Analysis and Pareto Frontier Based Tradeoff Design of an Integrated Magnetic Structure for a CLLC Resonant Converter
Abstract
1. Introduction
2. Review of the Conventional Method of Magnetic Integration in the CLLC Resonant Converter: Using the Leakage Inductances as the Resonant Inductances
3. Proposed Integrated Magnetic Structure for the CLLC Resonant Converters
3.1. Proposed Integrated Magnetic Structure for the CLLC Resonant Converters
Derivation of Lr1, Lr2, Lm, M1m and M2m
3.2. Comparison with the Conventional Integrated Magnetic Structure for a CLLC Resonant Converter (Using the Leakage Inductances as the Resonant Inductances)
4. Pareto Frontier Based Tradeoff Design of the Proposed Integrated Magnetic Structure
4.1. Derivation of the Core Loss (Pc)
4.2. Effects of ws, wc, and wd on the Total Core Loss Pc
4.3. Tradeoff Design of the Proposed Integrated Magnetic Structure Based on Pareto Optimization Procedure
- (a)
- Flowchart of Pareto optimization procedure for the proposed integrated magnetic structure
- (b)
- Application of Pareto optimization procedure for the proposed integrated magnetic structure
5. Simulation and Experimental Validations of the Proposed Integrated Magnetic Structure and the Pareto Optimization Procedure
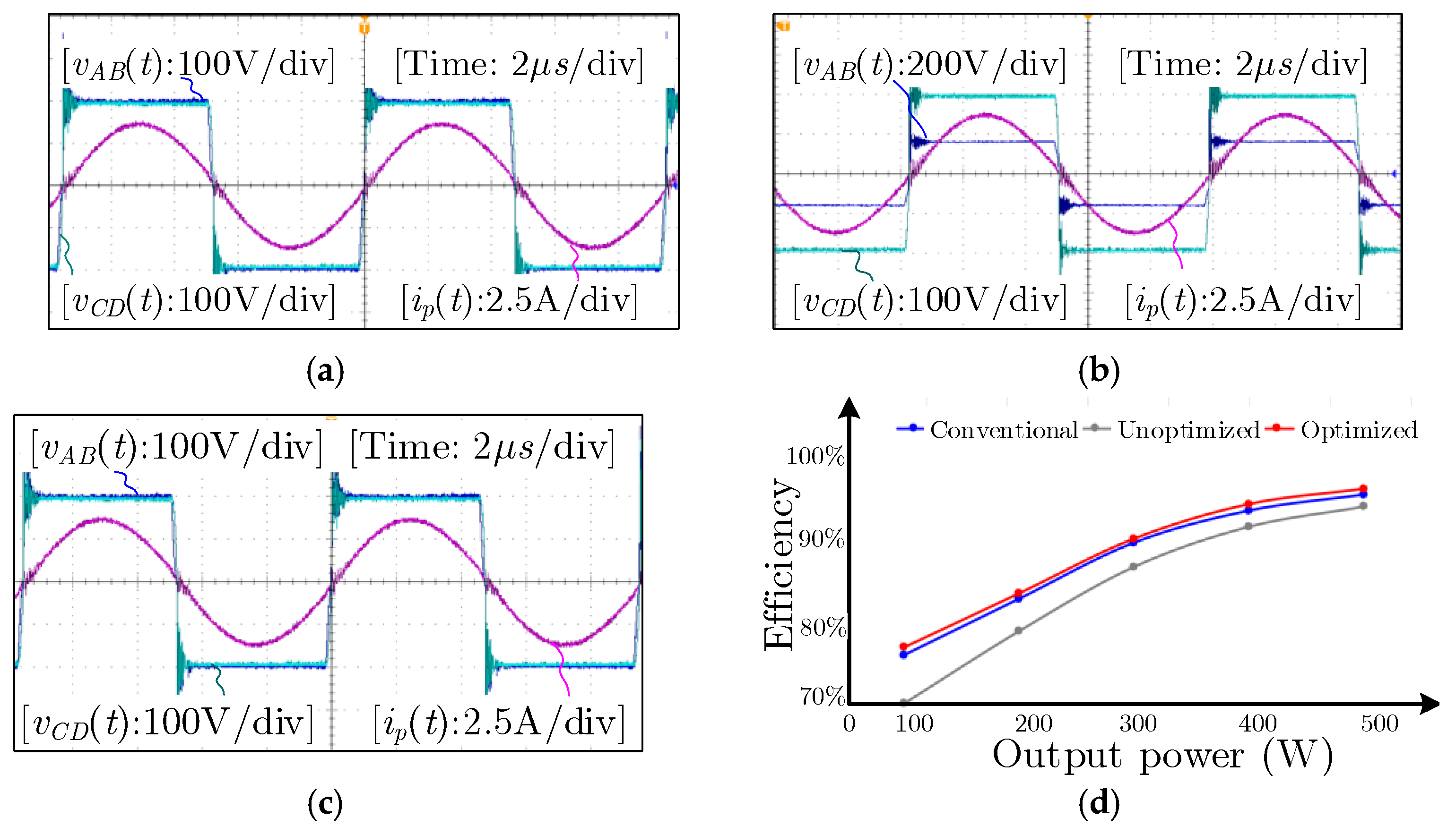
- Conventional design, Point B, as shown in Figure 12, where the leakage inductances are used as the resonant inductances.
