Sizing and Coordination Strategies of Battery Energy Storage System Co-Located with Wind Farm: The UK Perspective
Abstract
1. Introduction
2. Modelling of Wind + BESS System with Coordination Strategy for EFR
2.1. Technical Requirements of EFR Service in the UK
2.2. Modelling of Wind + BESS Systems for EFR
2.3. Coordination Strategies of Wind + BESS Systems
2.3.1. NPE Coordination Strategy
2.3.2. ENPE Coordination Strategy
2.3.3. PE Coordination Strategy
2.4. Modelling of Lithium-Ion Battery Degradation
3. Particle Swarm Optimisation-Based Sizing Algorithm
3.1. Revenue and Cost of Consolidating BESS in the UK
3.1.1. Revenue of EFR Service
3.1.2. Monetary Gain or Loss Related to Wind Generation (WG)
3.1.3. CAPEX and OPEX of Lithium-Ion BESS and Connection
- Application fee:Prior to grouping the BESS within an existing connection site, a modification application is required to review and potentially amend the existing connection agreement [37]. The application fee depending on the connection zone and the change of transmission entry capacity (TEC) is calculated using an application fee calculator [38] provided by the NGESO. It is noted that a new, independent connection of a stand-alone BESS to the transmission system requires a new application [37] which differs from the modification application in the cost [38].
- Transmission Network Use of System (TNUoS) charge:Generators using the GB transmission networks to deliver electricity need to pay TNUoS charges to the NGESO [39] which largely depend on the type of the generator. A stand-alone BESS is charged as a conventional carbon generator while a wind + BESS system (i.e., a combination of intermittent and conventional carbon) would be charged according to its predominant fuel type under the present charging methodologies [39]. In the case of the predominant fuel type being intermittent, the increase of annual TNUoS charge (denoted by ) due to the co-located BESS depends on the growth of annual load factor (ALF). Since an ALF of around 10.8% would be used for a BESS prior to any historic data being available [32], the ALF of the wind+BESS system is presumed to increase by in this study where the consolidation does not change the TEC.
