Power Line Communications for Automotive High Voltage Battery Systems: Channel Modeling and Coexistence Study with Battery Monitoring
Abstract
1. Introduction
2. PLC Hardware Demonstrator
- (1)
- (2)
- Li-ion battery cells provide a low-ohmic access impedance to PLC devices. In consistence with [37], the access impedance defines the impedance seen by a PLC modem connected in parallel to a PLC access point, which in our case is a single Li-ion cell as indicated in Figure 2a. Due to their rolled-up geometrical structure, cylindrical Li-ion cells inherently exhibit an inductive nature for frequencies above some kilohertz [38]. Considering the inductive reactance , high frequencies are favorable to obtain a higher access impedance. As will be discussed in Section 3.1, frequencies above 1 MHz are preferred.
- (3)
- The HV power lines are corrupted by various electrical devices connected to the network, which generate impulsive noise [26]. Noise investigations on the voltage and current harmonic content of the HV power lines [31,33,39] revealed that the noise power decreases significantly for increasing frequency and can even be considered as “white” for narrow frequency bands above approximately 10 MHz.
- (4)
- The PLC system needs to comply with electromagnetic compatibility (EMC) regulations. For HV components, the EMC is tested according to CISPR 25 [40]. To keep radiated electromagnetic emissions to a minimum, PLC frequencies have to be selected as low as possible, which is contrary to (1)–(3), demanding a tradeoff between the stated points.
3. PLC Channel Model Components
3.1. High Frequency Model of a Single Battery
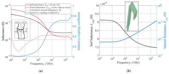
3.2. Capacitive and Inductive Coupling Effects between Cells
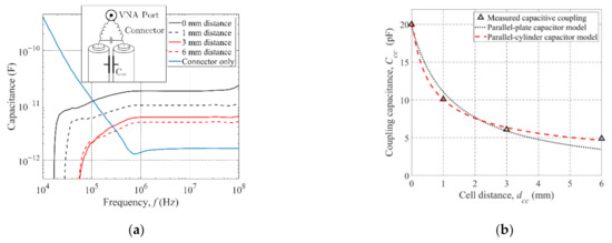
3.2.1. Capacitive Coupling
3.2.2. Inductive Coupling
3.3. Electrical Cell Connection and Contact Resistance
4. PLC Channel Model and Transfer Characteristics
4.1. PLC Channel Model Validation
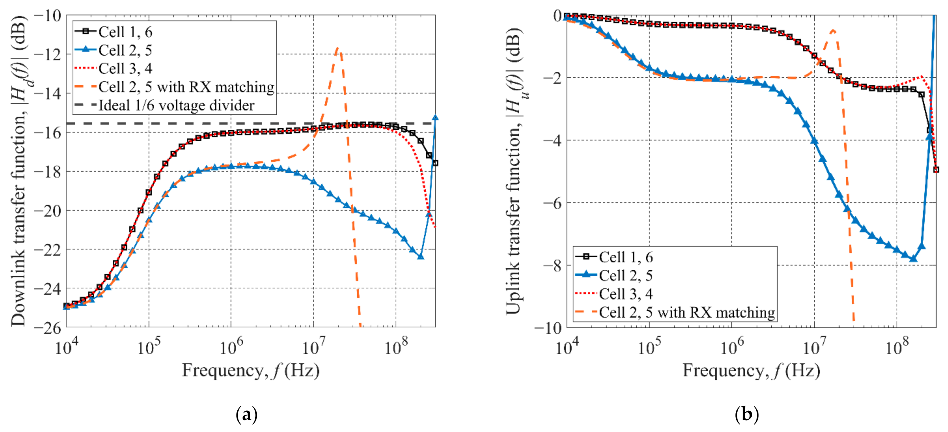
4.2. PLC Transfer Function Simulation
5. Coexistence Analysis
5.1. PLC Disturbance by BMS Monitoring
5.2. BMS Monitoring Disturbance by PLC
5.2.1. EIS Disturbance by PLC: Experimental Setup
5.2.2. EIS Disturbance by PLC: Results and Discussion
6. Conclusions
Author Contributions
Funding
Acknowledgments
Conflicts of Interest
Abbreviations
| 2-ASK | Binary amplitude shift keying | |
| 2-PSK | Binary phase shift keying | |
| 2-FSK | Binary frequency shift keying | |
| 3-D | Three-dimensional | |
| ADC | Analog-to-digital converter | |
| AC | Alternating current | |
| ASIL | Automotive safety integrity level | |
| AWGN | Additive white Gaussian noise | |
| BER | Bit error rate | |
| BEV | Battery electric vehicle | |
| BMS | Battery management system | |
| BMU | Battery management unit | |
| CAN | Control area network | |
| CID | Current interrupt device | |
| CISPR | Comité International Spécial des Perturbations Radioélectriques | |
| CMC | Cell monitoring circuit | |
| CRC | Cyclic redundancy check | |
| CT | Computed tomography | |
