An Experimental Investigation into the Stress-Strain Characteristic under Static and Quasi-Static Loading for Partially Embedded Rock Bolts
Abstract
1. Introduction
Rock Mass Stratification at Legnica-Głogów Copper District in Poland
2. Rock Bolt Testing Procedure under Static and Quasi-Static Loading
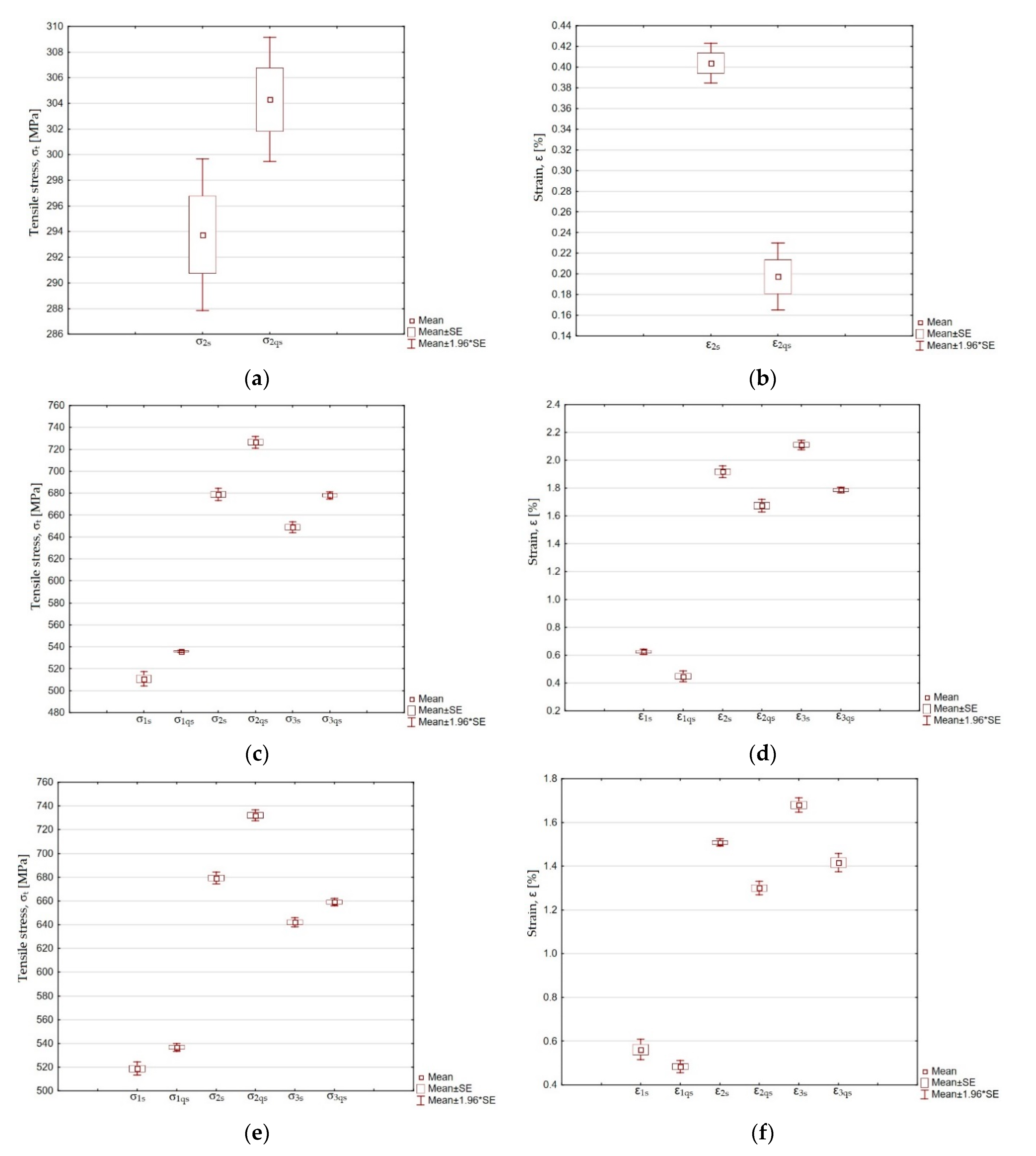
3. Results
4. Discussion
- σt—tensile stress [MPa],
- F—applied load [N],
- A—cross-sectional area [mm2].