- Balancing Services Use of System (BSUoS) charge:BSUoS charges paid by generators and suppliers recover the costs of balancing services activities undertaken by the NGESO including the operation of transmission system and the balancing services procured and used to balance the transmission system [40]. Based on the BSUoS price (GBP/MWh) [40] in a SP, the change of the BSUoS charge (i.e., ) after the co-location of the BESS is computed from the difference in the net electricity passing through the connection point in the SP which equals where is the average EFR delivery over the SP.
| Connection Type | Independent | Co-Located w/o TEC Change | |
|---|---|---|---|
| CAPEX(GBP) | Application fee 1 | 34,860 + 226.2 | 26,145 |
| NAoR capital cost 2 | 6,240,000 | N/A | |
| OPEX(GBP) | TNUoS 3 | 715.86 per yr. | 919.573 per yr. |
| related | related | ||
| NAoR non-capital cost 2 | 147,538 per yr. | N/A | |
3.2. Particle Swarm Optimisation-Based Sizing Algorithm
4. Results and Model Validation
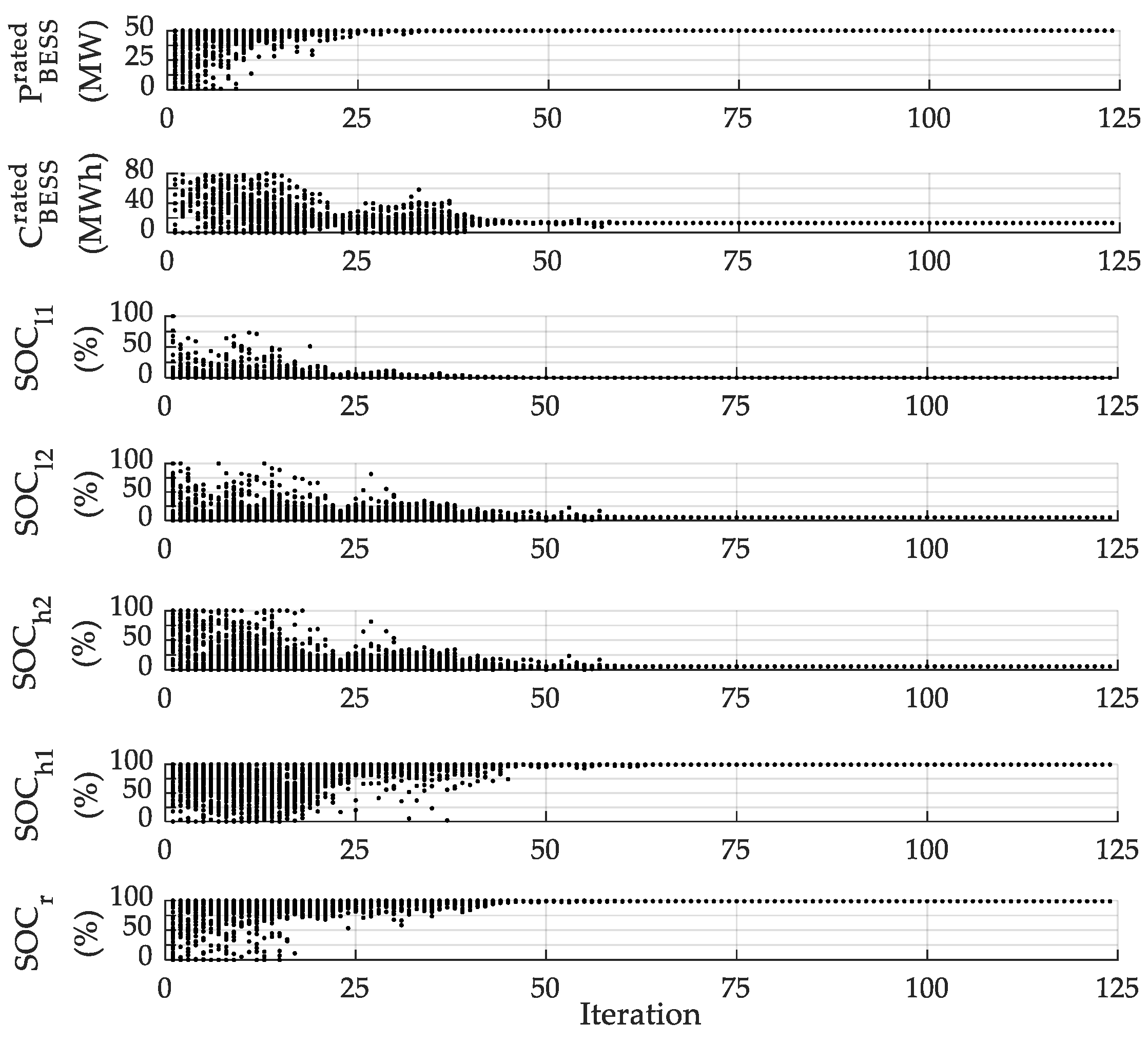
4.1. Assessment of PSO Based Simulation Results
4.2. EFR Performance and BESS Usage
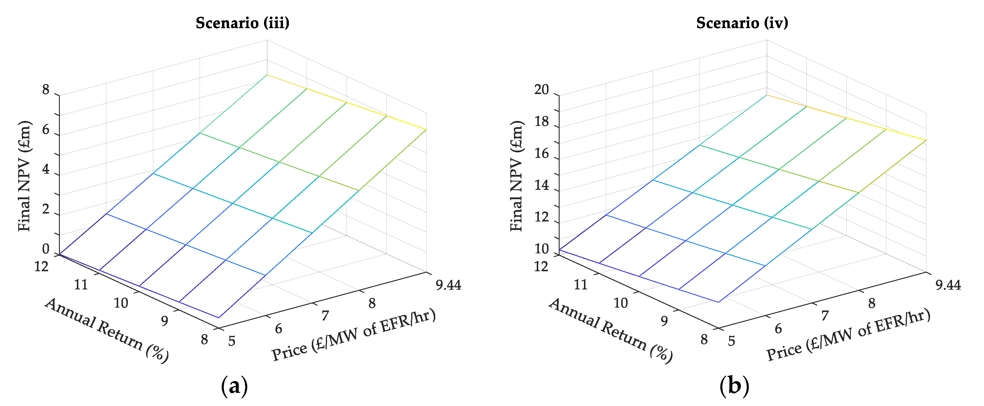
4.3. Cost–Benefit Analysis
5. Conclusions and Future Work
Author Contributions
Funding
Data Availability Statement
Conflicts of Interest
Nomenclature
| Enhanced Frequency Response (EFR) | |
| Lower EFR envelope | |
| Higher EFR envelope | |
| Contracted EFR power capacity | |
| EFR delivery in NPE strategy | |
| EFR delivery in ENPE strategy | |
| EFR delivery in PE strategy | |
| Average EFR delivery in PE strategy in a settlement period (SP) | |
| Average EFR delivery inside the deadband in a SP | |
| Service performance measure | |
| Average SPM over 12 months | |
| Availability factor | |
| Time step length in simulation | |
| Wind Farm (WF) | |
| Available wind power | |
| Wind power flowing to WF meter | |
| Wind power curtailment | |
| Wind power flowing to BESS | |
| Ampacity of connection point | |
| Average difference in power flow across WF meter between a wind + BESS system and a single WF in a SP | |
| Battery Energy Storage System (BESS) | |
| Power capacity of BESS | |
| Energy capacity of BESS | |
| Power capacity of the converter (AdC) between BESS and WF | |
| Discharge rate of BESS | |
| Charge rate of BESS | |
| State of change (SOC)-related limit on charge rate of BESS | |
| BESS power flowing to WF meter | |
| Discharging efficiency of BESS | |
| Charging efficiency of BESS | |
| DC-to-AC efficiency of AdC | |
| AC-to-DC efficiency of AdC | |
| Minimum allowable SOC level | |
| Maximum allowable SOC level | |
| Initial SOC of BESS in ∆t | |
