Dairy Manure Digestate Age Increases Ultrasound Disintegration Efficiency at Low Specific Energies
Abstract
1. Introduction
2. Materials and Methods
2.1. Digestate Preparation
2.2. Biochemical Parameters
2.3. Ultrasonication Experiment
2.4. Efficiency Calculation of US Disintegration
2.5. Statistical Methods
- The root mean square error of calibration (RMSEC) was used to determine the accuracy of the calibration of the model.
- The coefficient of determination, R2 [0, 1]. A model with R2 > 0.7 can be considered as a good fit [21].
- Q2cum [−∞, 1] or the cumulative percentage of the variation in the Y matrix that could be explained by the variation on the X matrix of the partial dataset used during the validation part of cross-validation. A model with Q2cum > 0.5 is considered to have good predictivity [22].
3. Results
3.1. Effect of Digestate Age on Biochemical Parameters
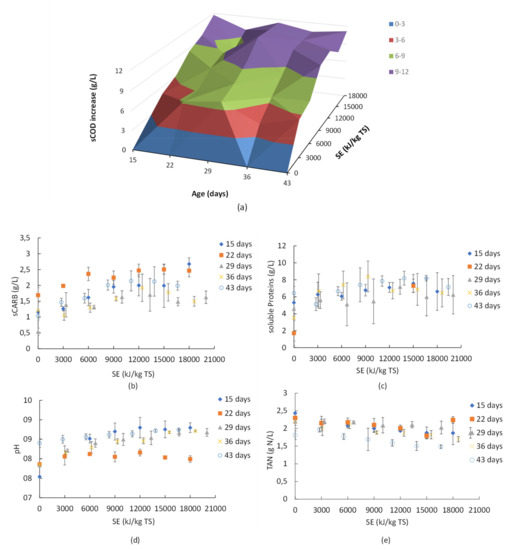
3.2. Effect of US Disintegration on the Biochemical Parameters
4. Discussion
4.1. Effect of Digestate Age on US Disintegration Efficiency
4.2. Numerical Modeling of US Disintegration
5. Conclusions
Supplementary Materials
Author Contributions
Funding
Institutional Review Board Statement
Informed Consent Statement
Acknowledgments
Conflicts of Interest
References
- Appels, L.; Lauwers, J.; Degrève, J.; Helsen, L.; Lievens, B.; Willems, K.; Van Impe, J.; Dewil, R. Anaerobic digestion in global bio-energy production: Potential and research challenges. Renew. Sustain. Energy Rev. 2011, 15, 4295–4301. [Google Scholar] [CrossRef]
- Angelidaki, I.; Ahring, B. Methods for increasing the biogas potential from the recalcitrant organic matter contained in manure. Water Sci. Technol. 2000, 41, 189–194. [Google Scholar] [CrossRef] [PubMed]
- Carrere, H.; Antonopoulou, G.; Affes, R.; Passos, F.; Battimelli, A.; Lyberatos, G.; Ferrer, I. Review of feedstock pretreatment strategies for improved anaerobic digestion: From lab-scale research to full-scale application. Bioresour. Technol. 2016, 199, 386–397. [Google Scholar] [CrossRef] [PubMed]
- Monlau, F.; Barakat, A.; Trably, E.; Dumas, C.; Steyer, J.-P.; Carrère, H. Lignocellulosic Materials into Biohydrogen and Biomethane: Impact of Structural Features and Pretreatment. Crit. Rev. Environ. Sci. Technol. 2013, 43, 260–322. [Google Scholar] [CrossRef]
- Lindner, J.; Zielonka, S.; Oechsner, H.; Lemmer, A. Effects of mechanical treatment of digestate after anaerobic digestion on the degree of degradation. Bioresour. Technol. 2015, 178, 194–200. [Google Scholar] [CrossRef]
- Mönch-Tegeder, M.; Lemmer, A.; Jungbluth, T.; Oechsner, H. Effects of full-scale substrate pretreatment with a cross-flow grinder on biogas production. Agric. Eng. Int. CIGR J. 2014, 16, 138–147. [Google Scholar]
- Houtmeyers, S.; Degrève, J.; Willems, K.; Dewil, R.; Appels, L. Comparing the influence of low power ultrasonic and microwave pre-treatments on the solubilisation and semi-continuous anaerobic digestion of waste activated sludge. Bioresour. Technol. 2014, 171, 44–49. [Google Scholar] [CrossRef]