- ε—strain [%],
- l—length of the bolt rod after strain [mm],
- l0—initial length of the bolt rod [mm].
Quasi-Static Coefficient for Stress and Strain
5. Conclusions
- The load capacity of a rock bolt with a thread is not determined by the breaking strength of the rod, but by the thread strength;
- For embedded length of 0.3 m, the tensile stress at the points of yield, maximum and failure for quasi-static stress are higher by 4.92%, 6.94% and 4.48%, respectively, compared to the static stress;
- For embedded length of 0.9 m, the tensile stress at the points of yield, maximum and failure for quasi-static stress are higher by 3.44%, 7.76% and 2.63%, respectively, compared to the static stress;
- For embedded length of 0.3 m, the value of strain in the elastic range, the strain at maximum stress and the strain corresponding to failure for quasi-static stress are lower by 27.42%, 13.03% and 15.64%, respectively, compared to the static strain;
- For embedded length of 0.9 m, the value of strain in the elastic range, the strain at maximum stress and the strain corresponding to failure for quasi-static stress are lower by 14.29%, 13.34% and 16.08%, respectively, compared to the static strain.
Funding
Institutional Review Board Statement
Informed Consent Statement
Data Availability Statement
Conflicts of Interest
References
- Waclawik, P.; Snuparek, R.; Kukutsch, R. Rock bolting at the room and pillar method at great depths. Procedia Eng. 2017, 191, 575–582. [Google Scholar] [CrossRef]
- Małkowski, P.; Niedbalski, Z. A comprehensive geomechanical method for the assessment of rockburst hazards in underground mining. Int. J. Min. Sci. Technol. 2020, 30, 345–355. [Google Scholar] [CrossRef]
- Masoudi, R.; Sharifzadeh, M. Reinforcement selection for deep and high-stress tunnels at preliminary design stages using ground demand and support capacity approach. Int. J. Min. Sci. Technol. 2018, 28, 573–582. [Google Scholar] [CrossRef]
- Li, C.C.; Mikula, P.; Simser, B.; Hebblewhite, B.; Joughin, W.; Feng, X.; Xu, N. Discussions on rockburst and dynamic ground support in deep mines. J. Rock Mech. Geotech. Eng. 2019, 11, 1110–1118. [Google Scholar] [CrossRef]
- Rahimi, B.; Sharifzadeh, M.; Feng, X.-T. Ground behaviour analysis, support system design and construction strategies in deep hard rock mining e Justified in Western Australian’s mines. J. Rock Mech. Geotech. Eng. 2020, 12, 1–20. [Google Scholar] [CrossRef]
- Li, C.C. Principles and methods of rock support for rock burst control. J. Rock Mech. Geotech. Eng. 2020, 12, 1–14. [Google Scholar] [CrossRef]
- Kim, H.; Rehman, H.; Ali, W.; Muntaqim Naji, A.; Kim, J.-J.; Kim, J.; Yoo, H. Classification of Factors Affecting the Performance of Fully Grouted Rock Bolts with Empirical Classification Systems. Appl. Sci. 2019, 9, 4781. [Google Scholar] [CrossRef]
- Ozturk, C.A.; Dogan, E.; Donmez, M.S.; Karaman, E. Ground Support Design of Underground Openings in Seismically Active Mine: A Case Study from a Lead and Zinc Underground Mine. Geotech. Geol. Eng. 2021, 39, 1–21. [Google Scholar] [CrossRef]
- Wang, J.; Apel, D.B.; Pu, Y.; Hall, R.; Wei, C.; Sepehri, M. Numerical modeling for rock bursts: A state-of-the-art review. J. Rock Mech. Geotech. 2020. [Google Scholar] [CrossRef]
- Cao, J.; Zhang, N.; Wang, S.; Qiana, D.; Xiea, Z. Physical model test study on support of super pre-stressed anchor in the mining engineering. Eng. Fail. Anal. 2020, 118, 104833. [Google Scholar] [CrossRef]
