ogawa, A.; Matsumura, T. Innovative Climate Change Communication: Team Minus 6%; Global Environment Information Centre (GEIC), United Nations University (UNU): Tokyo, Japan, 2008; pp. 53–70. [Google Scholar]
- Aghniaey, S.; Lawrence, T.M. The impact of increased cooling setpoint temperature during demand response events on occupant thermal comfort in commercial buildings: A review. Energy Build. 2018, 173, 19–27. [Google Scholar] [CrossRef]
- Ravindu, S.; Rameezdeen, R.; Zuo, J.; Zhou, Z.; Chandratilake, R. Indoor environment quality of green buildings: Case study of an LEED platinum certified factory in a warm humid tropical climate. Build. Environ. 2015, 84, 105–113. [Google Scholar] [CrossRef]
- Banbury, S.; Berry, D. Office noise and employee concentration: Identifying causes of disruption and potential improvements. Ergonomics 2005, 48, 25–37. [Google Scholar] [CrossRef]
- Menadue, V.; Soebarto, V.; Williamson, T. The effect of internal environmental quality on occupant satisfaction in commercial office buildings. HVAC R Res. 2013, 19, 1051–1062. [Google Scholar] [CrossRef]
- Lee, Y.S. Office layout affecting privacy, interaction, and acoustic quality in LEED-certified buildings. Build. Environ. 2010, 45, 1594–1600. [Google Scholar] [CrossRef]
- Passero, C.R.; Zannin, P.H. Acoustic evaluation and adjustment of an open-plan office through architectural design and noise control. Appl. Ergon. 2012, 43, 1066–1071. [Google Scholar] [CrossRef]
- Virjonen, P.; Keränen, J.; Helenius, R.; Hakala, J.; Hongisto, O.V. Speech privacy between neighboring workstations in an open office-a laboratory study. Acta Acust. United Acust. 2007, 93, 771–782. [Google Scholar]
- Hongisto, V.; Varjo, J.; Leppämäki, H.; Oliva, D.; Hyönä, J. Work performance in private office rooms: The effects of sound insulation and sound masking. Build. Environ. 2016, 104, 263–274. [Google Scholar] [CrossRef]
- Lim, G.-H.; Keumala, N.; Ghafar, N.A. Energy saving potential and visual comfort of task light usage for offices in Malaysia. Energy Build. 2017, 147, 166–175. [Google Scholar] [CrossRef]
- Park, J.; Loftness, V.; Aziz, A.; Wang, T.-H. Strategies to achieve optimum visual quality for maximum occupant satisfaction: Field study findings in office buildings. Build. Environ. 2020, 195. [Google Scholar] [CrossRef]
- Kwong, Q.J. Light level, visual comfort and lighting energy savings potential in a green-certified high-rise building. J. Build. Eng. 2020, 29. [Google Scholar] [CrossRef]
- Luo, Z.; Sun, C.; Dong, Q.; Yu, J. An innovative shading controller for blinds in an open-plan office using machine learning. Build. Environ. 2021, 189. [Google Scholar] [CrossRef]










| Building A | Building B | |
|---|---|---|
| No. stories | 8 + 2 | 9 |
| Green landscape area | 3600 m2 | - |
| Structure | Steel-reinforced concrete (SRC) | Steel-reinforced concrete (SRC) |