- Unoptimized design of the proposed integrated magnetic structure, Point C, as shown in Figure 12.
- Optimal design of the proposed integrated magnetic structure based on Pareto frontier, Point A, as shown in Figure 12.
5.1. Simulation Validations
5.2. Experimental Validation of the Proposed Integrated Magnetic Structure and Its Corresponding Pareto Optimization Procedure
- (a)
- Working principle validations of the proposed integrated magnetic structure
- (b)
- The power efficiency of the CLLC resonant converter with the proposed magnetic integration
6. Conclusions
Author Contributions
Funding
Institutional Review Board Statement
Informed Consent Statement
Conflicts of Interest
Nomenclature
| Turns ratio of a transformer, see Figure 1. | |
| Parallel resonant inductor, also the magnetizing inductance of the transformer, see Figure 1 and Table 1. (H) | |
| Resonance inductance, see Figure 1 and Table 1. (H) | |
| Resonance capacitor, see Figure 1. (F) | |
| Thickness of the air gap, see Figure 2a,b (m) | |
| Distance of the primary winding and secondary winding, see Figure 2b and Figure 11. (m) | |
| Height of the magnetic core, see Figure 2b. (m) | |
| Self-inductance and positively coupled, see Figure 2c and Figure 4. (H) | |
| Number of turns of and , respectively, see Figure 2c and Figure 4. | |
| Thickness of the air gap in the side legs, see Figure 2c. (m) | |
| Magneto-motive force, see Figure 3. | |
| Magnetic energy, see (1). (J) | |
| Current excitation to the primary winding, see (1). (A) | |
| Number of turns in the primary winding and secondary winding, respectively, see (1), (2) and (3). | |
| Number of layers in the primary winding and secondary winding, respectively, see (1), (2) and (3). | |
| Depth of the window, see (1), (2) and (3). (m) | |
| Width of the window, see (1), (2) and (3). (m) | |
| Thickness of the primary winding and secondary winding, respectively, see (1), (2) and (3). (m) | |
| Thickness of the insulation, see (1), (2) and (3). (m) | |
| Magnetic flux generated by , and , respectively, see Figure 4. (Wb) | |
| Magnetic reluctances of the central leg, side legs and yokes (including the air gaps), see Figure 5. (Ω) | |
| Magnetic flux in the left-side leg and right-side leg, respectively, see Figure 5. (Wb) | |
| Current excitation of and , respectively, see Figure 5. (A) | |
| Mutual inductance between and , see (6). (H) | |
| Mutual inductance between and , see (6). (H) | |
| Mutual inductance between and , see (8). (H) | |
| Number of turns in the primary winding and secondary winding, respectively, see Table 1. | |
| Cross-sectional area of the side leg and central leg, respectively, see Table 1 and Figure 7. (m2) | |
| Parameters of the magnetic core, see Table 1 and Table 4. | |
| Width of the side legs and central leg, respectively, see Figure 7. (m) | |
| Width, height and depth of the window, respectively, see Figure 7. (m) | |
| Peak values of , and , respectively, see (13a), (13b) and (13c). (A) | |
| Peak values of , and , respectively, see (13a), (13b) and (13c). (T) | |
| Total core loss of the magnetic core, see (14) and Figure 12. (W) | |
| Switching frequency, see (14) and Table 3. (Hz) | |
| DC input and output voltage, see Table 3. (V) | |
| Output power, see Table 3. (W) | |
| Ratio of and the original core loss (5.8W), see Figure 8d, Figure 9d and Figure 10d | |
| 10.4 mm, the original width of the central leg, see Figure 8d (m) | |
| 5.2 mm, the original width of the side leg, see Figure 9d. (m) | |
| 101.6 mm, the original depth of the window, see Figure 10d (m) | |