| DC | Direct current | |
| DFT | Discrete Fourier transform | |
| EEC | Equivalent electrical circuit | |
| EIS | Electrochemical impedance spectroscopy | |
| EM | Electromagnetic | |
| EMC | Electromagnetic compatibility | |
| EMI | Electromagnetic interference | |
| EV | Electric vehicle | |
| FFT | Fast Fourier transform | |
| GND | Ground | |
| HEV | Hybrid electric vehicle | |
| HF | High frequency | |
| HV | High voltage | |
| IC | Integrated circuit | |
| Li-ion | Lithium-ion | |
| LV | Low voltage | |
| NFRA | Nonlinear frequency response analysis | |
| OOK | On-off keying | |
| PCB | Printed circuit board | |
| PLC | Power line communications | |
| PRBS | Pseudo-random bit sequence | |
| RMSE | Root mean square error | |
| RX | Receiver | |
| SOC | State of charge | |
| SOH | State of health | |
| TX | Transmitter | |
| VNA | Vector network analyzer | |
| Nomenclature | ||
| Symbols | Unit | Description |
| ° | Phase shift between voltage and current signals | |
| 8.854 ⋅ 1012 F/m | Vacuum permittivity | |
| Relative permittivity | ||
| ° | Phase of complex impedance | |
| Reflection coefficient | ||
| 4π · 10−7 H/m | Vacuum permeability | |
| ϑ | °C | Temperature |
| F | Power line coupling capacitor | |
| F | Cell-to-cell coupling capacitance | |
| F | DC-link capacitor | |
| 0.018 m | Cell diameter | |
| m | Distance between cells | |
| Hz | Carrier frequency | |
| Hz | EIS measurement frequency | |
| Hz | DFT frequency point | |
| , | dB | Downlink and uplink PLC transfer function |
| A | Current amplitude | |
| 0.065 m | Cell length | |
| H | Cell connector inductance | |
| H | External cell inductance due to the cell’s length, tabs and bonding wires | |
| H | Internal cell inductance due to skin effect | |
| H | Loop inductance | |
| H | Self-inductance | |
| H | Jelly roll winding inductance of the cell | |
| H | Mutual inductance | |
| frequency harmonic | ||
| Ω | Cell connector resistance | |
| Ω | Electrolyte, contact, and CID resistances of the cell | |
| Ω | Internal/ surface cell resistance due to skin effect | |
| Ω | Ionic resistance of stacked electrode cell layers and electrolyte | |
| Ω | Electrical resistance of cell collector windings | |
| s | Signal period | |
| V | Voltage amplitude | |
| V + jV | EIS voltage DFT vector | |
| V | PLC voltage across master modem | |
| V + jV | PLC voltage DFT error vector | |
| V + jV | Overall DFT vector | |
| V | PLC voltage across slave cell | |
| Ω | Inductive reactance | |
| Ω | Characteristic impedance | |
| Ω + jΩ | Complex cell impedance | |
| Ω + jΩ | Complex impedance error at | |
| , | Ω + jΩ | Master, slave transceiver impedance |
| Ω + jΩ | Battery pack impedance | |
| Ω + jΩ | True complex impedance at | |
| Ω + jΩ | Overall complex impedance at | |
References
- Blomgren, G.E. The Development and Future of Lithium Ion Batteries. J. Electrochem. Soc. 2017, 164, A5019–A5025. [Google Scholar] [CrossRef]
- Rao, Z.; Wang, S.; Zhang, G. Simulation and experiment of thermal energy management with phase change material for ageing LiFePO4 power battery. Energy Convers. Manag. 2011, 52, 3408–3414. [Google Scholar] [CrossRef]
