Analysis of Multi-Stream Fuel Injector Flow Using Zonal Proper Orthogonal Decomposition
Abstract
1. Introduction
2. Experimental Methodology
2.1. Water Flow Test Facility and Data Acquisition
2.2. Test Geometry and Conditions Details
2.3. PIV and Further Vector Processing
2.4. Proper Orthogonal Decomposition
Zoned Proper Orthogonal Decomposition (ZPOD)
3. Comparisons of Ensemble Average and RMS Distributions
4. Analysis by Proper Orthogonal Decomposition
4.1. Comparison of Injectors’ POD Modes
4.2. Zonal Proper Orthogonal Decomposition
4.2.1. Application of ZPOD
4.2.2. Analysis of Spatial Modes
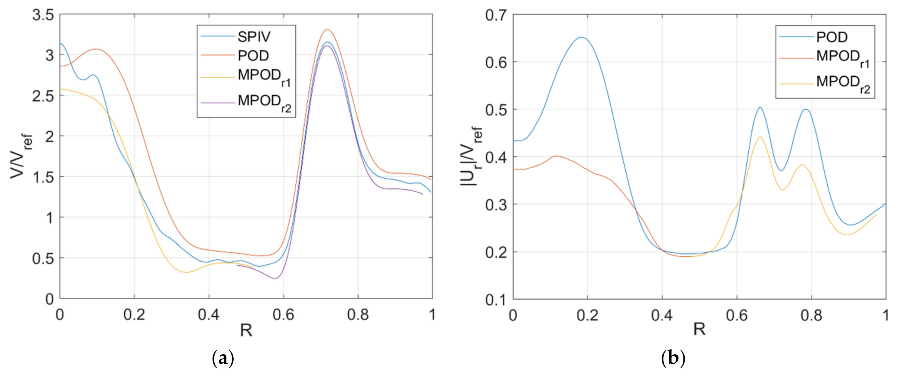
4.3. Reconstruction of Velocity Fields
5. Conclusions
- The mains flow (outer swirl stream) of the two injectors were largely similar in distribution of average velocity, with the five-stream injector (Injector A) showing a 2% radial shift in peak magnitude location compared to the two-stream case (when the inner swirl streams are blocked). However, the RMS distribution reveals an increased magnitude associated with the mains flow in Injector A. The central region, R/Rref < 0.6 has significant different mean and RMS velocity characteristics due to the presence of the central pilot. Not only does the pilot flow itself have increased magnitude and RMS, but the intermediate region between this and the mains has increased RMS in comparison to the corresponding region for Injector B.
- Analysis of POD spatial modes showed that early modes for Injector A featured structures both from the mains and pilot regions, making it difficult to assess characteristics associated with each. Frequency analysis of Injector B revealed an early mode (i.e., high energy) peak of St = 0.07 associated with rotating structures related to the mains flow. The presence of a pilot flow in Injector A interrupts this feature.
- Application of ZPOD allowed the regions of the flow field to be analysed separately, thereby identifying only the relative energy content of the structures present in each. Applying this to the mains region revealed some frequency content in the same region as in Injector B (St = 0.07); however, the peak was not as clear or strong in this injector.
- Further analysis using ZPOD of the pilot region showed that there was significant velocity fluctuation/RMS content associated with large scale movement of the coherent structures. This was not revealed in POD analysis due to the energy ranking of structures associated with two distinct prominent features in the same set, i.e., the mains and pilot jets. Capturing this behaviour in ZPOD modes resulted in reconstructions that were closer to the SPIV data for a given number of low-order spatial modes.
- Finally, by pre-masking the data prior to application of decomposition techniques, a more efficient representation of the SPIV data was obtained. By using the same number of spatial modes in the reconstruction, a more representative vector field was obtained with ZPOD compared with POD.
