Research on Optimal Charging of Power Lithium-Ion Batteries in Wide Temperature Range Based on Variable Weighting Factors
Abstract
1. Introduction
2. Study of Battery Multi-Objective Charging Optimization
2.1. Simulation Model Building
2.1.1. Equivalent Circuit Model
2.1.2. Battery Thermal Model
2.2. Theoretical Analysis
2.3. Constraint Conditions
2.4. Optimal Charging Current Calculation by MOPSO
- 1.
- Particle population initialization and velocity initialization of each particle. Firstly, the population with random position, zero velocity and m number of individuals is generated. The position of the i-th particle is the velocity of the i-th particle is , where n represents the dimension of the search space.
- 2.
- The fitness of each particle in the population is evaluated according to the charging theory.
- 3.
- The positions of particles representing nondominated particles are stored in rep and the rep is updated.
- 4.
- Update the position and velocity of each particle according to the following formula:
- 5.
- Convergence determination. The current particle swarm fitness value is compared with the previous particle swarm fitness value. If the difference is less than the threshold α, the search procedure will be terminated.
- 6.
- Repeat steps 2 to 5 until the best value is reached or the number of iterations reaches the set value.
2.5. Multi-Objective Decision Making Evaluation Method
3. Experimental Setup and Parameter Estimation
3.1. Experimental Setup
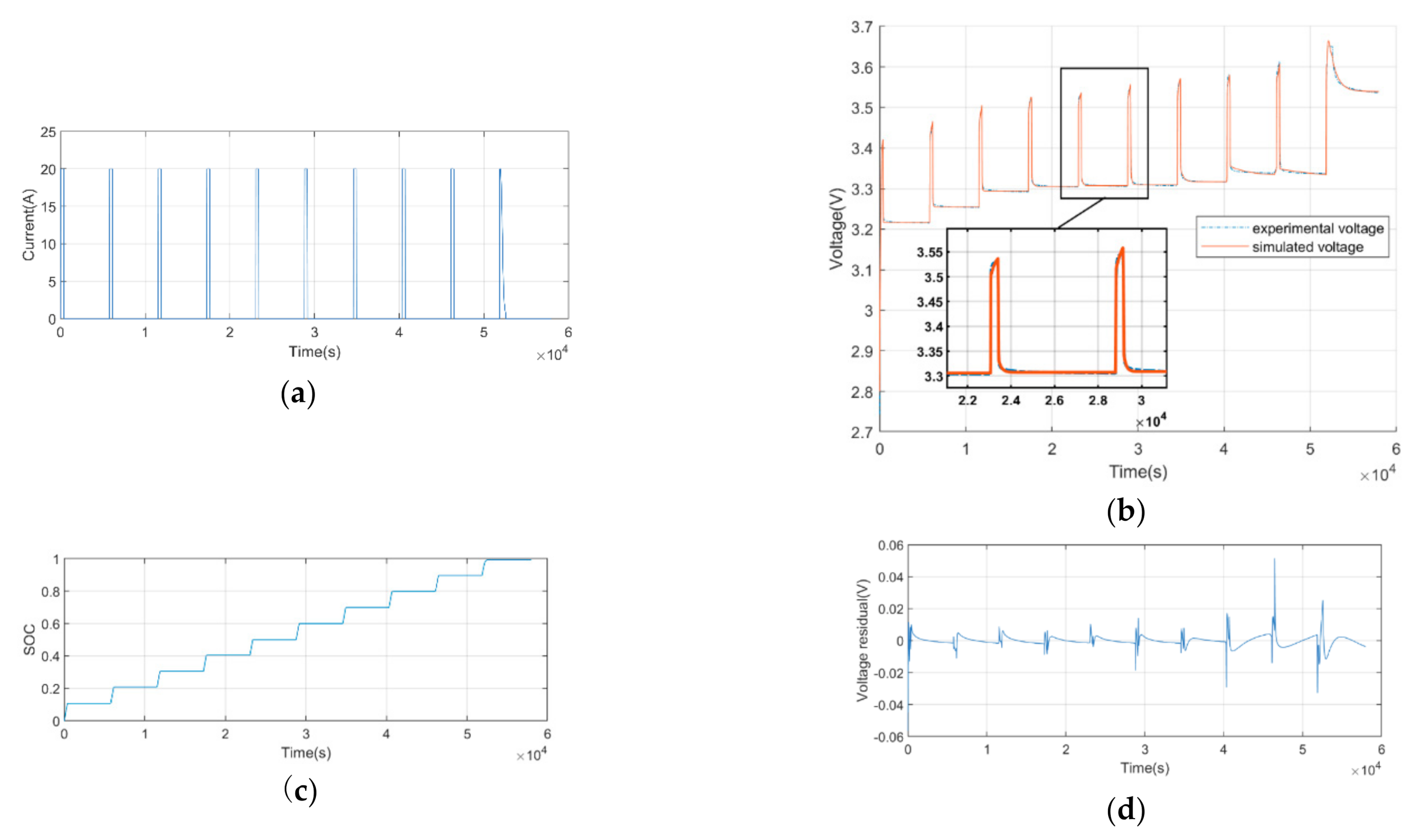
3.2. Model Parameter Estimation
4. Parameters Selection
4.1. Charging Stage Numbers
4.2. Cut-Off Voltage
5. Results and Discussion
5.1. Effect of Weight Factors
5.2. Effect of Ambient Temperatures
5.3. Optimal Charging Strategy and Verification Based on Temperature
6. Conclusions
Author Contributions
Funding
Institutional Review Board Statement
Informed Consent Statement
Data Availability Statement
Acknowledgments
Conflicts of Interest
References
- Chu, S.; Majumdar, A. Opportunities and challenges for a sustainable energy future. Nature 2012, 488, 294–303. [Google Scholar] [CrossRef] [PubMed]
- Hawkins, T.R.; Gausen, O.M.; Strømman, A.H. Environmental impacts of hybrid and electric vehicles—A review. Int. J. Life Cycle Assess. 2012, 17, 997–1014. [Google Scholar] [CrossRef]
- Chen, M.; Rincon-Mora, G.A. Accurate, compact, and power-efficient Li-ion battery charger circuit. IEEE Trans. Circuits Syst. Ii-Express Briefs 2006, 53, 1180–1184. [Google Scholar] [CrossRef]
- Rahimi-Eichi, H.; Ojha, U.; Baronti, F.; Chow, M. Battery Management System: An Overview of Its Application in the Smart Grid and Electric Vehicles. IEEE Ind. Electron. Mag. 2013, 7, 4–16. [Google Scholar] [CrossRef]
- Inoa, E.; Wang, J. PHEV Charging Strategies for Maximized Energy Saving. IEEE Trans. Veh. Technol. 2011, 60, 2978–2986. [Google Scholar] [CrossRef]
- Cope, R.; Podrazhansky, Y. The Art of Battery Charging. In Proceedings of the Battery Conference on Applications & Advances, Long Beach, CA, USA, 12–15 January 1999; pp. 233–235. [Google Scholar]