- Feng, X.; Zhang, N.; Lv, C. Effects of Interface Damage Resulting from the Separation of Layered Strata on Bolt Anchoring Systems. Shock. Vib. 2016, 2016, 2590816. [Google Scholar] [CrossRef][Green Version]
- Feng, X.; Zhang, N.; Li, G.; Guo, G. Pullout Test on Fully Grouted Bolt Sheathed by Different Length of Segmented Steel Tubes. Shock. Vib. 2017, 2017, 4304190. [Google Scholar] [CrossRef]
- Skrzypkowski, K.; Korzeniowski, W.; Zagórski, K.; Zagórska, A. Flexibility and load-bearing capacity of roof bolting as functions of mounting depth and hole diameter. Energies 2019, 12, 3754. [Google Scholar] [CrossRef]
- Bacić, M.; Kovacević, M.S.; Jurić Kaćunić, D. Non-Destructive Evaluation of Rock Bolt Grouting Quality by Analysis of Its Natural Frequencies. Materials 2020, 13, 282. [Google Scholar] [CrossRef] [PubMed]
- Zhan, Y.; Li, N.; Wang, H.; Zheng, P.; Zhang, J.; Liu, Q. The Mechanism of Interface Dilatancy of Cement Mortar Rockbolts. Adv. Civ. Eng. 2020, 2020, 8838488. [Google Scholar] [CrossRef]
- Zhao, J.-y.; Zhang, D.-s.; Lu, W.-c.; Yang, C.-z. Design and experiment of hydraulic impact loading system for mine cable bolt. Procedia Earth Planet. Sci. 2009, 1, 1337–1342. [Google Scholar] [CrossRef]
- He, M.; Gong, W.; Wang, J.; Qi, P.; Tao, Z.; Du, S.; Peng, Y. Development of a novel energy-absorbing bolt with extraordinarily large elongation and constant resistance. Int. J. Rock Mech. Min. Sci. 2014, 67, 29–42. [Google Scholar] [CrossRef]
- Zhao, X.; Zhang, S.; Zhu, Q.; Li, H.; Chen, G.; Zhang, P. Dynamic and static analysis of a kind of novel J energy-releasing bolts. Geomat. Nat. Hazards Risk 2020, 11, 2486–2508. [Google Scholar] [CrossRef]
- Morozov, M.; Tian, G.Y.; Withers, P.J. The pulsed eddy current response to applied loading of various aluminum alloys. NDT E Int. 2010, 43, 493–500. [Google Scholar] [CrossRef]
- Withers, P.J.; Turski, M.; Edwards, L.; Bouchard, P.J.; Buttle, D.J. Recent advances in residual stress measurement. Int. J. Pres. Ves. Pip. 2008, 85, 118–127. [Google Scholar] [CrossRef]
- Wilson, J.W.; Tian, G.Y.; Barrans, S. Residual magnetic field sensing for stress measurement. Sens. Actuators A 2007, 135, 381–387. [Google Scholar] [CrossRef]
- Skrzypkowski, K.; Korzeniowski, W.; Zagórski, K.; Dominik, I.; Lalik, K. Fast, non-destructive measurement of roof-bolt loads. Stud. Geotech. Mech. 2019, 41, 93–101. [Google Scholar] [CrossRef]
- Crompton, B.R.; Sheppard, J. A practical design approach for an improved resin-anchored tendon. J. S. Afr. Inst. Min. Metall. 2020, 120, 7–13. [Google Scholar] [CrossRef]
- Feng, X.; Xue, F.; Jiang, W.; Wang, M.; Song, W. Re-think of solving the gloving problem in bolting systems by adulterating steel particles. Constr. Build. Mater. 2021, 268, 121179. [Google Scholar] [CrossRef]
- Xu, C.; Li, Z.; Wang, S.; Wang, S.; Fu, L.; Tang, C. Pullout Performances of Grouted Rockbolt Systems with Bond Defects. Rock Mech. Rock Eng. 2018, 51, 861–871. [Google Scholar] [CrossRef]
- Campbell, R.; Mould, R.J. Impacts of gloving and un-mixed resin in fully encapsulated roof bolts on geotechnical design assumptions and strata control in coal mines. Int. J. Coal Geol. 2005, 64, 116–125. [Google Scholar] [CrossRef]
- Burtan, Z.; Zorychta, A.; Cieślik, J.; Chlebowski, D. Influence of mining operating conditions on fault behavior. Arch. Min. Sci. 2014, 59, 691–704. [Google Scholar] [CrossRef]
- Regulation of the Minister of the Environment Regarding Natural Hazards in Mining Plants. Available online: https://sip.lex.pl/akty-prawne/dzu-dziennik-ustaw/zagrozenia-naturalne-w-zakladach-gorniczych-17955795 (accessed on 15 January 2021).