| Facade finishes | Double glass curtain wall | Double glass curtain wall |
| Access to public transport | Bus | Bus |
| Air conditioning system | Air Handling Unit (AHU), Fans | Underfloor Air Distribution (UAFD) |
| Roof vents | Yes | - |
| Lighting type | Fluorescent | Fluorescent, Personal LED |
| Window to wall ratio (WWR) | About 60% | About 55% |
| Window blind, roller shade, fixed shading system | Yes | Yes |
| Interior separators | Medium-density fiber-board (MDF) and glass | Medium-density fiber-board (MDF) and glass |
| Exterior shades | No | No |
| Atrium | Yes | No |
| Courtyard | No | Yes |
| Employees/Occupants | 80–100 | 60–100 |
| Year of GBI certificate | 2014 (validated until 2019) | 2014 (validated until 2020) |
| Category | Question |
|---|---|
| Background information | Age, Sex, Years of working in the building, Type of the working office |
| Satisfaction with building design | Cleaning, Furniture |
| Satisfaction with IEQ parameters | Overall comfort, Perceived health, Perceived productivity Overall thermal comfort, Temperature, Temperature stability Overall air quality, Air humidity, Air freshness, Odour Overall noise, Noise from colleagues, Noise from other people, Other noise inside, Noise from outside Overall lighting, Natural light, Glare from sun and sky, Artificial light, Glare from light |
| IEQ Parameter | Environmental Sensor | Range and Accuracy |
|---|---|---|
| Air temperature | HOBO-U12-012 1, Onest | −20 to 70 °C, accuracy ±0.35 °C, from 0 to 50 °C, |
| Relative humidity | ±2.5%, 3.5% maximum, from 10% to 90% RH | |
| Air velocity | T-DCI-F900-S-O 1, Onest | Accuracy greater than 10% of the reading or ±0.05 m/s or 1% full-scale |
| Illuminance | TM-203 Datalogging 2, TENMARS | 20 to 200 K Lux, ±3% |
| Sound pressure level | Solo 1092 01dB-METRAVIB 2, ACOEM | 20 to 137 dB (A) class 1, or 30 to 137 dB (A) class 2 |
| Carbon dioxide | 98,123 J 2, MIC | 0 to 50 PPM with a resolution of 1 PPM, ±30 PPM + 5% of reading |
| TVOCs | 98, 519 2, MIC | 0–50 PPM with 0.01 PPM resolution, ±30 PPM + 5% of reading, |
| Building A | Building B | Total | ||
|---|---|---|---|---|
| Sex | Female | 30 | 25 | 55 |
| Male | 29 | 28 | 57 | |
| Age | Under 30 | 21 | 26 | 47 |
| 30 and above | 38 | 27 | 65 | |
| Work experience in building | Less than a year | 20 | 20 | 40 |
| A year or more | 39 | 33 | 72 | |
| Type of the work office | Normally occupied by 1 | 16 | 8 | 24 |
| Shared with 1 other | 1 | 0 | 1 | |
| Shared with 2–4 others | 6 | 22 | 28 | |
| Shared with 5–8 others | 16 | 15 | 31 | |
| Shared with more than 8 others | 20 | 8 | 28 |
| IEQ Parameter | Building A | Building B | p-Value a |
|---|---|---|---|
| Overall comfort | 1.66 | 0.58 | 0.000 b |
| Overall thermal comfort | 1.81 | 0.07 | 0.000 b |
| Overall air quality | 1.39 | 0.62 | 0.000 b |
