Investigations of Electrical and Optical Parameters of Some LED Luminaires—A Study Case
Abstract
1. Introduction
2. Tested Lamps
3. Measurement Setup
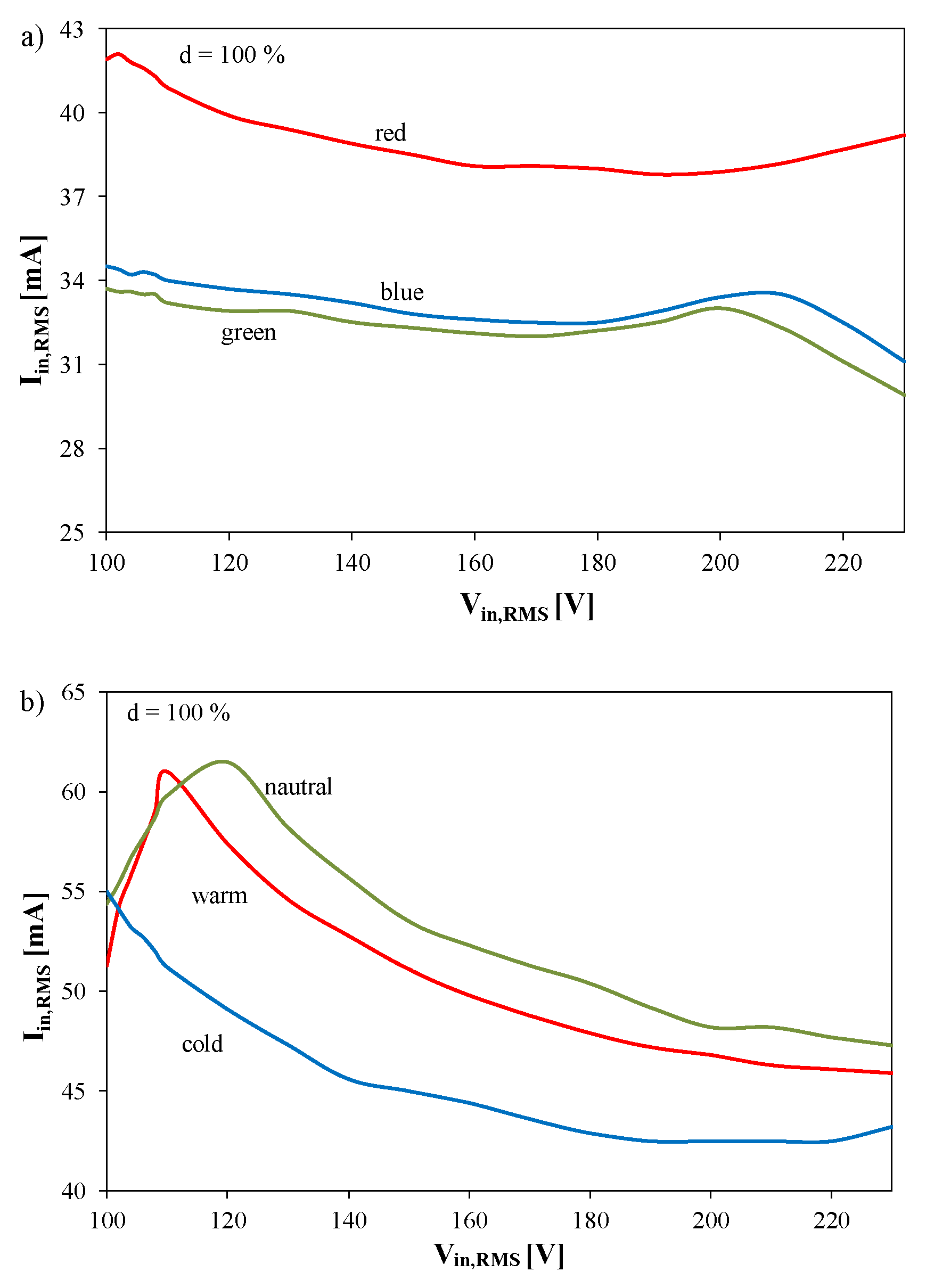
4. Results
5. Conclusions
Author Contributions
Funding
Institutional Review Board Statement
Informed Consent Statement
Data Availability Statement
Conflicts of Interest
Nomenclature
| Tj | junction temperature |
| Ta | ambient temperature |
| Popt | optical power |
| Ee | surface power density of the emitted light |
| Zthe(t) | electrical transient thermal impedance |
| vD | forward voltage |
| iD | diode current |
References
- Wang, K.; Liu, S.; Luo, X.; Wu, D. Freeform Optics for LED Packages and Applications; Wiley: Singapore, 2017. [Google Scholar]
- Huang, J.; Kuo, H.C.; Shen, S.C. Nitride Semiconductor Light-Emitting Diodes (LEDs), 2nd ed.; Elsevier: Taiwan, 2018. [Google Scholar]
- Chang, M.-H.; Das, D.; Varde, P.; Pecht, M. Light emitting diodes reliability review. Microelectron. Reliab. 2012, 52, 762–782. [Google Scholar] [CrossRef]
- Górecki, K.; Ptak, P. Modeling power supplies of LED lamps. Int. J. Circuit Theory Appl. 2018, 46, 629–636. [Google Scholar] [CrossRef]
- Górecki, K.; Ptak, P. Modelling LED lamps in SPICE with thermal phenomena taken into account. Microelectron. Reliab. 2017, 79, 440–447. [Google Scholar] [CrossRef]
- Schubert, E.F. Light Emitting Diodes, 2nd ed.; Cambridge University Press: New York, NY, USA, 2008. [Google Scholar]
- Svilainis, L. Comparison of the EMI Performance of LED PWM Dimming Techniques for LED Video Display Application. J. Disp. Technol. 2012, 8, 162–165. [Google Scholar] [CrossRef]
- Rata, G.; Rata, M. The study of harmonics from dimmable LED lamps, using CompactRIO. In Proceedings of the 2016 International Conference on Development and Application Systems (DAS), Suceava, Romania, 19–21 May 2016; pp. 180–183. [Google Scholar] [CrossRef]
- Winder, S. Power Supplies for LED Driving, 2nd ed.; Elsevier BV: Aalborg, Denmark, 2017. [Google Scholar]
- Krishna, A.A.; Kartha, B.A.; Nair, V.S. Dynamic traffic light system for unhindered passing of high priority vehicles: Wireless implementation of dynamic traffic light systems using modular hardware. In Proceedings of the 2017 IEEE Global Humanitarian Technology Conference (GHTC), San Jose, CA, USA, 19–22 October 2017; pp. 1–5. [Google Scholar]
- Arias, M.; Lamar, D.G.; Sebastian, J.; Balocco, D.; Diallo, A.A. High-Efficiency LED Driver without Electrolytic Capacitor for Street Lighting. IEEE Trans. Ind. Appl. 2012, 49, 127–137. [Google Scholar] [CrossRef]