| Volume of the magnetic core, see Figure 12. (m3) | |
| Output voltage of the full bridge in the primary side and secondary side, respectively, see Figure 16. (V) | |
| Current in the primary side, see Figure 16. (A) |
References
- Zhang, Z.; Ouyang, Z.; Thomsen, O.C.; Andersen, M.A.E. Analysis and Design of a Bidirectional Isolated DC–DC Converter for Fuel Cells and Supercapacitors Hybrid System. IEEE Trans. Power Electron. 2012, 27, 848–859. [Google Scholar] [CrossRef]
- Ouyang, Z.; Zhang, Z.; Thomsen, O.C.; Andersen, M.A.E. Planar-Integrated Magnetics (PIM) Module in Hybrid Bidirectional DC–DC Converter for Fuel Cell Application. IEEE Trans. Power Electron. 2011, 26, 3254–3264. [Google Scholar] [CrossRef]
- Huang, L.; Zhang, Z.; Andersen, M.A.E. Analytical Switching Cycle Modeling of Bidirectional High-Voltage Flyback Converter for Capacitive Load Considering Core Loss Effect. IEEE Trans. Power Electron. 2016, 31, 470–487. [Google Scholar] [CrossRef]
- Thummala, P.; Schneider, H.; Zhang, Z.; Andersen, M.A.E. Investigation of Transformer Winding Architectures for High-Voltage (2.5 kV) Capacitor Charging and Discharging Applications. IEEE Trans. Power Electron. 2016, 31, 5786–5796. [Google Scholar] [CrossRef]
- Zhao, B.; Song, Q.; Liu, W.; Sun, Y. Overview of Dual-Active-Bridge Isolated Bidirectional DC–DC Converter for High-Frequency-Link Power-Conversion System. IEEE Trans. Power Electron. 2014, 29, 4091–4106. [Google Scholar] [CrossRef]
- Jung, J.H.; Kim, H.S.; Ryu, M.H.; Baek, J.W. Design Methodology of Bidirectional CLLC Resonant Converter for High-Frequency Isolation of DC Distribution Systems. IEEE Trans. Power Electron. 2013, 28, 1741–1755. [Google Scholar] [CrossRef]
- Huang, J.; Zhang, X.; Shuai, Z.; Zhang, X.; Wang, P.; Koh, L.H.; Xiao, J.; Tong, X. Robust Circuit Parameters Design for the CLLC-Type DC Transformer in the Hybrid AC/DC Microgrid. IEEE Trans. Ind. Electron. 2018, 66, 1906–1918. [Google Scholar] [CrossRef]
- Ryu, M.H.; Kim, H.S.; Baek, J.W.; Kim, H.G.; Jung, J.H. Effective Test Bed of 380-V DC Distribution System Using Isolated Power Converters. IEEE Trans. Ind. Electron. 2015, 62, 4525–4536. [Google Scholar] [CrossRef]
- Gao, Y.; Sun, K.; Lin, X.; Guo, Z. A Phase-Shift-Based Synchronous Rectification Scheme for Bi-Directional High-Step-Down CLLC Resonant Converters. In Proceedings of the 2018 IEEE Applied Power Electronics Conference and Exposition (APEC), San Antonio, TX, USA, 4–8 March 2018; pp. 1571–1576. [Google Scholar]
- Liu, G.; Li, D.; Zhang, J.Q.; Hu, B.; Jia, M.L. Bidirectional CLLC Resonant DC-DC Converter with Integrated Magnetic for OBCM Application. In Proceedings of the 2015 IEEE International Conference on Industrial Technology (ICIT), Seville, Spain, 17–19 March 2015; pp. 946–951. [Google Scholar]
- Li, B.; Li, Q.; Lee, F.C. A WBG based three phase 12.5 kW 500 kHz CLLC resonant converter with integrated PCB winding transformer. In Proceedings of the 2018 IEEE Applied Power Electronics Conference and Exposition (APEC), San Antonio, TX, USA, 4–8 March 2018; pp. 469–475. [Google Scholar]
- Zou, S.; Lu, J.; Mallik, A.; Khaligh, A. Bi-Directional CLLC Converter with Synchronous Rectification for Plug-In Electric Vehicles. IEEE Trans. Ind. Appl. 2018, 54, 998–1005. [Google Scholar] [CrossRef]
- Zahid, Z.U.; Dalala, Z.M.; Chen, R.; Chen, B.; Lai, J.S. Design of Bidirectional DC–DC Resonant Converter for Vehicle-to-Grid (V2G) Applications. IEEE Trans. Transp. Electrif. 2015, 1, 232–244. [Google Scholar] [CrossRef]