| Overall Noise | 1.25 | 0.68 | 0.009 b |
| Overall lighting | 1.27 | 0.70 | 0.003 b |
| Furniture | 1.85 | −0.75 | 0.000 b |
| Overall cleaning quality | 2.05 | 0.74 | 0.000 b |
| Perceived productivity | 1.86 | 0.38 | 0.000 b |
| Perceived health | 0.92 | 0.74 | 0.449 |
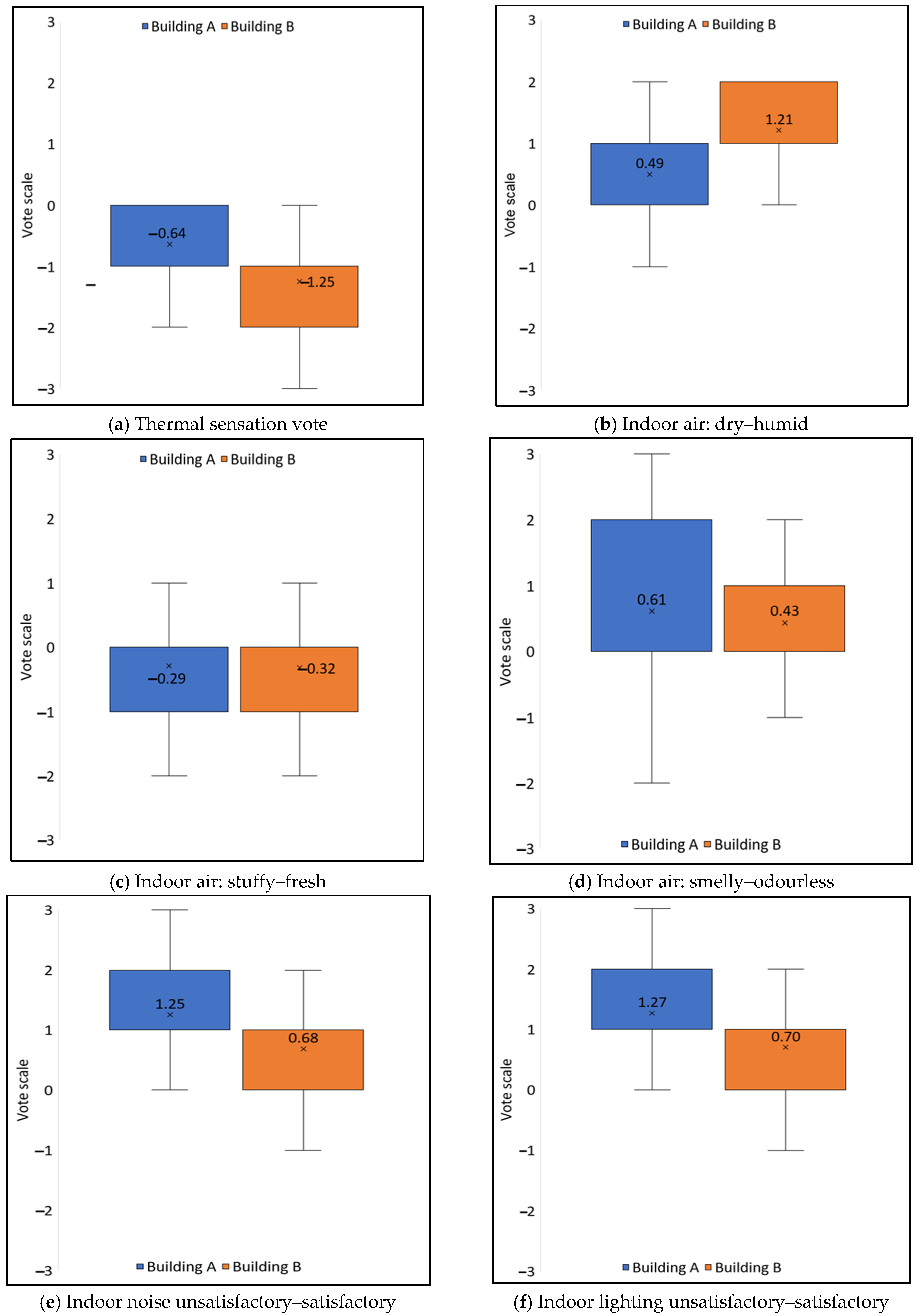
| IEQ Parameter | Occupants’ Vote Mean Score | Measurement Results | First Three Main Sources of Dissatisfaction | ||||
|---|---|---|---|---|---|---|---|
| BA | BB | BA | BB | BA | BB | ||
| Thermal comfort quality | Temperature | −0.64 | −1.24 | 24.2 °C | 23.8 °C | ☑ | ☑ |
| Air: dry–humidity | 0.49 | 1.20 | 60% | 72.4% | - | ☑ | |
| Air velocity | - | - | 0.06 m/s | 0.05 m/s | - | - | |
| Indoor air quality | Air: stuffy–fresh | −0.29 | −0.32 | ☑ | |||
| Air: smelly–odourless | 0.61 | 0.43 | - | - | |||
| Noise quality | 1.25 | 0.68 | 51.9 dB | 50.2 dB | - | - | |
| Lighting | 1.27 | 0.70 | 494 lux | 191 lux | ☑ | - | |
| Overall Comfort | Thermal Comfort | Indoor Air Quality | Noise | Light | Furniture | Cleaning |
|---|---|---|---|---|---|---|
| Pearson correlation coefficient | O.625 ** | 0.467 ** | 0.329 ** | 0.455 ** | 0.552 ** | 0.486 ** |
| p-value | 0.000 | 0.000 | 0.000 | 0.000 | 0.000 | 0.000 |
Publisher’s Note: MDPI stays neutral with regard to jurisdictional claims in published maps and institutional affiliations. |
© 2021 by the authors. Licensee MDPI, Basel, Switzerland. This article is an open access article distributed under the terms and conditions of the Creative Commons Attribution (CC BY) license (https://creativecommons.org/licenses/by/4.0/).
Share and Cite
Esfandiari, M.; Mohamed Zaid, S.; Ismail, M.A.; Reza Hafezi, M.; Asadi, I.; Mohammadi, S.; Vaisi, S.; Aflaki, A. Occupants’ Satisfaction toward Indoor Environment Quality of Platinum Green-Certified Office Buildings in Tropical Climate. Energies 2021, 14, 2264. https://doi.org/10.3390/en14082264
Esfandiari M, Mohamed Zaid S, Ismail MA, Reza Hafezi M, Asadi I, Mohammadi S, Vaisi S, Aflaki A. Occupants’ Satisfaction toward Indoor Environment Quality of Platinum Green-Certified Office Buildings in Tropical Climate. Energies. 2021; 14(8):2264. https://doi.org/10.3390/en14082264
Chicago/Turabian StyleEsfandiari, Masoud, Suzaini Mohamed Zaid, Muhammad Azzam Ismail, Mohammad Reza Hafezi, Iman Asadi, Saleh Mohammadi, Salah Vaisi, and Ardalan Aflaki. 2021. "Occupants’ Satisfaction toward Indoor Environment Quality of Platinum Green-Certified Office Buildings in Tropical Climate" Energies 14, no. 8: 2264. https://doi.org/10.3390/en14082264
APA StyleEsfandiari, M., Mohamed Zaid, S., Ismail, M. A., Reza Hafezi, M., Asadi, I., Mohammadi, S., Vaisi, S., & Aflaki, A. (2021). Occupants’ Satisfaction toward Indoor Environment Quality of Platinum Green-Certified Office Buildings in Tropical Climate. Energies, 14(8), 2264. https://doi.org/10.3390/en14082264