- Yang, G.; Zhang, C.; Liu, Q.; Yan, J.; Weiqiang, M.; Yong, M. An optimal charging strategy of lithium-ion batteries based on polarization and temperature rise. In Proceedings of the 2014 IEEE Conference and Expo Transportation Electrification Asia-Pacific (ITEC Asia-Pacific), Beijing, China, 31 August–3 September 2014; pp. 1–6. [Google Scholar]
- Abdel Monem, M.; Trad, K.; Omar, N.; Hegazy, O.; Mantels, B.; Mulder, G.; Van den Bossche, P.; Van Mierlo, J. Lithium-ion batteries: Evaluation study of different charging methodologies based on aging process. Appl. Energy 2015, 152, 143–155. [Google Scholar] [CrossRef]
- Abdollahi, A.; Han, X.; Raghunathan, N.; Pattipati, B.; Balasingam, B.; Pattipati, K.R.; Bar-Shalom, Y.; Card, B. Optimal charging for general equivalent electrical battery model, and battery life management. J. Energy Storage 2017, 9, 47–58. [Google Scholar] [CrossRef]
- Hu, X.; Li, S.; Peng, H.; Sun, F. Charging time and loss optimization for LiNMC and LiFePO4 batteries based on equivalent circuit models. J. Power Sources 2013, 239, 449–457. [Google Scholar] [CrossRef]
- Chen, G.; Liu, Z.; Su, H. An Optimal Fast-Charging Strategy for Lithium-Ion Batteries via an Electrochemical–Thermal Model with Intercalation-Induced Stresses and Film Growth. Energies 2020, 13, 2388. [Google Scholar] [CrossRef]
- Xu, M.; Wang, R.; Zhao, P.; Wang, X. Fast charging optimization for lithium-ion batteries based on dynamic programming algorithm and electrochemical-thermal-capacity fade coupled model. J. Power Sources 2019, 438, 227015. [Google Scholar] [CrossRef]
- Li, J.; Murphy, E.; Winnick, J.; Kohl, P.A. The effects of pulse charging on cycling characteristics of commercial lithium-ion batteries. J. Power Sources 2001, 102, 302–309. [Google Scholar] [CrossRef]
- Chen, L.-R. Design of Duty-Varied Voltage Pulse Charger for Improving Li-Ion Battery-Charging Response. IEEE Trans. Ind. Electron. 2009, 56, 480–487. [Google Scholar] [CrossRef]
- Ikeya, T.; Sawada, N.; Takagi, S.; Murakami, J.-I.; Kobayashi, K.; Sakabe, T.; Kousaka, E.; Yoshioka, H.; Kato, S.; Yamashita, M.; et al. Multi-step constant-current charging method for electric vehicle, valve-regulated, lead/acid batteries during night time for load-levelling. J. Power Sources 1998, 75, 101–107. [Google Scholar] [CrossRef]
- Ikeya, T.; Sawada, N.; Murakami, J.-I.; Kobayashi, K.; Hattori, M.; Murotani, N.; Ujiie, S.; Kajiyama, K.; Nasu, H.; Narisoko, H.; et al. Multi-step constant-current charging method for an electric vehicle nickel/metal hydride battery with high-energy efficiency and long cycle life. J. Power Sources 2002, 105, 6–12. [Google Scholar] [CrossRef]
- Zhang, C.; Jiang, J.; Gao, Y.; Zhang, W.; Liu, Q.; Hu, X. Charging optimization in lithium-ion batteries based on temperature rise and charge time. Appl. Energy 2017, 194, 569–577. [Google Scholar] [CrossRef]
- Sun, J.; Ma, Q.; Liu, R.; Wang, T.; Tang, C. A novel multiobjective charging optimization method of power lithium-ion batteries based on charging time and temperature rise. Int. J. Energy Res. 2019, 43, 7672–7681. [Google Scholar] [CrossRef]