- Balasingam, B.; Ahmed, M.; Pattipati, K. Battery Management Systems—Challenges and Some Solutions. Energies 2020, 13, 2825. [Google Scholar] [CrossRef]
- Hannan, M.A.; Lipu, M.S.H.; Hussain, A.; Mohamed, A. A review of lithium-ion battery state of charge estimation and management system in electric vehicle applications: Challenges and recommendations. Renew. Sustain. Energy Rev. 2017, 78, 834–854. [Google Scholar] [CrossRef]
- Weicker, P. A Systems Approach to Lithiumion Battery Management; Artech House: Norwood, MA, USA, 2014; ISBN 1608076598. [Google Scholar]
- Wei, Z.; Zhao, J.; He, H.; Ding, G.; Cui, H.; Liu, L. Future smart battery and management: Advanced sensing from external to embedded multi-dimensional measurement. J. Power Sources 2021, 489, 229462. [Google Scholar] [CrossRef]
- Din, E.; Schaef, C.; Moffat, K.; Stauth, J.T. A Scalable Active Battery Management System with Embedded Real-Time Electrochemical Impedance Spectroscopy. IEEE Trans. Power Electron. 2017, 32, 5688–5698. [Google Scholar] [CrossRef]
- Koch, R.; Jossen, A. Impedance spectroscopy for battery monitoring with switched mode amplifiers. In Proceedings of the 2014 16th International Power Electronics and Motion Control Conference and Exposition, Antalya, Turkey, 21–24 September 2014; pp. 496–501, ISBN 978-1-4799-2060-0. [Google Scholar]
- Abedi Varnosfaderani, M.; Strickland, D. A Comparison of Online Electrochemical Spectroscopy Impedance Estimation of Batteries. IEEE Access 2018, 6, 23668–23677. [Google Scholar] [CrossRef]
- Crescentini, M.; de Angelis, A.; Ramilli, R.; Angelis, G.; de Tartagni, M.; Moschitta, A.; Traverso, P.A.; Carbone, P. Online EIS and Diagnostics on Lithium-Ion Batteries by Means of Low-Power Integrated Sensing and Parametric Modeling. IEEE Trans. Instrum. Meas. 2021, 70, 1–11. [Google Scholar] [CrossRef]
- Barsoukov, E.; Macdonald, J.R. Impedance Spectroscopy; John Wiley & Sons, Inc.: Hoboken, NJ, USA, 2018; ISBN 9781119381860. [Google Scholar]
- Andre, D.; Meiler, M.; Steiner, K.; Wimmer, C.; Soczka-Guth, T.; Sauer, D.U. Characterization of high-power lithium-ion batteries by electrochemical impedance spectroscopy. I. Experimental investigation. J. Power Sources 2011, 196, 5334–5341. [Google Scholar] [CrossRef]
- Waag, W.; Käbitz, S.; Sauer, D.U. Experimental investigation of the lithium-ion battery impedance characteristic at various conditions and aging states and its influence on the application. Appl. Energy 2013, 102, 885–897. [Google Scholar] [CrossRef]
- Mingant, R.; Bernard, J.; Sauvant Moynot, V.; Delaille, A.; Mailley, S.; Hognon, J.-L.; Huet, F. EIS Measurements for Determining the SoC and SoH of Li-Ion Batteries. ECS Trans. 2010, 33, 41–53. [Google Scholar] [CrossRef]
- Love, C.T.; Virji, M.B.V.; Rocheleau, R.E.; Swider-Lyons, K.E. State-of-health monitoring of 18650 4S packs with a single-point impedance diagnostic. J. Power Sources 2014, 266, 512–519. [Google Scholar] [CrossRef]