| Final SOC of BESS in ∆t | |
| Temporary SOC after delivery of in ENPE strategy | |
| Temporary SOC after delivery of in PE strategy | |
| , , , , , , | SOC-related strategy variables |
| Battery Degradation Model | |
| BESS degradation function | |
| Cycle ageing function | |
| Calendar ageing function | |
| Time period for degradation update | |
| Number of cycles over | |
| Depth of discharge in a cycle | |
| Cell temperature in a cycle | |
| Average cell temperature over | |
| Average SOC in a cycle | |
| Average SOC over | |
| Coefficient in the solid electrolyte interphase (SEI) model | |
| Coefficient in the SEI model | |
| Remaining capacity of BESS at the end of the -days | |
| Remaining capacity of BESS at the end of the 4-years | |
| Revenue and Cost Calculation | |
| CAPEX of BESS | |
| CAPEX of BESS connection | |
| Monthly OPEX of BESS | |
| Change of annual TNUoS charge | |
| Change of monthly TNUoS charge | |
| Change of BSUoS charge in a SP | |
| Change of BSUoS charge in a month | |
| Revenue related to in a SP | |
| Revenue related to in a month | |
| EFR availability payment in a SP | |
| EFR availability payment in a month | |
| Energy imbalance charge related to in a SP | |
| Energy imbalance charge related to in a month | |
| Net present value | |
| EFR tendered price | |
| Energy imbalance price | |
| Renewables subsidy price under Renewables Obligation | |
| Number of calendar months | |
| Annual return rate | |
References
- Renewable Energy Association. Energy storage in the UK—An Overview; Renewable Energy Association: London, UK, 2016. [Google Scholar]
- Fan, F.; Xu, H.; Kockar, I. Utilisation of energy storage to improve distributed generation connections and network operation on Shetland Islands. In Proceedings of the 25th International Conference and Exhibition on Electricity Distribution, Madrid, Spain, 3–6 June 2019; pp. 1–5. [Google Scholar]
- Li, C.; Zhou, H.; Li, J.; Dong, Z. Economic dispatching strategy of distributed energy storage for deferring substation expansion in the distribution network with distributed generation and electric vehicle. J. Clean. Prod. 2020, 253, 119862. [Google Scholar] [CrossRef]
- Greenwood, D.M.; Lim, K.Y.; Patsios, C.; Lyons, P.F.; Lim, Y.S.; Taylor, P.C. Frequency response services designed for energy storage. Appl. Energy 2017, 203, 115–127. [Google Scholar] [CrossRef]
