A Theoretical Model for Voltage-Dependent Photocurrent Collection in CdTe Solar Cells
Abstract
1. Introduction
2. Modeling
2.1. CdTe Solar Cell Structure
2.2. Optical Condition in CdTe Solar Cells
2.3. Electrical Conditions in CdTe Solar Cells
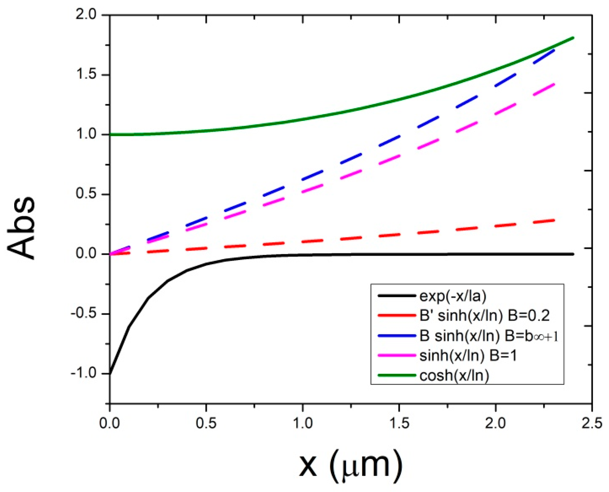
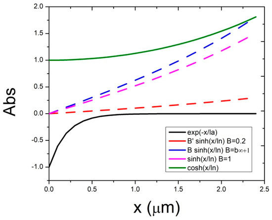
2.4. General Solution and Boundary Conditions
- (1)
- At x = 0 (depletion region edge), ∆n = 0. The electric field in the depletion region swipes out all the photo-electrons swiftly.
- (2)
- At x = H-W (back contact), ∆n = 0. For CdTe cell with p-type ohmic contact, no electron reflector or surface field at the back, we have . As , and . Therefore, at the back contact, we also have the boundary condition of ∆n = 0.
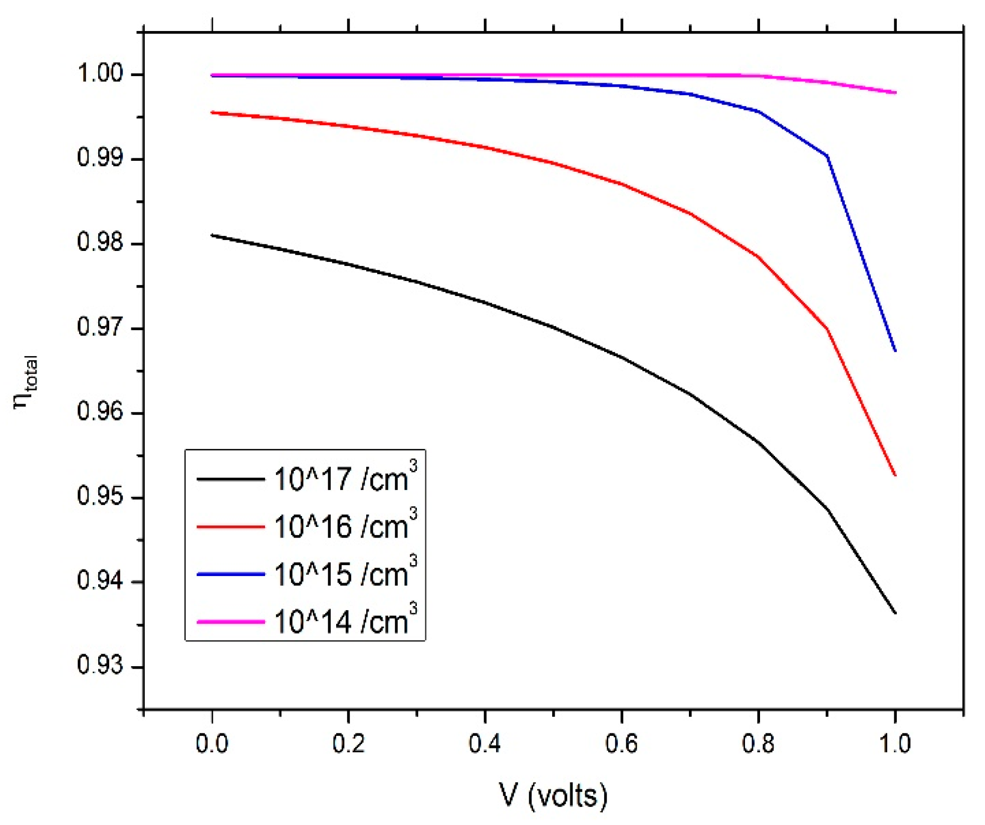
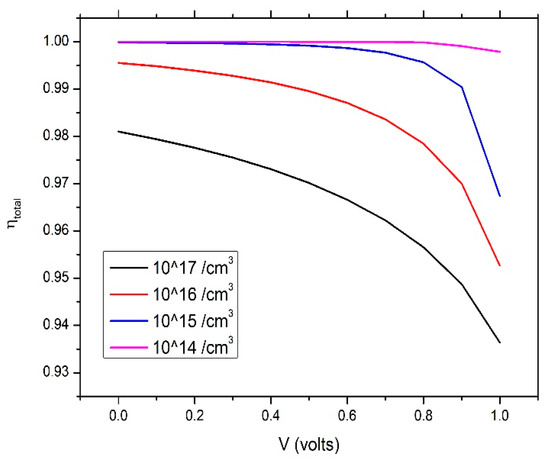
3. Comparison of Theory and Experiment
4. Conclusions
Author Contributions
Funding
Institutional Review Board Statement
Informed Consent Statement
Acknowledgments
Conflicts of Interest
References
- Hegedus, S.; Desai, D.; Thompson, C. Voltage dependent photocurrent collection in CdTe/CdS solar cells. Prog. Photovolt. Res. Appl. 2007, 15, 587–602. [Google Scholar] [CrossRef]
- Mitchell, K.W.; Fahrenbruch, A.L.; Bube, R.H. Evaluation of the CdS/CdTe heterojunction solar cell. J. Appl. Phys. 1977, 48, 4365–4371. [Google Scholar] [CrossRef]
- Eron, M.; Rothwarf, A. Effects of a voltage-dependent light-generated current on solar cell measurements: CuInSe2/Cd(Zn)S. Appl. Phys. Lett. 1984, 44, 131–133. [Google Scholar] [CrossRef]
- Liu, X.X.; Sites, J.R. Solar-cell collection efficiency and its variation with voltage. J. Appl. Phys. 1994, 75, 577–581. [Google Scholar] [CrossRef]
- Ali, B.; Murray, R.; Hegedus, S.S.; Shah. S.I. Analysis of voltage and temperature dependent photocurrent collection in p3ht/pcbm solar cells. J. Appl. Phys. 2012, 112, 114514. [Google Scholar] [CrossRef]
- Dawidowski, W.; Ściana, B.; Zborowska-Lindert, I.; Mikolášek, M.; Kováč, J.; Tłaczała, M. Tunnel junction limited performance of InGaAsN/GaAs tandem solar cell. Sol. Energy 2021, 214, 632–641. [Google Scholar] [CrossRef]
- Gloeckler, M.; Jenkins, C.R.; Sites, J.R. Explanation of Light/Dark Superposition Failure in CIGS Solar Cells. MRS Proc. 2003, 763, B5.20. [Google Scholar] [CrossRef]