- Schmidt, J.P.; Arnold, S.; Loges, A.; Werner, D.; Wetzel, T.; Ivers-Tiffée, E. Measurement of the internal cell temperature via impedance: Evaluation and application of a new method. J. Power Sources 2013, 243, 110–117. [Google Scholar] [CrossRef]
- Raijmakers, L.H.J.; Danilov, D.L.; van Lammeren, J.P.M.; Lammers, M.J.G.; Notten, P.H.L. Sensorless battery temperature measurements based on electrochemical impedance spectroscopy. J. Power Sources 2014, 247, 539–544. [Google Scholar] [CrossRef]
- Meddings, N.; Heinrich, M.; Overney, F.; Lee, J.-S.; Ruiz, V.; Napolitano, E.; Seitz, S.; Hinds, G.; Raccichini, R.; Gaberšček, M.; et al. Application of electrochemical impedance spectroscopy to commercial Li-ion cells: A review. J. Power Sources 2020, 480, 228742. [Google Scholar] [CrossRef]
- Hong, H.J.; Sevillano, J.R.; Kain, C.; Hofer, G.; Felber, K.; Chan, W.K. Alternatives in Battery Communication Protocols. In Proceedings of the SAE Technical Paper Series. WCX™ 17: SAE World Congress Experience, Detroit, MI, USA, 4 April 2017. [Google Scholar]
- Maryanka, Y. Wiring reduction by battery power line communication. In Proceedings of the IEE Seminar on Passenger Car Electrical Architecture; IEE Seminar on Passenger Car Electrical Architecture: Birmingham, UK, 2000; p. 8. [Google Scholar]
- Ouannes, I.; Nickel, P.; Dostert, K. Cell-wise monitoring of Lithium-ion batteries for automotive traction applications by using power line communication: Battery modeling and channel characterization. In Proceedings of the 2014 18th IEEE International Symposium on Power Line Communications and Its Applications (ISPLC), Glasgow, UK, 30 March–2 April 2014; pp. 24–29, ISBN 978-1-4799-4980-9. [Google Scholar]
- Bolsinger, C.; Brix, J.; Dragan, M.; Birke, K.P. Investigating and modeling the transmission channel of a prismatic lithium-ion cell and module for powerline communication. J. Energy Storage 2017, 10, 11–19. [Google Scholar] [CrossRef]
- Talie, A.P.; Pribyl, W.A.; Hofer, G. Electric Vehicle Battery Management System Using Power Line Communication Technique. In Proceedings of the 2018 14th Conference on Ph.D. Research in Microelectronics and Electronics (PRIME), Prague, Czech Republic, 2–5 July 2018; pp. 225–228, ISBN 978-1-5386-5387-6. [Google Scholar]
- Opalko, O.; Alonso, D.; Dostert, K. Modeling of the power-line channel in automotive Li-ion batteries with Rogowski coils as coupling elements. In Proceedings of the 2016 International Symposium on Power Line Communications and its Applications (ISPLC), Bottrop, Germany, 20–23 March 2016; pp. 224–229, ISBN 978-1-4673-6643-4. [Google Scholar]
- Tonello, A.M.; Lampe, L.; Swart, T.G. Power Line Communications: Principles, Standards and Applications from Multimedia to Smart Grid, 2nd ed.; John Wiley & Sons: Hoboken, NJ, USA, 2016; ISBN 978-1-118-67671-4. [Google Scholar]
- Pittolo, A.; de Piante, M.; Versolatto, F.; Tonello, A.M. In-Vehicle Power Line Communication: Differences and Similarities Among the In-Car and the In-Ship Scenarios. IEEE Veh. Technol. Mag. 2016, 11, 43–51. [Google Scholar] [CrossRef]
