Study on Optimum Power Take-Off Torque of an Asymmetric Wave Energy Converter in Western Sea of Jeju Island
Abstract
1. Introduction
2. Experimental Setup of the 1/11-Scale Model
3. Numerical Analysis
4. Results and Discussion
4.1. Grid Convergence Test
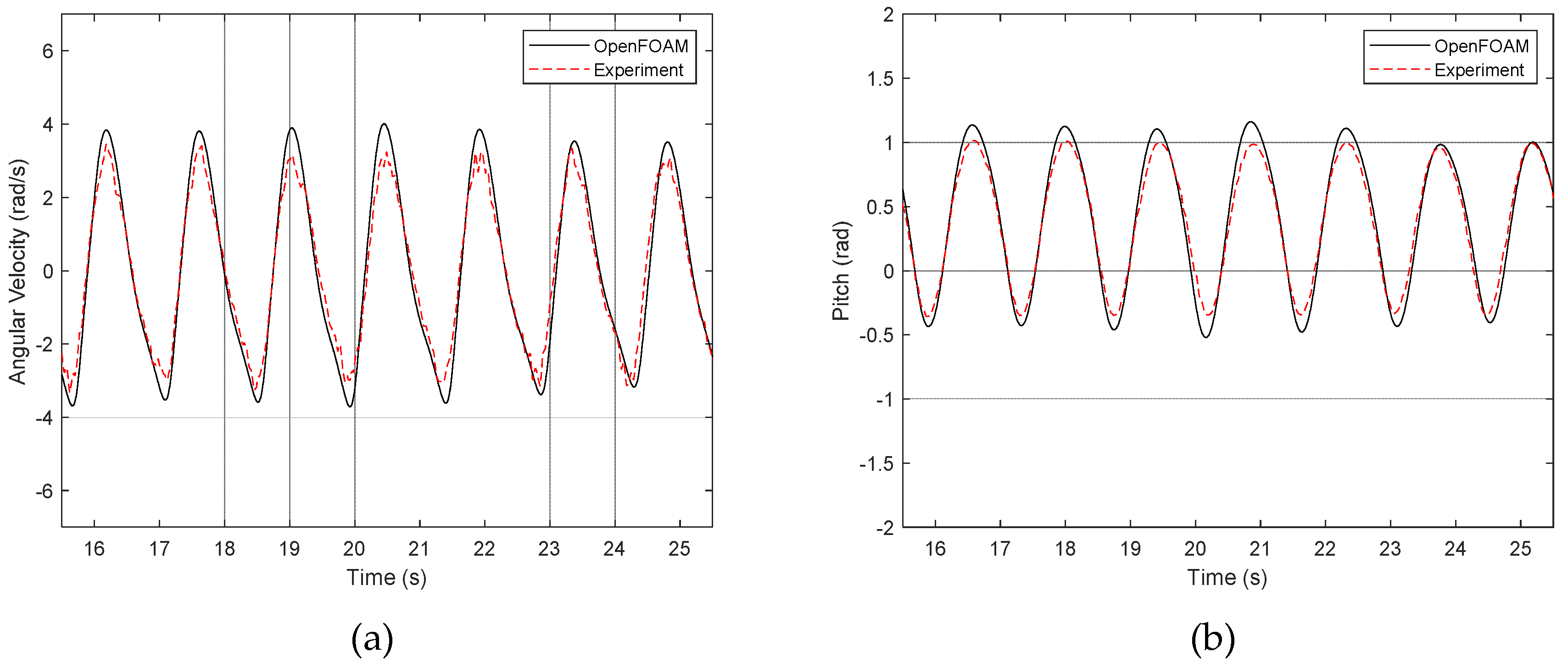
4.2. Model Validation (1/11 Model Scale)
4.3. 1/2 Scale Model Analysis for Real Sea Test
5. Conclusions
Author Contributions
Funding
Institutional Review Board Statement
Informed Consent Statement
Data Availability Statement
Conflicts of Interest
References
- Salter, S.H. Wave power. Nature 1974, 249, 720–724. [Google Scholar] [CrossRef]
- Salter, S.H.; Jeffrey, D.C.; Taylor, J.R.M. First Year Interim Report on Edinburgh Wave Power Project: Study of Mechanisms for Extracting Power from Sea Waves; University of Edinburgh: Edinburgh, UK, 1975. [Google Scholar]
- Evans, D. A theory for wave-power absorption by oscillating bodies. J. Fluid Mech. 1976, 77, 1–25. [Google Scholar] [CrossRef]
- Magagna, D.; Margheritini, L.; Alessi, A.; Bannon, E.; Boelman, E.; Bould, D.; Coy, V.; De Marchi, E.; Frigaard, P.B.; Soares, C.G. Workshop on identification of future emerging technologies in the ocean energy sector: JRC Conference and Workshop Reports. In Proceedings of the JRC Conference and Workshop: Workshop on Identification of Future Emerging Technologies in the Ocean Energy Sector, Ispra, Italy, 27 March 2018. [Google Scholar]
- Babarit, A.; Hals, J.; Muliawan, M.J.; Kurniawan, A.; Moan, T.; Krokstad, J. Numerical benchmarking study of a selection of wave energy converters. Renew. Energy 2012, 41, 44–63. [Google Scholar] [CrossRef]
- Sheng, W.; Alcorn, R.; Lewis, A. On improving wave energy conversion, part I: Optimal and control technologies. Renew. Energy 2015, 75, 922–934. [Google Scholar] [CrossRef]
- Falnes, J. A review of wave-energy extraction. Mar. Struct. 2007, 20, 185–201. [Google Scholar] [CrossRef]
- Salter, S.H.; Taylor, J.; Caldwell, N. Power conversion mechanisms for wave energy. Proc. Inst. Mech. Eng. Part M J. Eng. Marit. Environ. 2002, 216, 1–27. [Google Scholar] [CrossRef]
- Babarit, A.; Clément, A.H. Optimal latching control of a wave energy device in regular and irregular waves. Appl. Ocean Res. 2006, 28, 77–91. [Google Scholar] [CrossRef]
- Wu, J.; Yao, Y.; Zhou, L.; Göteman, M. Real-time latching control strategies for the solo Duck wave energy converter in irregular waves. Appl. Energy 2018, 222, 717–728. [Google Scholar] [CrossRef]
- Babarit, A.; Guglielmi, M.; Clément, A.H. Declutching control of a wave energy converter. Ocean Eng. 2009, 36, 1015–1024. [Google Scholar] [CrossRef]