Author Contributions
Funding
Data Availability Statement
Acknowledgments
Conflicts of Interest
References
- Lefebvre, A.H. Gas Turbine Combustion, 2nd ed.; Taylor & Francis: London, UK, 1999. [Google Scholar]
- Gupta, A.K. Gas turbine combustion: Prospects and challenges. Energy Convers. Manag. 1997, 38, 1311–1318. [Google Scholar] [CrossRef]
- Beèr, J.M.; Chigier, N.A. Combustion Aerodynamics; Applied Science Publishers: London, UK, 1972. [Google Scholar]
- Syred, N.; Beèr, J.M. Combustion in swirling flows: A review. Combust. Flame 1974, 23, 143–201. [Google Scholar] [CrossRef]
- Lin, Y.; Lin, Y.Z.; Liu, G.E. Unsteady flow structures of a counter-rotating swirl cup. In Proceedings of the 45th AIAA/ASME/SAE/ASEE Joint Propulsion Conference & Exhibit, Denver, CO, USA, 2–5 August 2009; pp. 1–7. [Google Scholar] [CrossRef]
- Schildmacher, K.U.; Koch, R. Experimental investigation of the interaction of unsteady flow with combustion. J. Eng. Gas Turbines Power 2005, 127, 295–300. [Google Scholar] [CrossRef]
- Spencer, A.; Brend, M.; Butcher, D.; Dunham, D.; Cheng, L.; Hollis, D. Tomographic PIV in the Near Field of a Swirl-Stabilised Fuel Injector. In Proceedings of the ASME Turbo Expo 2018: Turbomachinery Technical Conference and Exposition, Volume 4A: Combustion, Fuels, and Emissions, Oslo, Norway, 11–15 June 2018. [Google Scholar] [CrossRef]
- Freitag, S. Experimental investigations of fuel preparation in a swirling airflow under realistic conditions without reaction in a combustor model with a point fuel source. CEAS Aeronaut. J. 2018. [Google Scholar] [CrossRef]
- Westerweel, J.; Scarano, F. Universal outlier detection for PIV data. Exp. Fluids 2005, 39, 1096–1100. [Google Scholar] [CrossRef]
- Lumley, J.L. The Structure of Inhomogeneous Turbulent Flows. In Atmospheric Turbulence and Radio Wave Propagation; Nauka: Moscow, Russia, 1967; pp. 166–178. [Google Scholar]
- Taira, K.; Brunton, S.L.; Dawson, S.T.M.; Rowley, C.W.; Colonius, T.; McKeon, B.J.; Schmidt, O.T.; Gordeyev, S.; Theofilis, V.; Ukeiley, L.S. Modal analysis of fluid flows: An overview. AIAA J. 2017. [Google Scholar] [CrossRef]
- Sirovich, L. Turbulence and Dynamics of Coherent Structues. Part I: Coherent Structures. Q. Appl. Math. 1987, 45, 561–571. [Google Scholar] [CrossRef]
- Berkooz, G.; Holmes, P.; Lumley, J.L. The proper orthogonal decomposition in the analysis of turbulent flows. Annu. Rev. Fluid Mech. 1993, 25, 539–575. [Google Scholar] [CrossRef]
- Adrian, R.J.; Christensen, K.T.; Liu, Z.-C. Analysis and interpretation of instantaneous turbulent velocity fields. Exp. Fluids 2000, 29, 275–290. [Google Scholar] [CrossRef]
- Pavia, G.; Passmore, M.A.; Varney, M.; Hodgson, G. Salient three-dimensional features of the turbulent wake of a simplified square-back vehicle. J. Fluid Mech. 2020. [Google Scholar] [CrossRef]
- Raiola, M.; Discetti, S.; Ianiro, A. On PIV random error minimization with optimal POD-based low-order reconstruction. Exp. Fluids 2015, 56. [Google Scholar] [CrossRef]
- Brindise, M.C.; Vlachos, P.P. Proper orthogonal decomposition truncation method for data denoising and order reduction. Exp. Fluids 2017, 58, 28. [Google Scholar] [CrossRef]
- Butcher, D.; Spencer, A. Cross-correlation of POD spatial modes for the separation of stochastic turbulence and coherent structures. Fluids 2019, 4, 134. [Google Scholar] [CrossRef]
- Butcher, D.; Spencer, A.; Chen, R. Influence of asymmetric valve strategy on large-scale and turbulent in-cylinder flows. Int. J. Engine Res. 2018, 19, 631–642. [Google Scholar] [CrossRef]
- Welch, P.D. The Use of Fast Fourier Transform for the Estimation of Power Spectra: A Method Based on Time Averaging Over Short, Modified Periodograms. IEEE Trans. Audio Electroacoust. 1967. [Google Scholar] [CrossRef]
















| Inner Edge | Outer Edge | Width | |
|---|---|---|---|
| Injector A | 0.665 | 0.780 | 0.115 |
| Injector B | 0.645 | 0.755 | 0.110 |
Publisher’s Note: MDPI stays neutral with regard to jurisdictional claims in published maps and institutional affiliations. |
© 2021 by the authors. Licensee MDPI, Basel, Switzerland. This article is an open access article distributed under the terms and conditions of the Creative Commons Attribution (CC BY) license (http://creativecommons.org/licenses/by/4.0/).
Share and Cite
Butcher, D.; Spencer, A. Analysis of Multi-Stream Fuel Injector Flow Using Zonal Proper Orthogonal Decomposition. Energies 2021, 14, 1789. https://doi.org/10.3390/en14061789
Butcher D, Spencer A. Analysis of Multi-Stream Fuel Injector Flow Using Zonal Proper Orthogonal Decomposition. Energies. 2021; 14(6):1789. https://doi.org/10.3390/en14061789
Chicago/Turabian StyleButcher, Daniel, and Adrian Spencer. 2021. "Analysis of Multi-Stream Fuel Injector Flow Using Zonal Proper Orthogonal Decomposition" Energies 14, no. 6: 1789. https://doi.org/10.3390/en14061789
APA StyleButcher, D., & Spencer, A. (2021). Analysis of Multi-Stream Fuel Injector Flow Using Zonal Proper Orthogonal Decomposition. Energies, 14(6), 1789. https://doi.org/10.3390/en14061789