- Miller, B.P. Automotive Lithium-Ion Batteries. Johns. Matthey Technol. Rev. 2015, 59, 4–13. [Google Scholar] [CrossRef]
- Landinger, T.F.; Schwarzberger, G.; Jossen, A. A Novel Method for High Frequency Battery Impedance Measurements. In Proceedings of the 2019 IEEE International Symposium on Electromagnetic Compatibility, Signal & Power Integrity (EMC+SIPI), New Orleans, LA, USA, 22–26 July 2019; pp. 106–110, ISBN 978-1-5386-9199-1. [Google Scholar]
- Sendin, A.; Peña, I.; Angueira, P. Strategies for Power Line Communications Smart Metering Network Deployment. Energies 2014, 7, 2377–2420. [Google Scholar] [CrossRef]
- Degauque, P.; Stievano, I.; Pignari, S.; Degardin, V.; Canavero, F.; Grassi, F.; Canete, F.J. Power-Line Communication: Channel Characterization and Modeling for Transportation Systems. IEEE Veh. Technol. Mag. 2015, 10, 28–37. [Google Scholar] [CrossRef]
- Taherinejad, N.; Rosales, R.; Lampe, L.; Mirabbasi, S. Channel characterization for power line communication in a hybrid electric vehicle. In Proceedings of the 2012 IEEE International Symposium on Power Line Communications and Its Applications, Beijing, China, 27–30 March 2012; pp. 328–333, ISBN 978-1-4673-0361-3. [Google Scholar]
- Landinger, T.F.; Schwarzberger, G.; Rose, M.; Dollhaeubl, S.; Hofer, G.; Talei, A.P.; Jossen, A. Power Line Communications in Automotive Traction Batteries: A Proof of Concept. In Proceedings of the 2020 IEEE International Symposium on Power Line Communications and its Applications (ISPLC), Málaga, Spain, 11–13 May 2020; pp. 1–5, ISBN 978-1-7281-4816-8. [Google Scholar]
- Takanashi, M.; Harada, T.; Takahashi, A.; Tanaka, H.; Hayashi, H.; Hattori, Y. High-voltage power line communication system for hybrid vehicle. In Proceedings of the 2015 IEEE International Symposium on Power Line Communications and Its Applications (ISPLC), Austin, TX, USA, 29 March–1 April 2015; pp. 222–227, ISBN 978-1-4799-8413-8. [Google Scholar]
- Ouannes, I.; Nickel, P.; Bernius, J.; Dostert, K. Physical Layer Performance Analysis of Power Line Communication (PLC) applied for Cell-Wise Monitoring of Automotive Lithium-Ion Batteries. In Proceedings of the 18th International OFDM Workshop 2014 (InOWo’14), Essen, Germany, 27–28 August 2014; pp. 1–8. [Google Scholar]
- Opalko, O.; Simon, B.; Alonso, D.; Dostert, K. Physical layer and multi-carrier analysis for power line communication networks in Li-ion batteries for electric and hybrid vehicles. In Proceedings of the 2015 IEEE Vehicular Networking Conference (VNC), Kyoto, Japan, 16–18 December 2015; pp. 243–250, ISBN 978-1-4673-9411-6. [Google Scholar]
- Vincent, T.A.; Marco, J. Development of Smart Battery Cell Monitoring System and Characterization on a Small-Module Through In-Vehicle Power Line Communication. IEEE Access 2020, 8, 220658–220671. [Google Scholar] [CrossRef]
- Taherinejad, N.; Rosales, R.; Mirabbasi, S.; Lampe, L. A study on access impedance for vehicular power line communications. In Proceedings of the 2011 IEEE International Symposium on Power Line Communications and Its Applications, Udine, Italy, 3–6 April 2011; pp. 440–445, ISBN 978-1-4244-7751-7. [Google Scholar]