- Moore, J.E.; Dongaonkar, S.; Chavali, R.V.K.; Alam, M.A.; Lundstrom, M.S. Correlation of Built-In Potential and I–V Crossover in Thin-Film Solar Cells. IEEE J. Photovolt. 2014, 4, 1138–1148. [Google Scholar] [CrossRef]
- Sun, X.; Asadpour, R.; Nie, W.; Mohite, A.D.; Alam, M.A. A Physics-Based Analytical Model for Perovskite Solar Cells [Sep 15 1389-1394]. IEEE J. Photovolt. 2016, 6, 1390. [Google Scholar] [CrossRef]
- Hejri, M.; Mokhtari, H.; Azizian, M.R.; Ghandhari, M.; Söder, L. On the Parameter Extraction of a Five-Parameter Double-Diode Model of Photovoltaic Cells and Modules. IEEE J. Photovolt. 2014, 4, 915–923. [Google Scholar] [CrossRef]
- Paul, S.; Sohal, S.; Swartz, C.; Li, D.B.; Bista, S.S.; Grice, C.R.; Li, J.V. Effects of post-deposition CdCl2 annealing on electronic properties of CdTe solar cells. Solar Energy 2020, 211, 938–948. [Google Scholar] [CrossRef]
- Li, D.; Song, Z.; Awni, R.A.; Bista, S.S.; Shrestha, N.; Grice, C.R.; Yan, Y. Eliminating S-Kink To Maximize the Performance of MgZnO/CdTe Solar Cells. ACS Appl. Energy Mater. 2019, 2, 2896–2903. [Google Scholar] [CrossRef]
- Song, T.; Kanevce, A.; Sites, J.R. Emitter/absorber interface of CdTe solar cells. J. Appl. Phys. 2016, 119, 233104. [Google Scholar] [CrossRef]
- Paul, S.; Swartz, C.; Sohal, S.; Grice, C.; Bista, S.S.; Li, D.B.; Li, J.V. Buffer/absorber interface recombination reduction and improvement of back-contact barrier height in CdTe solar cells. Thin Solid Film. 2019, 685, 385–392. [Google Scholar] [CrossRef]
- Swartz, C.H.; Rab, S.R.; Paul, S.; van Hest, M.F.; Dou, B.; Luther, J.M.; Li, J.V. Measurement of band offsets and shunt resistance in CdTe solar cells through temperature and intensity dependence of open circuit voltage and photoluminescence. Solar Energy 2019, 189, 389–397. [Google Scholar] [CrossRef]
- Kalogirou, S.A. (Ed.) Dedication. In McEvoy’s Handbook of Photovoltaics, 3rd ed.; Academic Press: Cambridge, MA, USA, 2018; p. v. [Google Scholar]
- Chin, K.K. Dual roles of doping and trapping of semiconductor defect levels and their ramification to thin film photovoltaics. J. Appl. Phys. 2012, 111, 104509. [Google Scholar] [CrossRef]