- Gundogdu, B.; Nejad, S.; Gladwin, D.T.; Foster, M.P.; Stone, D.A. A battery energy management strategy for UK enhanced frequency response and triad avoidance. IEEE Trans. Ind. Electron. 2018, 65, 9509–9517. [Google Scholar] [CrossRef]
- Metz, D.; Saraiva, J.T. Use of battery storage systems for price arbitrage operations in the 15- and 60-min German intraday markets. Electr. Power Syst. Res. 2018, 160, 27–36. [Google Scholar] [CrossRef]
- Campos-Gaona, D.; Madariaga, A.; Zafar, J.; Anaya-Lara, O.; Burt, G. Techno-economic analysis of energy storage system for wind farms: The UK perspective. In Proceedings of the 2018 International Conference on Smart Energy Systems and Technologies, Sevilla, Spain, 10–12 September 2018. [Google Scholar]
- Energy UK. Ancillary Services Report 2017. Available online: https://www.energy-uk.org.uk/publication.html?task=file.download&id=6138 (accessed on 24 March 2020).
- National Grid Electricity System Operator (NGESO). Firm Frequency Response (FFR). Available online: https://www.nationalgrideso.com/balancing-services/frequency-response-services/firm-frequency-response-ffr (accessed on 25 March 2020).
- NGESO. State of Charge Management Guidance for FFR Providers. Available online: https://www.nationalgrideso.com/sites/eso/files/documents/State%20of%20Charge%20management%20publication%20-%20EXT_0.pdf (accessed on 25 March 2020).
- NGESO. Enhanced Frequency Response Market Information Report. Available online: https://www.nationalgrideso.com/sites/eso/files/documents/EFR%20Market%20Information%20Report%20v1.pdf (accessed on 7 February 2020).
- NGESO. Response and Reserve Roadmap. Available online: https://www.nationalgrideso.com/document/157791/download (accessed on 25 March 2020).
- NGESO. Phase 2 Auction Trial. Available online: https://www.nationalgrideso.com/balancing-services/frequency-response-services/frequency-auction-trial?technical-requirements (accessed on 25 March 2020).
- Office of Gas and Electricity Markets (OFGEM). Guidance for Generators That Receive or Would Like to Receive Support under the Renewables Obligation (RO) Scheme. Available online: https://www.ofgem.gov.uk/system/files/docs/2019/04/ro_generator_guidance_apr19.pdf (accessed on 28 February 2020).
- Department for Business, Energy & Industrial Strategy. Policy Paper Contracts for Difference. Available online: https://www.gov.uk/government/publications/contracts-for-difference/contract-for-difference (accessed on 24 February 2020).