- Jia, L.; Liu, Y.-F. Topology and Control Innovation for Auxiliary Power Supply in Dimmable LED Drivers. IEEE Trans. Power Electron. 2016, 32, 1. [Google Scholar] [CrossRef]
- Pollock, A.; Pollock, H.; Pollock, C. High Efficiency LED Power Supply. IEEE J. Emerg. Sel. Top. Power Electron. 2015, 3, 617–623. [Google Scholar] [CrossRef]
- Chung, Y.-C.; Lee, K.-M.; Choe, H.-J.; Sung, C.-H.; Kang, B. Low-Cost Drive Circuit for AC-Direct LED Lamps. IEEE Trans. Power Electron. 2014, 30, 5776–5782. [Google Scholar] [CrossRef]
- Rashid, M.H. Power Electronics Handbook; Elsevier: Amsterdam, The Netherlands, 2007. [Google Scholar]
- Adragna, C.; Gritti, G.; Raciti, A.; Rizzo, S.A.; Susinni, G. Analysis of the Input Current Distortion and Guidelines for Designing High Power Factor Quasi-Resonant Flyback LED Drivers. Energies 2020, 13, 2989. [Google Scholar] [CrossRef]
- Lasance, C.J.M.; Poppe, A. Thermal Management for LED Applications; Springer Science+Business Media: New York, NY, USA, 2014. [Google Scholar]
- Uddin, S.; Shareef, H.; Mohamed, A.; Hannan, M.A. Harmonics and thermal characteristics of low wattage LED lamps. Prze-gląd Elektrotechniczny 2012, 88, 266–271. [Google Scholar]
- Muthu, S.; Schuurmans, F.; Pashley, M. Red, green, and blue LED based white light generation: Issues and control. In Proceedings of the Conference Record of the 2002 IEEE Industry Applications Conference. 37th IAS Annual Meeting (Cat. No.02CH37344), Pittsburgh, PA, USA, 13–18 October 2003. [Google Scholar]
- Górecki, K. The influence of power supply voltage on exploitive parameters of the selected lamps. Informacije MIDEM J. Microelectr. Electr. Compon. Mater. 2013, 43, 193–198. [Google Scholar]
- Górecki, K.; Górecka, K.; Górecki, P. Porównanie właściwości eksploatacyjnych wybranych typów lamp LED. Przegląd Elektrotechniczny 2012, 88, 111–114. [Google Scholar]
- Ndokaj, A.; Di Napoli, A. LED power supply and EMC compliance. In Proceedings of the 2012 IEEE International Energy Conference and Exhibition (ENERGYCON), Florence, Italy, 9–12 September 2012; pp. 254–258. [Google Scholar]
- Pinto, M.F.; Mendonca, T.R.F.; Duque, C.A.; Braga, H.A.C. Power quality measurements embedded in smart lighting systems. In Proceedings of the 2015 IEEE 24th International Symposium on Industrial Electronics (ISIE), Rio de Janeiro, Brazil, 3–5 June 2015; pp. 1202–1207. [Google Scholar]
- Bloudicek, R.; Luzica, S.; Rydlo, S.; Hon, L. Power supply in LED airport lighting systems. In Proceedings of the 2017 International Conference on Military Technologies (ICMT), Brno, Czech Republic, 31 May–2 June 2017; pp. 588–591. [Google Scholar]