- Perrenoud, J.; Kranz, L.; Gretener, C.; Pianezzi, F.; Nishiwaki, S.; Buecheler, S.; Tiwari, A.N. A comprehensive picture of Cu doping in CdTe solar cells. J. Appl. Phys. 2013, 114, 174505. [Google Scholar] [CrossRef]
- Chin, K.K. p-Doping limit and donor compensation in CdTe polycrystalline thin film solar cells. Solar Energy Mater. Solar Cells 2010, 94, 1627–1629. [Google Scholar] [CrossRef]
- Hädrich, M.; Metzner, H.; Reislöhner, U.; Kraft, C. Modelling the quantum efficiency of cadmium telluride solar cells. Solar Energy Mater. Solar Cells 2011, 95, 887–893. [Google Scholar] [CrossRef]
- Sites, J.; Munshi, A.; Kephart, J.; Swanson, D.; Sampath, W.S. Progress and challenges with CdTe cell efficiency. In Proceedings of the 2016 IEEE 43rd Photovoltaic Specialists Conference (PVSC), Portland, OR, USA, 5–10 June 2016; IEEE: New York, NY, USA, 2016. [Google Scholar]









| NA (cm−3) | 1014 | 1015 | 1016 | 1017 | 
| NA−(cm−3) | 9.07 × 1013 | 6.05 × 1014 | 2.61 × 1015 | 9.16 × 1015 | 
| EF (eV) | 0.315 | 0.267 | 0.229 | 0.196 | 
| Vbi (V) | 0.985 | 1.033 | 1.071 | 1.104 | 
| Publisher’s Note: MDPI stays neutral with regard to jurisdictional claims in published maps and institutional affiliations. | 
© 2021 by the authors. Licensee MDPI, Basel, Switzerland. This article is an open access article distributed under the terms and conditions of the Creative Commons Attribution (CC BY) license (http://creativecommons.org/licenses/by/4.0/).
Share and Cite
Zhao, C.X.; Chin, K.K. A Theoretical Model for Voltage-Dependent Photocurrent Collection in CdTe Solar Cells. Energies 2021, 14, 1615. https://doi.org/10.3390/en14061615
Zhao CX, Chin KK. A Theoretical Model for Voltage-Dependent Photocurrent Collection in CdTe Solar Cells. Energies. 2021; 14(6):1615. https://doi.org/10.3390/en14061615
Chicago/Turabian StyleZhao, Cindy X., and Ken K. Chin. 2021. "A Theoretical Model for Voltage-Dependent Photocurrent Collection in CdTe Solar Cells" Energies 14, no. 6: 1615. https://doi.org/10.3390/en14061615
APA StyleZhao, C. X., & Chin, K. K. (2021). A Theoretical Model for Voltage-Dependent Photocurrent Collection in CdTe Solar Cells. Energies, 14(6), 1615. https://doi.org/10.3390/en14061615
 
         
                                                

 
       