- Ye, R.L.; Guo, Z.Z.; Liu, R.Y.; Liu, J.N. An optimal sizing method for energy storage system in wind farms based on analysis of wind power forecast error. IOP Conf. Ser. Mater. Sci. Eng. 2016, 161, 012085. [Google Scholar] [CrossRef]
- Korpaas, M.; Holen, A.T.; Hildrum, R. Operation and sizing of energy storage for wind power plants in a market system. Int. J. Electr. Power Energy Syst. 2003, 25, 599–606. [Google Scholar] [CrossRef]
- Michiorri, A.; Lugaro, J.; Siebert, N.; Girard, R.; Kariniotakis, G. Storage sizing for grid connected hybrid wind and storage power plants taking into account forecast errors autocorrelation. Renew. Energy 2018, 117, 380–392. [Google Scholar] [CrossRef]
- Liu, Y.; Du, W.; Xiao, L.; Wang, H.; Cao, J. A method for sizing energy storage system to increase wind penetration as limited by grid frequency deviations. IEEE Trans. Power Syst. 2016, 31, 729–737. [Google Scholar] [CrossRef]
- Mejía-Giraldo, D.; Velásquez-Gomez, G.; Muñoz-Galeano, N.; Cano-Quintero, J.B.; Lemos-Cano, S. A BESS sizing strategy for primary frequency regulation support of solar photovoltaic plants. Energies 2019, 12, 317. [Google Scholar] [CrossRef]
- Munoz-Vaca, S.; Patsios, C.; Taylor, P. Enhancing frequency response of wind farms using hybrid energy storage systems. In Proceedings of the 2016 IEEE International Conference on Renewable Energy Research and Applications, Birmingham, UK, 20–23 November 2016. [Google Scholar]
- NGESO. Enhanced Frequency Response Invitation to Tender for Pre-Qualified Parties. Available online: https://www.nationalgrideso.com/document/101541/download (accessed on 12 February 2020).
- Cho, I.H.; Lee, P.Y.; Kim, J.H. Analysis of the effect of the variable charging current control method on cycle life of Li-ion batteries. Energies 2019, 12, 3023. [Google Scholar] [CrossRef]
- Dixon, J.; Andersen, P.B.; Bell, K.; Træholt, C. On the ease of being green: An investigation of the inconvenience of electric vehicle charging. Appl. Energy 2020, 258, 114090. [Google Scholar] [CrossRef]
- Wei, Z.; Leng, F.; He, Z.; Zhang, W.; Li, K. Online state of charge and state of health estimation for a Lithium-Ion battery based on a data-model fusion method. Energies 2018, 11, 1810. [Google Scholar] [CrossRef]
- Canevese, D.; Cirio, D.; Gatti, A.; Rapizza, M.; Micolano, E.M.; Pellegrino, L. Simulation of enhanced frequency response by battery storage systems: The UK versus the continental Europe system. In Proceedings of the 2017 IEEE International Conference on Environment and Electrical Engineering and 2017 IEEE Industrial and Commercial Power Systems Europe, Milan, Italy, 6–9 June 2017. [Google Scholar]
- Johnston, L.; Díaz-González, F.; Gomis-Bellmunt, O.; Corchero-García, C.; Cruz-Zambrano, M. Methodology for the economic optimisation of energy storage systems for frequency support in wind power plants. Appl. Energy 2015, 137, 660–669. [Google Scholar] [CrossRef]
- Wu, J.; Wei, Z.; Liu, K.; Quan, Z.; Li, Y. Battery-involved energy management for hybrid electric bus based on expert-assistance deep deterministic policy gradient algorithm. IEEE Trans. Veh. Technol. 2020, 69, 12786–12796. [Google Scholar] [CrossRef]
- Wu, J.; Wei, Z.; Li, W.; Wang, Y.; Li, Y.; Sauer, D.U. Battery thermal- and health-constrained energy management for hybrid electric bus based on soft actor-critic DRL algorithm. IEEE Trans. Ind. Inform. 2020. [Google Scholar] [CrossRef]
- Xu, B.; Oudalov, A.; Ulbig, A.; Andersson, G.; Kirschen, D.S. Modeling of Lithium-Ion battery degradation for cell life assessment. IEEE Trans. Smart Grid 2018, 9, 1131–1140. [Google Scholar] [CrossRef]
- Lee, Y.L.; Tjhung, T. Rainflow cycle counting techniques. In Metal Fatigue Analysis in Handbook: Practical Problem-Solving Techniques for Computer-Aided Engineering, 1st ed.; Lee, Y.L., Barkey, M.E., Kang, H.T., Eds.; Butterworth-Heinemann: Waltham, MA, USA, 2012; Volume 3, pp. 89–114. [Google Scholar]
- NGESO. Enhanced Frequency Response Frequently Asked Questions. Available online: https://www.nationalgrid.com/sites/default/files/documents/Enhanced%20Frequency%20Response%20FAQs%20v5.0_.pdf (accessed on 24 February 2020).