- Uddin, S.; Shareef, H.; Mohamed, A.; Hannan, M. An analysis of harmonics from dimmable LED lamps. In Proceedings of the 2012 IEEE International Power Engineering and Optimization Conference, Melaka, Malaysia, 6–7 June 2012; pp. 182–186. [Google Scholar]
- Lho, Y.H.; Lee, S.Y. A Study on methodology to improve the power factor of high power LED module. In Proceedings of the 2014 14th International Conference on Control, Automation and Systems (ICCAS 2014), Seoul, Korea, 22 October 2014; pp. 1404–1406. [Google Scholar]
- Ionescu, C.; Dima, M.; Bonfert, D. Flicker distortion power factor analysis in lighting LED’s. In Proceedings of the 2017 IEEE 23rd International Symposium for Design and Technology in Electronic Packaging (SIITME), Constanta, Romania, 26–29 October 2017; pp. 280–285. [Google Scholar]
- Dolara, A.; Leva, S. Power Quality and Harmonic Analysis of End User Devices. Energies 2012, 5, 5453–5466. [Google Scholar] [CrossRef]
- Shackelford, J.; Mathew, P.; Regnier, C.; Walter, T. Laboratory Validation of Integrated Lighting Systems Retrofit Performance and Energy Savings. Energies 2020, 13, 3329. [Google Scholar] [CrossRef]
- Devarapalli, H.P.; Dhanikonda, V.S.S.S.S.; Gunturi, S.B. Non-Intrusive Identification of Load Patterns in Smart Homes Using Percentage Total Harmonic Distortion. Energies 2020, 13, 4628. [Google Scholar] [CrossRef]
- Hernández, J.; Romero, A.A.; Meyer, J.; Blanco, A.M. Impact of Nonlinear Lighting Loads on the Neutral Conductor Current of Low Voltage Residential Grids. Energies 2020, 13, 4851. [Google Scholar] [CrossRef]
- Beaty, W.H. Handbook of Electric Power Calculations, 3rd ed.; McGraw-Hill: New York, NY, USA, 2012. [Google Scholar]
- Phannil, N.; Jettanasen, C.; Ngaopitakkul, A. Harmonics and Reduction of Energy Consumption in Lighting Systems by Using LED Lamps. Energies 2018, 11, 3169. [Google Scholar] [CrossRef]
- Apse-Apsitis, P.; Avotins, A.; Ribickis, L. Wirelessly controlled LED lighting system. In Proceedings of the 2012 IEEE International Energy Conference and Exhibition (ENERGYCON), Florence, Italy, 9–12 September 2012; pp. 952–956. [Google Scholar] [CrossRef]
- Mishra, B.C.; Panda, A.S.; Rout, N.K.; Mohapatra, S.K. A Novel Efficient Design of Intelligent Street Lighting Monitoring System Using ZigBee Network of Devices and Sensors on Embedded Internet Technology. In Proceedings of the 2015 International Conference on Information Technology (ICIT), Bhubaneswar, India, 21–23 December 2015; pp. 200–205. [Google Scholar]
- Thielemans, S.; Di Zenobio, D.; Touhafi, A.; Lataire, P.; Steenhaut, K. DC Grids for Smart LED-Based Lighting: The EDISON Solution. Energies 2017, 10, 1454. [Google Scholar] [CrossRef]