- Osswald, P.J.; Erhard, S.V.; Noel, A.; Keil, P.; Kindermann, F.M.; Hoster, H.; Jossen, A. Current density distribution in cylindrical Li-Ion cells during impedance measurements. J. Power Sources 2016, 314, 93–101. [Google Scholar] [CrossRef]
- Iglesias, M.; Echeverria, I.; Arteche, F.; Piedrafita, J.; Pradas, A.; de Clercq, J. EMC mapping of a power train for fully electric 4-wheel drive vehicle. In Proceedings of the 2014 International Symposium on Electromagnetic Compatibility, Gothenburg, Sweden, 1–4 September 2014; pp. 414–419, ISBN 978-1-4799-3226-9. [Google Scholar]
- CISPR 25. Radio Disturbance Characteristics for the Protection of Receivers Used on Board Vehicles, Boats and on Devices—Limits and Methods of Measurement; IEC/DIN-EN 55025 Brussels, Belgium; IEC: Geneva, Switzerland, 2008. [Google Scholar]
- Saw, L.H.; Ye, Y.; Tay, A.A.O. Integration issues of lithium-ion battery into electric vehicles battery pack. J. Clean. Prod. 2016, 113, 1032–1045. [Google Scholar] [CrossRef]
- Reuter, M.; Tenbohlen, S.; Kohler, W. The Influence of Network Impedance on Conducted Disturbances Within the High-Voltage Traction Harness of Electric Vehicles. IEEE Trans. Electromagn. Compat. 2014, 56, 35–43. [Google Scholar] [CrossRef]
- Korth Pereira Ferraz, P.; Schmidt, R.; Kober, D.; Kowal, J. A high frequency model for predicting the behavior of lithium-ion batteries connected to fast switching power electronics. J. Energy Storage 2018, 18, 40–49. [Google Scholar] [CrossRef]
- Hoene, E.; Guttowski, S.; Saikly, R.; John, W.; Reichl, H. Rf-properties of automotive traction batteries. In Proceedings of the 2003 IEEE International Symposium on Electromagnetic Compatibility, 2003. EMC ′03, Istanbul, Turkey, 16 May 2003; Volume 1, pp. 425–428, ISBN 0-7803-7779-6. [Google Scholar]
- Landinger, T.F.; Schwarzberger, G.; Jossen, A. A Physical-Based High-Frequency Model of Cylindrical Lithium-Ion Batteries for Time Domain Simulation. IEEE Trans. Electromagn. Compat. 2020, 62, 1524–1533. [Google Scholar] [CrossRef]
- Wu, Y.; Saxena, S.; Xing, Y.; Wang, Y.; Li, C.; Yung, W.; Pecht, M. Analysis of Manufacturing-Induced Defects and Structural Deformations in Lithium-Ion Batteries Using Computed Tomography. Energies 2018, 11, 925. [Google Scholar] [CrossRef]
- Yao, X.-Y.; Pecht, M.G. Tab Design and Failures in Cylindrical Li-ion Batteries. IEEE Access 2019, 7, 24082–24095. [Google Scholar] [CrossRef]
- Agilent Technologies, Inc. Application Note 5989-5935EN: Ultra-Low Impedance Measurements Using 2-Port Measurements; Agilent Technologies, Inc.: Santa Clara, CA, USA, 2007. [Google Scholar]
- Pake Talei, A.; Pribyl, W.A.; Hofer, G. Considerations for a power line communication system for traction batteries. Elektrotech. Inftech. 2021, 10, 24. [Google Scholar] [CrossRef]
- Teo, Y.X.; Chen, J.; Ruddle, A.R. Predicting the RF Impedance of Cells in Parallel for Automotive Traction Battery Applications. In Proceedings of the 2019 International Symposium on Electromagnetic Compatibility—EMC EUROPE, Barcelona, Spain, 2–6 September 2019; pp. 438–443, ISBN 978-1-7281-0594-9. [Google Scholar]