- Min, H.; Sun, W.; Li, X.; Guo, D.; Yu, Y.; Zhu, T.; Zhao, Z. Research on the Optimal Charging Strategy for Li-Ion Batteries Based on Multi-Objective Optimization. Energies 2017, 10, 709. [Google Scholar] [CrossRef]
- Wang, S.; Liu, Y. A PSO-Based Fuzzy-Controlled Searching for the Optimal Charge Pattern of Li-Ion Batteries. IEEE Trans. Ind. Electron. 2015, 62, 2983–2993. [Google Scholar] [CrossRef]
- Surmann, H. Genetic optimization of a fuzzy system for charging batteries. IEEE Trans. Ind. Electron. 1996, 43, 541–548. [Google Scholar] [CrossRef]
- Liu, Y.H.; Teng, J.H.; Lin, Y.C. Search for an Optimal Rapid Charging Pattern for Lithium–Ion Batteries Using Ant Colony System Algorithm. IEEE Trans. Ind. Electron. 2005, 52, 1328–1336. [Google Scholar] [CrossRef]
- Liu, Y.-H.; Luo, Y.-F. Search for an Optimal Rapid-Charging Pattern for Li-Ion Batteries Using the Taguchi Approach. IEEE Trans. Ind. Electron. 2010, 57, 3963–3971. [Google Scholar] [CrossRef]
- Liu, Y.-H.; Hsieh, C.-H.; Luo, Y.-F. Search for an Optimal Five-Step Charging Pattern for Li-Ion Batteries Using Consecutive Orthogonal Arrays. IEEE Trans. Energy Convers. 2011, 26, 654–661. [Google Scholar] [CrossRef]
- Ullah, Z.; Burford, B.; Dillip, S. Fast intelligent battery charging: Neural-fuzzy approach. IEEE Aerosp. Electron. Syst. Mag. 1996, 11, 26–34. [Google Scholar] [CrossRef]
- Chen, L.-R.; Hsu, R.C.; Liu, C.-S. A Design of a Grey-Predicted Li-Ion Battery Charge System. IEEE Trans. Ind. Electron. 2008, 55, 3692–3701. [Google Scholar] [CrossRef]
- Liao, L.; Zuo, P.; Ma, Y.; Chen, X.; An, Y.; Gao, Y.; Yin, G. Effects of temperature on charge/discharge behaviors of LiFePO4 cathode for Li-ion batteries. Electrochim. Acta 2012, 60, 269–273. [Google Scholar] [CrossRef]
- Dubarry, M.; Truchot, C.; Liaw, B.Y.; Gering, K.; Sazhin, S.; Jamison, D.; Michelbacher, C. Evaluation of commercial lithium-ion cells based on composite positive electrode for plug-in hybrid electric vehicle applications. Part II. Degradation mechanism under 2C cycle aging. J. Power Sources 2011, 196, 10336–10343. [Google Scholar] [CrossRef]
- Wang, A.; Kadam, S.; Li, H.; Shi, S.; Qi, Y. Review on modeling of the anode solid electrolyte interphase (SEI) for lithium-ion batteries. NPJ Comput. Mater. 2018, 4, 1–26. [Google Scholar] [CrossRef]
- Harris, S.J.; Timmons, A.; Baker, D.R.; Monroe, C. Direct in situ measurements of Li transport in Li-ion battery negative electrodes. Chem. Phys. Lett. 2010, 485, 265–274. [Google Scholar] [CrossRef]
- Onda, K.; Ohshima, T.; Nakayama, M.; Fukuda, K.; Araki, T. Thermal behavior of small lithium-ion battery during rapid charge and discharge cycles. J. Power Sources 2006, 158, 535–542. [Google Scholar] [CrossRef]
- Jiang, J.; Liu, Q.; Zhang, C.; Zhang, W. Evaluation of Acceptable Charging Current of Power Li-Ion Batteries Based on Polarization Characteristics. IEEE Trans. Ind. Electron. 2014, 61, 6844–6851. [Google Scholar] [CrossRef]
- Chamaani, S.; Abrishamian, M.S.; Mirtaheri, S.A. Time-Domain Design of UWB Vivaldi Antenna Array Using Multiobjective Particle Swarm Optimization. IEEE Antennas Wirel. Propag. Lett. 2010, 9, 666–669. [Google Scholar] [CrossRef]