- What Philips Hue Smart Lights Are You Looking For? Available online: https://www.philips-hue.com/en-gb?locale_code=en_&remember_locale=en_gb (accessed on 25 February 2021).
- EN 13032-4:2015 standard. Light and Lighting. Measurement and Presentation of Photometric Data of Lamps and Luminaires. LED Lamps, Modules and Luminaires; Official Journal of the European Union: Luxembourg, 2015. [Google Scholar]
- IEC62471:2006 standard. Photobiological Safety of Lamps and Lamp Systems; Official Journal of the European Union: Luxembourg, 2006. [Google Scholar]
- EN 50160:2007 standard. Voltage Characteristics in Public Distribution Systems; Official Journal of the European Union: Luxembourg, 2007. [Google Scholar]
- Pawlak, A. Evaluation of the Hazard Caused by Blue Light Emitted by LED Sources. In Proceedings of the 2018 VII. Lighting Conference of the Visegrad Countries (Lumen V4), Trebic, Czech Republic, 18–20 September 2018; pp. 1–6. [Google Scholar]
- Stepanek, J.; Skoda, J.; Krbal, M.; Motycka, M.; Nekvapil, J. Measurement of Photobiogical Safety for LEDs with Different Spectra. In Proceedings of the 2018 VII. Lighting Conference of the Visegrad Countries (Lumen V4), Trebic, Czech Republic, 18–20 September 2018; pp. 1–5. [Google Scholar]
- EN 61000–3–2 standard. Electromagnetic Compatibility (EMC)—Part 3-2: Limits—Limits for Harmonic Current Emissions (Equipment Input Current up to and Including 16 A per Phase), 5th ed.; Official Journal of the European Union: Luxembourg, 2018. [Google Scholar]
- Putz, Ł.; Kurzawa, M. Measurements and analysis selected power quality parameters in systems with LED light sources. Comput. Appl. Electr. Eng. 2016, 14, 551–561. [Google Scholar] [CrossRef]
- Sreedevi, V.; Devi, V.; Sunil, A.A. Analysis and simulation of a single stage power supply for LED lighting. In Proceedings of the 2013 International Conference on Green Computing, Communication and Conservation of Energy (ICGCE), Tamil Nadu, India, 12–14 December 2013; pp. 453–457. [Google Scholar]
- Ptak, P.; Górecki, K.; Heleniak, J. Wpływ trybu pracy lampy LED typu HUE na jej parametry elektryczne i optyczne. Przegląd Elektrotechniczny 2020, 96, 102–105. [Google Scholar] [CrossRef]
- Ptak, P.; Górecki, K.; Heleniak, J. An Influence of the Operation Mode of a LED Lamp of the HUE Type on Its Electrical and Optical Parameters. In Proceedings of the 2020 27th International Conference on Mixed Design of Integrated Circuits and System (MIXDES), Wroclaw, Poland, 25–27 June 2020; pp. 204–209. [Google Scholar]
- Autotransformer ATS-REG1.2. Available online: https://www.sklep.cyfronika.com.pl/pl/p/ATS-REG1.2-Autotransformator-z-regulowanym-napieciem-moc-1.25-kW/15527 (accessed on 29 January 2020).