- He, P.; Khaligh, A. Design of 1 kW Bidirectional Half-Bridge CLLC Converter for Electric Vehicle Charging Systems. In Proceedings of the 2016 IEEE International Conference on Power Electronics, Drives and Energy Systems (PEDES), Trivandrum, Kerala, India, 14–17 December 2016; pp. 1–6. [Google Scholar]
- Ouyang, Z.; Zhang, J.; Hurley, W.G. Calculation of Leakage Inductance for High-Frequency Transformers. IEEE Trans. Power Electron. 2015, 30, 5769–5775. [Google Scholar] [CrossRef]
- Zhang, J.; Ouyang, Z.; Duffy, M.C.; Andersen, M.A.E.; Hurley, W.G. Leakage Inductance Calculation for Planar Transformers with a Magnetic Shunt. IEEE Trans. Ind. Appl. 2014, 50, 4107–4112. [Google Scholar] [CrossRef]
- Zhao, B.; Ouyang, Z.; Duffy, M.; Andersen, M.A.E.; Hurley, W.G. An Improved Partially Interleaved Transformer Structure for High-voltage High-frequency Multiple-output Applications. IEEE Trans. Ind. Electron. 2018, 66, 2691–2702. [Google Scholar] [CrossRef]
- Deb, K.; Pratap, A.; Agarwal, S.; Meyarivan, T. A fast and elitist multiobjective genetic algorithm: NSGA-II. IEEE Trans. Evol. Comput. 2002, 6, 182–197. [Google Scholar] [CrossRef]
- Andersen, T.M.; Krismer, F.; Kolar, J.W.; Toifl, T.; Menolfi, C.; Kull, L.; Morf, T.; Kossel, M.; Brändli, M.; Francese, P.A. Modeling and Pareto Optimization of On-Chip Switched Capacitor Converters. IEEE Trans. Power Electron. 2017, 32, 363–377. [Google Scholar] [CrossRef]

















| Symbol | Values | Symbol | Values |
|---|---|---|---|
| Lrp | 30 µH | Aes | 519 mm2 |
| Lrs | 30 µH | Aec | 1038 mm2 |
| Lm | 550 µH | Kc | 1.8714 |
| Np | 16 | α | 0.8258 |
| Ns | 16 | β | 2.322 |
| Symbol | Values | Symbol | Values |
|---|---|---|---|
| wc | 10.4 mm | ww | 21.7 mm |
| ws | 5.2 mm | wb | 10.4 mm |
| wd | 101.6 mm | Aes | 519 mm2 |
| Aec | 1038 mm2 | - | - |
| Symbol | Values | Symbol | Values |
|---|---|---|---|
| Vin | 200 V | Vo | 200 V |
| fs | 100 kHz | Po | 500 W |
| Lrp | 30 µH | Lrps | 30 µH |
| Lm | 550 µH | Ir1pk | 4.05 A |
| Ir2pk | 4.0 A | Impk | 0.54 A |
| Parameters | Conventional | Unoptimized | Optimized |
|---|---|---|---|
| Lr1 (µH) | 29.8 | 14.82 | 14.86 |
| Lr2 (µH) | 29.8 | 14.82 | 14.86 |
| Lrp (µH) | 29.8 | 29.6 | 29.7 |
| Lrs (µH) | 29.8 | 29.6 | 29.7 |
| Lm (µH) | 542 | 545 | 543 |
Publisher’s Note: MDPI stays neutral with regard to jurisdictional claims in published maps and institutional affiliations. |
© 2021 by the authors. Licensee MDPI, Basel, Switzerland. This article is an open access article distributed under the terms and conditions of the Creative Commons Attribution (CC BY) license (http://creativecommons.org/licenses/by/4.0/).
Share and Cite
Wang, G.; Hu, Q.; Xu, C.; Zhao, B.; Su, X. Analysis and Pareto Frontier Based Tradeoff Design of an Integrated Magnetic Structure for a CLLC Resonant Converter. Energies 2021, 14, 1756. https://doi.org/10.3390/en14061756
Wang G, Hu Q, Xu C, Zhao B, Su X. Analysis and Pareto Frontier Based Tradeoff Design of an Integrated Magnetic Structure for a CLLC Resonant Converter. Energies. 2021; 14(6):1756. https://doi.org/10.3390/en14061756
Chicago/Turabian StyleWang, Gang, Qiyu Hu, Chunyu Xu, Bin Zhao, and Xiaobao Su. 2021. "Analysis and Pareto Frontier Based Tradeoff Design of an Integrated Magnetic Structure for a CLLC Resonant Converter" Energies 14, no. 6: 1756. https://doi.org/10.3390/en14061756
APA StyleWang, G., Hu, Q., Xu, C., Zhao, B., & Su, X. (2021). Analysis and Pareto Frontier Based Tradeoff Design of an Integrated Magnetic Structure for a CLLC Resonant Converter. Energies, 14(6), 1756. https://doi.org/10.3390/en14061756