- ELEXON. Imbalance Pricing Guidance: A guide to Electricity Imbalance Pricing in Great Britain. Available online: https://www.elexon.co.uk/documents/training-guidance/bsc-guidance-notes/imbalance-pricing/ (accessed on 24 February 2020).
- OFGEM. Renewable Obligation (RO) Buy-Out Price and Mutualisation Ceilings for 2020–21. Available online: https://www.ofgem.gov.uk/publications-and-updates/renewables-obligation-ro-buy-out-price-and-mutualisation-ceilings-2020-21 (accessed on 28 February 2020).
- Interim Levy Rate Calculation for Quarterly Obligation Period from 01 January 2020–31 March 2020. Available online: https://sofm.lowcarboncontracts.uk/interimratecalculation?tab=%22Definition%22# (accessed on 24 February 2020).
- Jülch, V. Comparison of electricity storage options using levelized cost of storage (LCOS) method. Appl. Energy 2016, 183, 1594–1606. [Google Scholar] [CrossRef]
- NGESO. Introduction to Co-Location. Available online: https://www.nationalgrideso.com/document/139786/download (accessed on 7 February 2020).
- NGESO. Application Fee Calculator 19_20_0. Available online: https://www.nationalgrideso.com/document/154976/download (accessed on 24 February 2020).
- NGESO. TNUoS Guidance for Generators. Available online: https://www.nationalgrideso.com/document/138046/download (accessed on 24 February 2020).
- NGESO. Balancing Services Use of System (BSUoS) Charges. Available online: https://www.nationalgrideso.com/charging/balancing-services-use-system-bsuos-charges (accessed on 24 February 2020).
- National Grid. Cost Estimator. Available online: https://www.nationalgridet.com/get-connected/cost-estimator (accessed on 24 February 2020).
- Final TNUoS Tariffs for 2019/20. Available online: https://www.nationalgrideso.com/document/137351/download (accessed on 24 February 2020).
- Žižlavský, O. Net present value approach: Method for economic assessment of innovation projects. Procedia Soc. Behav. Sci. 2014, 156, 506–512. [Google Scholar] [CrossRef]
- Kennedy, J.; Eberhart, R. Particle swarm optimization. In Proceedings of the International Conference on Neural Networks, Perth, Australia, 27 November–1 December 1995; pp. 1942–1948. [Google Scholar]
- The MathWorks, Inc. Particle Swarm Optimization, Particleswarm. Available online: https://www.mathworks.com/help/gads/particleswarm.html (accessed on 24 February 2020).
- Lee, K.Y.; Park, J.B. Application of particle swarm optimization to economic dispatch problem: Advantages and disadvantages. In Proceedings of the 2006 IEEE PES Power Systems Conference and Exposition, Atlanta, GA, USA, 29 October–1 November 2006. [Google Scholar]
- National Grid, Round 3 Offshore Wind Farm Connection Study—Version 1.0. Available online: https://www.waveandtidalknowledgenetwork.com/wp-content/uploads/legacy-files/00883.pdf (accessed on 24 February 2020).
- ELEXON. System Sell & System Buy Prices. Available online: https://www.bmreports.com/bmrs/?q=balancing/systemsellbuyprices (accessed on 7 February 2020).
- NGESO. Historic Frequency Data. Available online: https://www.nationalgrideso.com/balancing-services/frequency-response-services/historic-frequency-data (accessed on 7 February 2020).
- MATLAB Release 2018b; The MathWorks, Inc.: Natick, MA, USA.