- Terman, F.E. Radio Engineers′ Handbook, 1st ed.; MacGraw-Hill: New York, NY, USA, 1943. [Google Scholar]
- SIMULIA. CST Studio Suite 2021; Dassault Systemes Deutschland GmbH: Stuttgart, Germany, 2021. [Google Scholar]
- Manas, D.; Mizera, A.; Navratil, M.; Manas, M.; Ovsik, M.; Sehnalek, S.; Stoklasek, P. The Electrical, Mechanical and Surface Properties of Thermoplastic Polyester Elastomer Modified by Electron Beta Radiation. Polymers 2018, 10, 1057. [Google Scholar] [CrossRef]
- Leferink, F.B.J.; van Doom, M.J.C.M. Inductance of printed circuit board ground planes. In Proceedings of the 1993 International Symposium on Electromagnetic Compatibility, Dallas, TX, USA, 9–13 August 1993; pp. 327–329, ISBN 0-7803-1304-6. [Google Scholar]
- Grover, F.W. Inductance Calculations; Dover Publications, Inc.: Mineola, NY, USA, 2013; ISBN 9780486318356. [Google Scholar]
- Guo, M.; White, R.E. Mathematical model for a spirally-wound lithium-ion cell. J. Power Sources 2014, 250, 220–235. [Google Scholar] [CrossRef]
- Schindler, S.; Danzer, M.A. Influence of cell design on impedance characteristics of cylindrical lithium-ion cells: A model-based assessment from electrode to cell level. J. Energy Storage 2017, 12, 157–166. [Google Scholar] [CrossRef]
- Landinger, T.F.; Schwarzberger, G.; Jossen, A. High frequency impedance characteristics of cylindrical lithium-ion cells: Physical-based modeling of cell state and cell design dependencies. J. Power Sources 2021, 488, 229463. [Google Scholar] [CrossRef]
- Ruddle, A.R.; Chen, J.; Teo, Y.X. Measurement of RF impedance for automotive 18650 cylindrical lithium ion cells. In Proceedings of the 2017 International Symposium on Electromagnetic Compatibility—EMC EUROPE, Angers, France, 4–7 September 2017; pp. 1–6, ISBN 978-1-5386-0689-6. [Google Scholar]
- Brand, M.J.; Berg, P.; Kolp, E.I.; Bach, T.; Schmidt, P.; Jossen, A. Detachable electrical connection of battery cells by press contacts. J. Energy Storage 2016, 8, 69–77. [Google Scholar] [CrossRef]
- Malucci, R.D. The impact of contact resistance on high speed digital signal transmission. In Proceedings of ther Forty-Eighth IEEE Holm Conference on Electrical Contacts, Orlando, FL, USA, 21–23 October 2002; pp. 212–220, ISBN 0-7803-7433-9. [Google Scholar]
- Passerini, F.; Tonello, A.M. Secure PHY Layer Key Generation in the Asymmetric Power Line Communication Channel. Electronics 2020, 9, 605. [Google Scholar] [CrossRef]
- Galli, S. Exact conditions for the symmetry of a loop. IEEE Commun. Lett. 2000, 4, 307–309. [Google Scholar] [CrossRef]
- Antoniali, M.; Tonello, A.M.; Versolatto, F. A Study on the Optimal Receiver Impedance for SNR Maximization in Broadband PLC. J. Electr. Comput. Eng. 2013, 2013, 635086. [Google Scholar] [CrossRef]
- Illig, J.; Schmidt, J.P.; Weiss, M.; Weber, A.; Ivers-Tiffée, E. Understanding the impedance spectrum of 18650 LiFePO4-cells. J. Power Sources 2013, 239, 670–679. [Google Scholar] [CrossRef]