- Drzęźla, B.; Dubiński, J.; Fajklewicz, Z.; Goszcz, A.; Marcak, H.; Pilecki, Z.; Zuberek, W. Mining Geophysics Handbook; PAN/AGH Publishing: Kraków, Poland, 1995; Volume II, p. 61. [Google Scholar]
- Skrzypkowski, K.; Korzeniowski, W.; Zagórski, K.; Zagórska, A. Adjustment of the Yielding System of Mechanical Rock Bolts for Room and Pillar Mining Method in Stratified Rock Mass. Energies 2020, 13, 2082. [Google Scholar] [CrossRef]
- Skrzypkowski, K. Case Studies of Rock Bolt Support Loads and Rock Mass Monitoring for the Room and Pillar Method in the Legnica-Głogów Copper District in Poland. Energies 2020, 13, 2998. [Google Scholar] [CrossRef]
- Butra, J.; Dańda, Z.; Katulski, A. The causes of roof rock falls and method control in ore mining. Work Saf. Environ. Prot. Min. 1997, 6, 151–157. [Google Scholar]
- Polish Standard: PN-EN 10002-1:2004. In Metallic Materials—Tensile Testing—Part 1: Method of Test at Ambient Temperature; Polish Committee for Standardization: Warszawa, Poland, 2004.
- Korzeniowski, W.; Skrzypkowski, K.; Herezy, Ł. Laboratory method for evaluating the characteristics of expansion rock bolts subjected to axial tension. Arch. Min. Sci. 2015, 60, 209–224. [Google Scholar] [CrossRef]
- Epstal. Available online: http://epstal.pl/en/reinforcing-steel/properties (accessed on 10 January 2021).
- Skrzypkowski, K.; Korzeniowski, W.; Zagórski, K.; Zagórska, A. Modified Rock Bolt Support for Mining Method with Controlled Roof Bending. Energies 2020, 13, 1868. [Google Scholar] [CrossRef]
- Hoien, A.H.; Li, C.C.; Zhang, N. Pull-out and Critical Embedment Length of Grouted Rebar Rock Bolts-Mechanisms When Approaching and Reaching the Ultimate Load. Rock Mech. Rock Eng. 2021, 54, 1–18. [Google Scholar] [CrossRef]
- Yu, J.-D.; Lee, J.-S. Smart Sensing Using Electromagnetic Waves for Inspection of Defects in Rock Bolts. Sensors 2020, 20, 2821. [Google Scholar] [CrossRef] [PubMed]
- Xu, X.; Tian, S. Load transfer mechanism and critical length of anchorage zone for anchor bolt. PLoS ONE 2020, 15, e227539. [Google Scholar] [CrossRef] [PubMed]
- Kang, H.; Meng, X. Tests and analysis of mechanical behaviours of rock bolt components for China’s coal mine roadways. J. Rock Mech. Geotech. 2015, 7, 14–26. [Google Scholar] [CrossRef]
- Player, J.; Thompson, A.; Villaescusa, E. Dynamic testing of reinforcing system. In Proceedings of the 6th International Symposium on Ground Support in Mining and Civil Engineering Construction, SAIMM, SANIRE and ISRM, Cape Town, South Africa, 30 March–3 April 2008; pp. 597–622. [Google Scholar]
- Darlington, B.; Rataj, M.; Roach, W. A new method to evaluate dynamic bolts and the development of a new dynamic rock bolt. In Proceedings of the Ninth International Conference on Deep and High Stress Mining, The Southern African Institute of Mining and Metallurgy, Johannesburg, South Africa, 24–25 June 2019; pp. 205–216. [Google Scholar] [CrossRef]













| Description | Value | Unit |
|---|---|---|
| characteristic yield point | ≥500 | [MPa] |
| characteristic tensile strength | ≥575 | [MPa] |
| rebar’s rib 1 (measurement on the joint along the rod) | 22.2 | [mm] |