- Shen, Y.; He, Z.; Liu, D.; Xu, B. Optimization of fuel consumption and emissions for auxiliary power unit based on multi-objective optimization model. Energies 2016, 9, 90. [Google Scholar] [CrossRef]
- Coello, C.A.C.; Pulido, G.T.; Lechuga, M.S. Handling multiple objectives with particle swarm optimization. IEEE Trans. Evol. Comput. 2004, 8, 256–279. [Google Scholar] [CrossRef]
- Huria, T.; Ceraolo, M.; Gazzarri, J.; Jackey, R. High fidelity electrical model with thermal dependence for characterization and simulation of high power lithium battery cells. In Proceedings of the 2012 IEEE International Electric Vehicle Conference (IEVC), Greenville, SC, USA, 4–8 March 2012. [Google Scholar]
- Chen, Z.; Shu, X.; Xiao, R.; Yan, W.; Liu, Y.; Shen, J. Optimal charging strategy design for lithium-ion batteries considering minimization of temperature rise and energy loss. Int. J. Energy Res. 2019, 43, 4344–4358. [Google Scholar] [CrossRef]
















| Capacity (Ah) | Weight (kg) | Size (mm) | Average Heat Capacity (J/kg·k) | Charge Voltage Limit (V) | Discharge Voltage Limit (V) |
|---|---|---|---|---|---|
| 20 | 0.512 | 225 × 162 × 7 | 810.53 | 3.65 | 2.0 |
| Tamb | Charging Time (h) | Temperature Rise (°C) | Uncharged Capacity (Ah) | |||
|---|---|---|---|---|---|---|
| Fixed | Variable | Fixed | Variable | Fixed | Variable | |
| 0 °C | 2.311 | 1.829 | 1.53 | 3.09 | 2 | 2 |
| 10 °C | 1.873 | 1.873 | 2.65 | 2.65 | 2 | 2 |
| 25 °C | 1.01 | 1.763 | 4.81 | 1.36 | 2 | 2 |
| Tamb | Charging Time (h) | Temperature Rise (°C) | Uncharged Capacity (Ah) | |||
|---|---|---|---|---|---|---|
| Fixed | Variable | Fixed | Variable | Fixed | Variable | |
| 0 °C | 2.311 | 1.317 | 1.53 | 3.25 | 2 | 3.56 |
| 10 °C | 1.873 | 0.778 | 2.65 | 5.56 | 2 | 4 |
| 25 °C | 1.01 | 0.592 | 4.81 | 8.55 | 2 | 3.96 |
Publisher’s Note: MDPI stays neutral with regard to jurisdictional claims in published maps and institutional affiliations. |
© 2021 by the authors. Licensee MDPI, Basel, Switzerland. This article is an open access article distributed under the terms and conditions of the Creative Commons Attribution (CC BY) license (http://creativecommons.org/licenses/by/4.0/).
Share and Cite
Wang, B.; Min, H.; Sun, W.; Yu, Y. Research on Optimal Charging of Power Lithium-Ion Batteries in Wide Temperature Range Based on Variable Weighting Factors. Energies 2021, 14, 1776. https://doi.org/10.3390/en14061776
Wang B, Min H, Sun W, Yu Y. Research on Optimal Charging of Power Lithium-Ion Batteries in Wide Temperature Range Based on Variable Weighting Factors. Energies. 2021; 14(6):1776. https://doi.org/10.3390/en14061776
Chicago/Turabian StyleWang, Boshi, Haitao Min, Weiyi Sun, and Yuanbin Yu. 2021. "Research on Optimal Charging of Power Lithium-Ion Batteries in Wide Temperature Range Based on Variable Weighting Factors" Energies 14, no. 6: 1776. https://doi.org/10.3390/en14061776
APA StyleWang, B., Min, H., Sun, W., & Yu, Y. (2021). Research on Optimal Charging of Power Lithium-Ion Batteries in Wide Temperature Range Based on Variable Weighting Factors. Energies, 14(6), 1776. https://doi.org/10.3390/en14061776