- Multimeter Unit 804. Available online: https://www.gotronik.pl/ut804-cyfrowy-multimetr-laboratoryjny-p-326.html (accessed on 29 January 2020).
- Current probe Tektronix TCPA300. Available online: https://pl.rs-online.com/web/p/akcesoria-do-sond/7644391/ (accessed on 29 January 2020).
- Power Analyser Tektronix PA1000. Available online: https://pl.farnell.com/tektronix/pa1000/ac-power-analyzer-1ph-1v-to-600v/dp/2772544 (accessed on 29 January 2020).
- Oscilloscope Gw Instek GDS 2104. Available online: https://www.tme.eu/pl/details/gds-2104a/oscyloskopy-cyfrowe/gw-instek/ (accessed on 29 January 2020).
- Luxmeter L 200. Available online: https://www.sonopan.com.pl/pl/produkty/swiatlo/luksomierz-precyzyjny-l-200/ (accessed on 29 January 2020).
- Radiometer HD2302. Available online: https://sklep.emd.net.pl/foto-radiometr-hd23020-delta-ohm-p-2724.html (accessed on 29 January 2020).
- Spectrometer USB 650 Ocean Optic. Available online: https://www.oceaninsight.com/products/spectrometers/usb-series/ (accessed on 29 January 2020).
- Smith, W.J. Modern Optical Engineering: The Design of Optical Systems, 4th ed.; McGraw Hill: New York, NY, USA, 2008. [Google Scholar]
- Górecki, K.; Ptak, P. Compact Modelling of Electrical, Optical and Thermal Properties of Multi-Colour Power LEDs Operating on a Common PCB. Energies 2021, 14, 1286. [Google Scholar] [CrossRef]















Publisher’s Note: MDPI stays neutral with regard to jurisdictional claims in published maps and institutional affiliations. |
© 2021 by the authors. Licensee MDPI, Basel, Switzerland. This article is an open access article distributed under the terms and conditions of the Creative Commons Attribution (CC BY) license (http://creativecommons.org/licenses/by/4.0/).
Share and Cite
Ptak, P.; Górecki, K.; Heleniak, J.; Orlikowski, M. Investigations of Electrical and Optical Parameters of Some LED Luminaires—A Study Case. Energies 2021, 14, 1612. https://doi.org/10.3390/en14061612
Ptak P, Górecki K, Heleniak J, Orlikowski M. Investigations of Electrical and Optical Parameters of Some LED Luminaires—A Study Case. Energies. 2021; 14(6):1612. https://doi.org/10.3390/en14061612
Chicago/Turabian StylePtak, Przemysław, Krzysztof Górecki, Jakub Heleniak, and Mariusz Orlikowski. 2021. "Investigations of Electrical and Optical Parameters of Some LED Luminaires—A Study Case" Energies 14, no. 6: 1612. https://doi.org/10.3390/en14061612
APA StylePtak, P., Górecki, K., Heleniak, J., & Orlikowski, M. (2021). Investigations of Electrical and Optical Parameters of Some LED Luminaires—A Study Case. Energies, 14(6), 1612. https://doi.org/10.3390/en14061612