| rebar’s rib 2 (measurement on the rod after turning by 90°) | 21.2 | [mm] |
| the thickness of the weld along the rod | 3.1 | [mm] |
| weld height | 1.1 | [mm] |
| the height of the ribs | 1.35 | [mm] |
| rib width | 3.6 | [mm] |
| distance between ribs parallel oblique | 26.3 | [mm] |
| distance between ribs parallel oblique ribs | 10.3; 16 | [mm] |
| rod length without ribs | 138.3 | [mm] |
| thread length | 111 | [mm] |
| thread diameter | 19.2 | [mm] |
| thread core diameter | 16.45 | [mm] |
| Parameter | Unit | Embedded Length [m] | |||||
|---|---|---|---|---|---|---|---|
| 0.05 * | 0.3 | 0.9 | |||||
| s | qs | s | qs | s | qs | ||
| load for the yield point, F1 | [kN] | - | - | 108.5 | 113.8 | 110.6 | 114.4 |
| maximum load, F2 | [kN] | 62.4 | 64.6 | 143.8 | 154.3 | 145.2 | 155.5 |
| load at failure, F3 | [kN] | - | - | 137.5 | 144 | 136.4 | 140 |
| displacement in the elastic range, Δl1 | [mm] | - | - | 13.76 | 9.85 | 12.34 | 10.7 |
| displacement for maximum load, Δl2 | [mm] | 8.2 | 3.9 | 44.2 | 36.7 | 33.18 | 28.64 |
| displacement corresponding to the failure, Δl3 | [mm] | - | - | 46.4 | 39.2 | 37 | 31.1 |
| Parameter | Unit | Embedded Length [m] | |||||
|---|---|---|---|---|---|---|---|
| 0.05 * | 0.3 | 0.9 | |||||
| s | qs | s | qs | s | qs | ||
| tensile stress for the yield point, σ1 | [MPa] | - | - | 510.78 | 535.92 | 518.78 | 536.67 |
| maximum stress, σ2 | [MPa] | 293.8 | 304.3 | 678.84 | 726.48 | 679.31 | 732.04 |
| stress at failure, σ3 | [MPa] | - | - | 648.90 | 677.99 | 642.12 | 659.07 |
| strain in the elastic range, ε1 | [%] | - | - | 0.62 | 0.45 | 0.56 | 0.48 |
| strain for maximum stress, ε2 | [%] | 0.4 | 0.2 | 1.92 | 1.67 | 1.50 | 1.3 |
| strain corresponding to the failure, ε3 | [%] | - | - | 2.11 | 1.78 | 1.68 | 1.41 |
Publisher’s Note: MDPI stays neutral with regard to jurisdictional claims in published maps and institutional affiliations. |
© 2021 by the author. Licensee MDPI, Basel, Switzerland. This article is an open access article distributed under the terms and conditions of the Creative Commons Attribution (CC BY) license (http://creativecommons.org/licenses/by/4.0/).
Share and Cite
Skrzypkowski, K. An Experimental Investigation into the Stress-Strain Characteristic under Static and Quasi-Static Loading for Partially Embedded Rock Bolts. Energies 2021, 14, 1483. https://doi.org/10.3390/en14051483
Skrzypkowski K. An Experimental Investigation into the Stress-Strain Characteristic under Static and Quasi-Static Loading for Partially Embedded Rock Bolts. Energies. 2021; 14(5):1483. https://doi.org/10.3390/en14051483
Chicago/Turabian StyleSkrzypkowski, Krzysztof. 2021. "An Experimental Investigation into the Stress-Strain Characteristic under Static and Quasi-Static Loading for Partially Embedded Rock Bolts" Energies 14, no. 5: 1483. https://doi.org/10.3390/en14051483
APA StyleSkrzypkowski, K. (2021). An Experimental Investigation into the Stress-Strain Characteristic under Static and Quasi-Static Loading for Partially Embedded Rock Bolts. Energies, 14(5), 1483. https://doi.org/10.3390/en14051483