- Garoma, T.; Pappaterra, D. An investigation of ultrasound effect on digestate solubilization and methane yield. Waste Manag. 2018, 71, 728–733. [Google Scholar] [CrossRef]
- Somers, M.H.; Azman, S.; Sigurnjak, I.; Ghyselbrecht, K.; Meers, E.; Meesschaert, B.; Appels, L. Effect of digestate disintegration on anaerobic digestion of organic waste. Bioresour. Technol. 2018, 268, 568–576. [Google Scholar] [CrossRef] [PubMed]
- Boni, M.R.; D’Amato, E.; Polettini, A.; Pomi, R.; Rossi, A. Effect of ultrasonication on anaerobic degradability of solid waste digestate. Waste Manag. 2016, 48, 209–217. [Google Scholar] [CrossRef]
- Ortega-Martinez, E.; Sapkaite, I.; Fdz-Polanco, F.; Donoso-Bravo, A. From pre-treatment toward inter-treatment. Getting some clues from sewage sludge biomethanation. Bioresour. Technol. 2016, 212, 227–235. [Google Scholar] [CrossRef] [PubMed]
- Cesaro, A.; Belgiorno, V.; Siciliano, A.; Guida, M. The sustainable recovery of the organic fraction of municipal solid waste by integrated ozonation and anaerobic digestion. Resour. Conserv. Recycl. 2019, 141, 390–397. [Google Scholar] [CrossRef]
- Möller, K.; Müller, T. Effects of anaerobic digestion on digestate nutrient availability and crop growth: A review. Eng. Life Sci. 2012, 12, 242–257. [Google Scholar] [CrossRef]
- Azman, S.; Milh, H.; Somers, M.H.; Zhang, H.; Huybrechts, I.; Meers, E.; Meesschaert, B.; Dewil, R.; Appels, L. Ultrasound-assisted digestate treatment of manure digestate for increased biogas production in small pilot scale anaerobic digesters. Renew. Energy 2020, 152, 664–673. [Google Scholar] [CrossRef]
- Tyagi, V.K.; Lo, S.-L.; Appels, L.; Dewil, R. Ultrasonic Treatment of Waste Sludge: A Review on Mechanisms and Applications. Crit. Rev. Environ. Sci. Technol. 2014, 44, 1220–1288. [Google Scholar] [CrossRef]
- Somers, M.H.; Azman, S.; Bollansée, G.; Goedemé, T.; Leermakers, M.; Alonso-Fariñas, B.; Appels, L. Behavior of trace elements and micronutrients in manure digestate during ozone treatment. Chemosphere 2020, 252, 126477. [Google Scholar] [CrossRef] [PubMed]
- Zweens, J.; Bouman, P.R. Simple and accurate determination of urinary glucose excretion with anthrone reagent. Diabetologia 1968, 4, 278–280. [Google Scholar] [CrossRef]
- Luo, X.-J.; Liu, J.; Luo, Y.; Zhang, X.-L.; Wu, J.-P.; Lin, Z.; Chen, S.-J.; Mai, B.-X.; Yang, Z.-Y. Polybrominated diphenyl ethers (PBDEs) in free-range domestic fowl from an e-waste recycling site in South China: Levels, profile and human dietary exposure. Environ. Int. 2009, 35, 253–258. [Google Scholar] [CrossRef]
- Farahani, H.A.; Rahiminezhad, A.; Same, L.; Immannezhad, K. A Comparison of Partial Least Squares (PLS) and Ordinary Least Squares (OLS) regressions in predicting of couples mental health based on their communicational patterns. Procedia Soc. Behav. Sci. 2010, 5, 1459–1463. [Google Scholar] [CrossRef]
- Sanchez, G. plsdepot: Partial Least Squares (PLS) Data Analysis Methods. Package Version 0.1.17. 2012, pp. 1–34. Available online: https://cran.r-project.org/web/packages/plsdepot/plsdepot.pdf (accessed on 9 November 2020).