- Jamian, J.J.; Abdullah, M.N.; Mokhils, H.; Mustafa, M.W.; Bakar, A.H.A. Global particle swarm optimization for high dimension numerical functions analysis. J. Appl. Math. 2014, 2014, 329193. [Google Scholar] [CrossRef]












| SPM | 0~50% | 50~75% | 75~95% | 95~100% |
| AF | 0% | 50% | 75% | 100% |
| Scenario | Optimised Variables | |||||||||
|---|---|---|---|---|---|---|---|---|---|---|
| (i) | 50 | 13.16 | n/a | 0.11 | 39.65 | 40.10 | 99.29 | n/a | n/a | n/a |
| (ii) | 50 | 13.16 | n/a | 0.08 | 34.26 | 34.26 | 34.26 | n/a | n/a | n/a |
| (iii) | 50 | 13.16 | n/a | 0 | 5.52 | 5.91 | 99.57 | 98.91 | n/a | n/a |
| (iv) | 50 | 13.16 | 7 | 0 | 97.81 | 97.81 | 97.81 | 73.16 | 19.56 | 33.13 |
| Item | Scenario (i) | Scenario (ii) | Scenario (iii) | Scenario (iv) | |
|---|---|---|---|---|---|
| CAPEX of BESS | Battery | 1684.2 | 1684.2 | 1684.2 | 1684.2 |
| Converter | 3300.0 | 3300.0 | 3300.0 | 3761.3 | |
| BOS | 1495.3 | 1495.3 | 1495.3 | 1633.7 | |
| OPEX of BESS | 445.0 | 445.0 | 445.0 | 486.2 | |
| CAPEX of Connection | Application | 46.2 | 26.1 | 26.1 | 26.1 |
| NAoR | 6240.0 | 0.0 | 0.0 | 0.0 | |
| OPEX of Connection | NAoR | 506.6 | 0.0 | 0.0 | 0.0 |
| TNUoS | 122.9 | 157.9 | 157.9 | 157.9 | |
| BSUoS | 96.2 | 50.7 | 76.4 | 73.2 | |
| Total Cost | 13,936.4 | 7159.4 | 7184.9 | 7822.6 | |
| Revenue related to EFR () | 14,186.4 | 14,139.1 | 14,098.9 | 14,155.9 | |
| Revenue related to Wind Generation () | 0 | −169.8 | 278.7 | 11,986.1 | |
| Total Revenue | 14,186.4 | 13,969.4 | 14,377.6 | 26,142.0 | |
| Final NPV | 250.0 | 6809.9 | 7192.8 | 18,319.4 | |
Publisher’s Note: MDPI stays neutral with regard to jurisdictional claims in published maps and institutional affiliations. |
© 2021 by the authors. Licensee MDPI, Basel, Switzerland. This article is an open access article distributed under the terms and conditions of the Creative Commons Attribution (CC BY) license (http://creativecommons.org/licenses/by/4.0/).
Share and Cite
Fan, F.; Zorzi, G.; Campos-Gaona, D.; Burt, G.; Anaya-Lara, O.; Nwobu, J.; Madariaga, A. Sizing and Coordination Strategies of Battery Energy Storage System Co-Located with Wind Farm: The UK Perspective. Energies 2021, 14, 1439. https://doi.org/10.3390/en14051439
Fan F, Zorzi G, Campos-Gaona D, Burt G, Anaya-Lara O, Nwobu J, Madariaga A. Sizing and Coordination Strategies of Battery Energy Storage System Co-Located with Wind Farm: The UK Perspective. Energies. 2021; 14(5):1439. https://doi.org/10.3390/en14051439
Chicago/Turabian StyleFan, Fulin, Giorgio Zorzi, David Campos-Gaona, Graeme Burt, Olimpo Anaya-Lara, John Nwobu, and Ander Madariaga. 2021. "Sizing and Coordination Strategies of Battery Energy Storage System Co-Located with Wind Farm: The UK Perspective" Energies 14, no. 5: 1439. https://doi.org/10.3390/en14051439
APA StyleFan, F., Zorzi, G., Campos-Gaona, D., Burt, G., Anaya-Lara, O., Nwobu, J., & Madariaga, A. (2021). Sizing and Coordination Strategies of Battery Energy Storage System Co-Located with Wind Farm: The UK Perspective. Energies, 14(5), 1439. https://doi.org/10.3390/en14051439