- Peretta, S.; Ruol, P.; Martinelli, L.; Tetu, A.; Kofoed, J.P. Effect of a negative stiffness mechanism on the performance of the Weptos rotors. In Proceedings of the MARINE VI: VI International Conference on Computational Methods in Marine Engineering, Rome, Italy, 15–17 June 2015; pp. 58–72. [Google Scholar]
- Romano, A.; Lara, J.; Barajas, G.; Di Paolo, B.; Bellotti, G.; Di Risio, M.; Losada, I.; De Girolamo, P. Tsunamis Generated by Submerged Landslides: Numerical Analysis of the Near—Field Wave Characteristics. J. Geophys. Res. Ocean. 2020, 125, e2020JC016157. [Google Scholar] [CrossRef]
- Chen, H.; Qian, L.; Ma, Z.; Bai, W.; Li, Y.; Causon, D.; Mingham, C. Application of an overset mesh based numerical wave tank for modelling realistic free-surface hydrodynamic problems. Ocean Eng. 2019, 176, 97–117. [Google Scholar] [CrossRef]
- Ma, Z.; Qian, L.; Martinez-Ferrer, P.; Causon, D.; Mingham, C.; Bai, W. An overset mesh based multiphase flow solver for water entry problems. Comput. Fluids 2018, 172, 689–705. [Google Scholar] [CrossRef]
- Di Paolo, B.; Lara, J.L.; Barajas, G.; Paci, A.; Losada, I.J. Numerical analysis of wave and current interaction with moored floating bodies using overset method. In Proceedings of the International Conference on Offshore Mechanics and Arctic Engineering, Madrid, Spain, 17–22 June 2018; p. V002T008A037. [Google Scholar]
- Hu, Z.Z.; Greaves, D.; Raby, A. Numerical wave tank study of extreme waves and wave-structure interaction using OpenFoam®. Ocean Eng. 2016, 126, 329–342. [Google Scholar] [CrossRef]
- Ko, H.S.; Kim, D.; Poguluri, S.K.; Cho, I.-H.; Bae, Y.H. Optimal performance studies of a horizontal eccentric cylinder-type WEC in western sea of Jeju island with linear inviscid and nonlinear viscous numerical model. Ocean Eng. 2020, 202, 107180. [Google Scholar] [CrossRef]
- Weller, H.G.; Tabor, G.; Jasak, H.; Fureby, C. A tensorial approach to computational continuum mechanics using object-oriented techniques. Comput. Phys. 1998, 12, 620–631. [Google Scholar] [CrossRef]
- Poguluri, S.K.; Bae, Y.H. A study on performance assessment of WEC rotor in the Jeju western waters. Ocean Syst. Eng. 2018, 8, 361–380. [Google Scholar]
- Hong, K.Y.; Ryu, H.J.; Shin, S.H.; Hong, S.W. Wave energy distribution at Jeju Sea and investigation of optimal sites for wave power generation. J. Ocean Eng. Technol. 2004, 18, 8–15. [Google Scholar]
- Yakhot, V.; Orszag, S.; Thangam, S.; Gatski, T.; Speziale, C. Development of turbulence models for shear flows by a double expansion technique. Phys. Fluids A Fluid Dyn. 1992, 4, 1510–1520. [Google Scholar] [CrossRef]
- Jacobsen, N.G.; Fuhrman, D.R.; Fredsøe, J. A wave generation toolbox for the open—Source CFD library: OpenFoam®. Int. J. Numer. Methods Fluids 2012, 70, 1073–1088. [Google Scholar] [CrossRef]