- Granato, D.; de Araûjo Calado, V.M. The use and importance of design of experiments (DOE) in process modelling in food science and technology. Math. Stat. Methods Food Sci. Technol. 2013, 1–18. [Google Scholar] [CrossRef]
- Jimenez, J.; Gonidec, E.; Rivero, J.A.C.; Latrille, E.; Vedrenne, F.; Steyer, J.-P. Prediction of anaerobic biodegradability and bioaccessibility of municipal sludge by coupling sequential extractions with fluorescence spectroscopy: Towards ADM1 variables characterization. Water Res. 2014, 50, 359–372. [Google Scholar] [CrossRef] [PubMed]
- Li, Y.; Luo, W.; Lu, J.; Zhang, X.; Li, S.; Wu, Y.; Li, G. Effects of digestion time in anaerobic digestion on subsequent digestate composting. Bioresour. Technol. 2018, 267, 117–125. [Google Scholar] [CrossRef]
- Uludag-Demirer, S.; Demirer, G.; Chen, S. Ammonia removal from anaerobically digested dairy manure by struvite precipitation. Process. Biochem. 2005, 40, 3667–3674. [Google Scholar] [CrossRef]
- Azman, S.; Khadem, A.F.; Van Lier, J.B.; Zeeman, G.; Plugge, C.M. Presence and Role of Anaerobic Hydrolytic Microbes in Conversion of Lignocellulosic Biomass for Biogas Production. Crit. Rev. Environ. Sci. Technol. 2015, 45, 2523–2564. [Google Scholar] [CrossRef]
- Lambert, N.; Smets, I.; Van Impe, J.; Dewil, R. Modelling of the Ultrasonic Disintegration of Activated Sludge; Elsevier BV: Amsterdam, The Netherlands, 2014; Volume 47, pp. 7122–7127. [Google Scholar]
- Cho, S.-K.; Lee, M.-K.; Kim, N.-H.; Yun, Y.-M.; Jung, K.-W.; Shin, H.-S.; Oh, S.-E. Enhanced anaerobic digestion of livestock waste by ultrasonication: A tool for ammonia removal and solubilization. Korean J. Chem. Eng. 2014, 31, 619–623. [Google Scholar] [CrossRef]
- Pilli, S.; Bhunia, P.; Yan, S.; Leblanc, R.; Tyagi, R.; Surampalli, R. Ultrasonic pretreatment of sludge: A review. Ultrason. Sonochem. 2011, 18, 1–18. [Google Scholar] [CrossRef]
- Mook, W. Chemistry of carbonic acid in water. Environ. Isot. Hydrol. Cycle Princ. Appl. 2000, 1, 143–165. [Google Scholar]
- Batstone, D.; Pavlostathis, S.; Jensen, P.; Angelidaki, I. Comment on “Parameter Identification and Modeling of the Biochemical Methane Potential of Waste Activated Sludge”(1). Environ. Sci. Technol. 2011, 45, 7596–7597. [Google Scholar] [CrossRef][Green Version]
- Akin, B.; Khanal, S.K.; Sung, S.; Grewell, D.; Van Leeuwen, J. Ultrasound pre-treatment of waste activated sludge. Water Supply 2006, 6, 35–42. [Google Scholar] [CrossRef]
- Lee, I.; Han, J.-I. The effects of waste-activated sludge pretreatment using hydrodynamic cavitation for methane production. Ultrason. Sonochem. 2013, 20, 1450–1455. [Google Scholar] [CrossRef] [PubMed]
- Zubrowska-Sudol, M.; Dzido, A.; Garlicka, A.; Krawczyk, P.; Stępień, M.; Umiejewska, K.; Walczak, J.; Wołowicz, M.; Sytek-Szmeichel, K. Innovative Hydrodynamic Disintegrator Adjusted to Agricultural Substrates Pre-treatment Aimed at Methane Production Intensification—CFD Modelling and Batch Tests. Energies 2020, 13, 4256. [Google Scholar] [CrossRef]
- Zhang, G.; Zhang, P.; Gao, J.; Chen, Y. Using acoustic cavitation to improve the bio-activity of activated sludge. Bioresour. Technol. 2008, 99, 1497–1502. [Google Scholar] [CrossRef] [PubMed]






| Digestate Age (Days) | Applied Specific Energies (kJ/kg TS) | ||||||
|---|---|---|---|---|---|---|---|
| 15 | 0 | 3000 | 6000 | 9000 | 12,000 | 15,000 | 18,000 |
| 22 | 0 | 3000 | 6000 | 9000 | 12,000 | 15,000 | 18,000 |
| 29 | 0 | 3330 | 6670 | 10,000 | 13,340 | 16,670 | 20,000 |