- Harting, N.; Wolff, N.; Röder, F.; Krewer, U. Nonlinear Frequency Response Analysis (NFRA) of Lithium-Ion Batteries. Electrochim. Acta 2017, 248, 133–139. [Google Scholar] [CrossRef]
- Lelie, M.; Braun, T.; Knips, M.; Nordmann, H.; Ringbeck, F.; Zappen, H.; Sauer, D. Battery Management System Hardware Concepts: An Overview. Appl. Sci. 2018, 8, 534. [Google Scholar] [CrossRef]
















| Element | Physical Meaning | Fitted EEC Value Range [45] | Main Frequency Range |
|---|---|---|---|
| Electrolyte, contact, and CID resistances | 30 … 40 mΩ | Broadband | |
| Ionic resistance of stacked electrode layers and electrolyte | 1.0 … 1.5 Ω | 20 kHz to 10 MHz | |
| Electrical resistance of collector windings | 3 … 7 mΩ | 20 kHz to 10 MHz | |
| Jelly roll winding inductance | 130 … 140 nH | 20 kHz to 10 MHz | |
| External inductance due to the cell’s length, tabs and bonding wires | 15 … 25 nH | Broadband | |
| Internal/ surface resistance due to skin effect | 10 … 15 Ω | above 10 MHz | |
| Internal inductance due to skin effect | 3 … 6 nH | above 10 MHz |
| Parameter | Settings | |
|---|---|---|
| PLC | Amplitude | 10 mVpp … 100 mVpp |
| Carrier frequency | 20 MHz (±1 MHz for FSK) | |
| Modulation scheme | 2-ASK, 2-FSK, 2-PSK | |
| Modulation signal | Square wave, PRBS | |
| Bit rate | 0.1 kbps … 2 Mbps | |
| Time division | Continuous bit stream, data packets | |
| EIS | Excitation current amplitude | 10 mA (0.004 C), 67 mA (0.026 C) |
| Response voltage for 976.6 Hz | 0.8 mVpp, 5.4 mVpp | |
| Measurement frequency | Sweep or single point (976.6 Hz) | |
| Measurement time per freq. point | 25 ms … 1600 ms |
Publisher’s Note: MDPI stays neutral with regard to jurisdictional claims in published maps and institutional affiliations. |
© 2021 by the authors. Licensee MDPI, Basel, Switzerland. This article is an open access article distributed under the terms and conditions of the Creative Commons Attribution (CC BY) license (http://creativecommons.org/licenses/by/4.0/).
Share and Cite
Landinger, T.F.; Schwarzberger, G.; Hofer, G.; Rose, M.; Jossen, A. Power Line Communications for Automotive High Voltage Battery Systems: Channel Modeling and Coexistence Study with Battery Monitoring. Energies 2021, 14, 1851. https://doi.org/10.3390/en14071851
Landinger TF, Schwarzberger G, Hofer G, Rose M, Jossen A. Power Line Communications for Automotive High Voltage Battery Systems: Channel Modeling and Coexistence Study with Battery Monitoring. Energies. 2021; 14(7):1851. https://doi.org/10.3390/en14071851
Chicago/Turabian StyleLandinger, Thomas F., Guenter Schwarzberger, Guenter Hofer, Matthias Rose, and Andreas Jossen. 2021. "Power Line Communications for Automotive High Voltage Battery Systems: Channel Modeling and Coexistence Study with Battery Monitoring" Energies 14, no. 7: 1851. https://doi.org/10.3390/en14071851
APA StyleLandinger, T. F., Schwarzberger, G., Hofer, G., Rose, M., & Jossen, A. (2021). Power Line Communications for Automotive High Voltage Battery Systems: Channel Modeling and Coexistence Study with Battery Monitoring. Energies, 14(7), 1851. https://doi.org/10.3390/en14071851