- McCormick, M.E. Ocean Wave Energy Conversion; Courier Corporation: North Chelmsford, MA, USA, 2013. [Google Scholar]
- Goda, Y. Statistical variability of sea state parameters as a function of wave spectrum. Coast. Eng. Jpn. 1988, 31, 39–52. [Google Scholar] [CrossRef]













| Material | Acrylic (Rotor) Steel Bar (Ballast) |
|---|---|
| Beak Angle (deg) | 60 |
| Stern Radius (R) (m) | 0.182 |
| Inner Hollow Radius (RI) (m) | 0.17 |
| Draft (m) | 3.796 |
| Width (m) | 0.455 |
| Horizontal and vertical coordinates of Center of Gravity (CoG) measured from Center of Rotation (CoR) (m) | (−0.093, 0.0998) |
| Mass (kg) | 13.6505 |
| Moment of Inertia (with respect to CoG) (kg·m2) | 0.4934 |
| Mesh Resolution | dx/dz (m) | Mesh Number per Wavelength | Mesh Number per Wave Height | RMSE of Wave Height |
|---|---|---|---|---|
| Grid 1 | 0.025/0.025 | 128 | 5 | 0.00310 |
| Grid 2 | 0.017/0.017 | 188 | 8 | 0.00170 |
| Grid 3 | 0.010/0.010 | 320 | 14 | 0.00094 |
| Grid 4 | 0.007/0.007 | 457 | 19 | 0.00094 |
| Case 1 | Case 2 | Case 3 | Case 4 | Case 5 | Case 6 | |
|---|---|---|---|---|---|---|
| PTO Torque Load () | 1.00 | 1.94 | 3.00 | 4.29 | 5.99 | 7.00 |
| Material | Alloy Steel |
|---|---|
| Beak Angle (deg) | 65 |
| Stern Radius (R) (m) | 1.0 |
| Inner Hollow Radius (RI) (m) | 0.5 |
| Draft (m) | 1.3 |
| Width (m) | 2.5 |
| Horizontal and vertical coordinates of Center of Gravity (CoG) measured from Center of Rotation (CoR) (m) | (−0.1388, 0.1623) |
| Mass (kg) | 6880.2182 |
| Moment of Inertia (with respect to CoG) (kg·m2) | 6790.6920 |
Publisher’s Note: MDPI stays neutral with regard to jurisdictional claims in published maps and institutional affiliations. |
© 2021 by the authors. Licensee MDPI, Basel, Switzerland. This article is an open access article distributed under the terms and conditions of the Creative Commons Attribution (CC BY) license (http://creativecommons.org/licenses/by/4.0/).
Share and Cite
Ko, H.S.; Kim, S.; Bae, Y.H. Study on Optimum Power Take-Off Torque of an Asymmetric Wave Energy Converter in Western Sea of Jeju Island. Energies 2021, 14, 1449. https://doi.org/10.3390/en14051449
Ko HS, Kim S, Bae YH. Study on Optimum Power Take-Off Torque of an Asymmetric Wave Energy Converter in Western Sea of Jeju Island. Energies. 2021; 14(5):1449. https://doi.org/10.3390/en14051449
Chicago/Turabian StyleKo, Haeng Sik, Sangho Kim, and Yoon Hyeok Bae. 2021. "Study on Optimum Power Take-Off Torque of an Asymmetric Wave Energy Converter in Western Sea of Jeju Island" Energies 14, no. 5: 1449. https://doi.org/10.3390/en14051449
APA StyleKo, H. S., Kim, S., & Bae, Y. H. (2021). Study on Optimum Power Take-Off Torque of an Asymmetric Wave Energy Converter in Western Sea of Jeju Island. Energies, 14(5), 1449. https://doi.org/10.3390/en14051449