| 36 | 0 | 3100 | 6204 | 9310 | 12,410 | 15,510 | 18,610 |
| 43 | 0 | 2770 | 5540 | 8310 | 11,080 | 13,860 | 16,630 |
| Age (Days) | sCOD (g/L) | TS (%) | VS (%) | TAN (g-N/L) | sKJN (g-N/L) | sPROT (g/L) | tCARB (g/l) | sCARB (g/L) | TA (g HCO3−/L) | pH |
|---|---|---|---|---|---|---|---|---|---|---|
| 15 | 17.0 ± 0.5 | 7.5 ± 0.0 | 5.6 ± 0.0 | 2.4 ± 0.0 | 3.3 ± 0.1 | 5.3 ± 0.6 | 7.7 ± 0.7 | 1.2 ± 0.0 | 9.0 ± 0.1 | 7.5 ± 0.0 |
| 22 | 15.1 ± 0.8 | 7.1 ± 0.1 | 5.3 ± 0.1 | 2.3 ± 0.0 | 2.6 ± 0.2 | 1.7 ± 1.5 | 5.1 ± 0.3 | 1.7 ± 0.2 | 8.2 ± 0.2 | 7.9 ± 0.0 |
| 29 | 12.0 ± 0.1 | 6.4 ± 0.1 | 4.5 ± 0.0 | 2.2 ± 0.1 | 2.9 ± 0.0 | 4.6 ± 0.7 | 5.7 ± 0.6 | 0.5 ± 0.1 | 8.7 ± 0.3 | 7.8 ± 0.0 |
| 36 | 12.3 ± 0.1 | 6.2 ± 0.0 | 4.5 ± 0.0 | 2.2 ± 0.1 | 2.8 ± 0.4 | 3.5 ± 2.7 | 5.5 ± 0.3 | 1.2 ± 0.3 | 8.7 ± 0.1 | 7.9 ± 0.0 |
| 43 | 12.3 ± 0.1 | 6.7 ± 0.1 | 4.5 ± 0.1 | 1.8 ± 0.1 | 2.8 ± 0.0 | 6.4 ± 0.8 | 5.2 ± 0.1 | 1.0 ± 0.1 | 8.1 ± 0.2 | 8.4 ± 0.1 |
![]() |
| Age | sCOD | TAN | sKJN | sPROT | sCARB | pH |
|---|---|---|---|---|---|---|
| 15 | 0.002 | 0.013 | 0.041 | 0.096 | 0.001 | * 0.018 |
| 22 | * 0.009 | * 0.188 | 0.000 | 0.613 | 0.000 | 0.004 |
| 29 | 0.000 | 0.075 | 0.678 | 0.201 | 0.002 | * 0.010 |
| 36 | * 0.006 | 0.007 | 0.134 | 0.098 | 0.007 | 0.000 |
| 43 | 0.000 | 0.018 | 0.567 | * 0.446 | 0.000 | 0.002 |
| SE (kJ/kg TS) | sCOD | TAN | sKJN | sPROT | sCARB | pH |
| ~3000 | * 0.035 | 0.011 | 0.218 | * 0.033 | 0.001 | 0.014 |
| ~6000 | * 0.169 | 0.096 | 0.493 | 0.140 | 0.173 | 0.006 |
| ~9000 | 0.421 | 0.878 | 0.676 | 0.736 | 0.022 | 0.259 |
| ~12,000 | 0.666 | 0.902 | 0.749 | 0.218 | 0.173 | 0.978 |
| ~15,000 | * 0.717 | 0.593 | 0.493 | 0.667 | 0.944 | 0.019 |
| ~18,000 | 0.384 | 0.019 | 0.985 | 0.750 | 0.000 | 0.732 |
| Parameter | Coefficients | Range | Unit |
|---|---|---|---|
| Intercept | 7.909 | n.a. | g/L |
| SE | 0.001 | 0–20,000 | kJ/kg TS |
| sCARB0 | −1.031 | 0.54–1.69 | g/L |
| TS | −0.502 | 6.38–7.49 | % |
| sCOD0 | −0.107 | 11.95–16.96 | g/L |
| VS | −0.384 | 4.48–5.64 | % |
| TA | 0.253 | 7.93–8.84 | g HCO3/L |
| sPROT | 0.046 | 1.71–6.84 | g-N/L |
| sKJN | 0.299 | 2.57–3.28 | g-N/L |
| tCARB | −0.036 | 5.08–7.73 | g/L |
| TAN | −0.157 | 1.81–2.43 | g-N/L |
| pH | −0.010 | 7.54–8.41 | - |
Publisher’s Note: MDPI stays neutral with regard to jurisdictional claims in published maps and institutional affiliations. |
© 2021 by the authors. Licensee MDPI, Basel, Switzerland. This article is an open access article distributed under the terms and conditions of the Creative Commons Attribution (CC BY) license (http://creativecommons.org/licenses/by/4.0/).
Share and Cite
Somers, M.H.; Azman, S.; Vanhecke, R.; Appels, L. Dairy Manure Digestate Age Increases Ultrasound Disintegration Efficiency at Low Specific Energies. Energies 2021, 14, 1640. https://doi.org/10.3390/en14061640
Somers MH, Azman S, Vanhecke R, Appels L. Dairy Manure Digestate Age Increases Ultrasound Disintegration Efficiency at Low Specific Energies. Energies. 2021; 14(6):1640. https://doi.org/10.3390/en14061640
Chicago/Turabian StyleSomers, Matthijs H., Samet Azman, Ruud Vanhecke, and Lise Appels. 2021. "Dairy Manure Digestate Age Increases Ultrasound Disintegration Efficiency at Low Specific Energies" Energies 14, no. 6: 1640. https://doi.org/10.3390/en14061640
APA StyleSomers, M. H., Azman, S., Vanhecke, R., & Appels, L. (2021). Dairy Manure Digestate Age Increases Ultrasound Disintegration Efficiency at Low Specific Energies. Energies, 14(6), 1640. https://doi.org/10.3390/en14061640

