A Selective Solar Absorber for Unconcentrated Solar Thermal Panels
Abstract
1. Introduction
2. Materials and Methods
2.1. Samples Preparation
2.2. Samples Characterization
2.3. Optimization Procedure
2.4. The Mini-Test-Box Set-Up
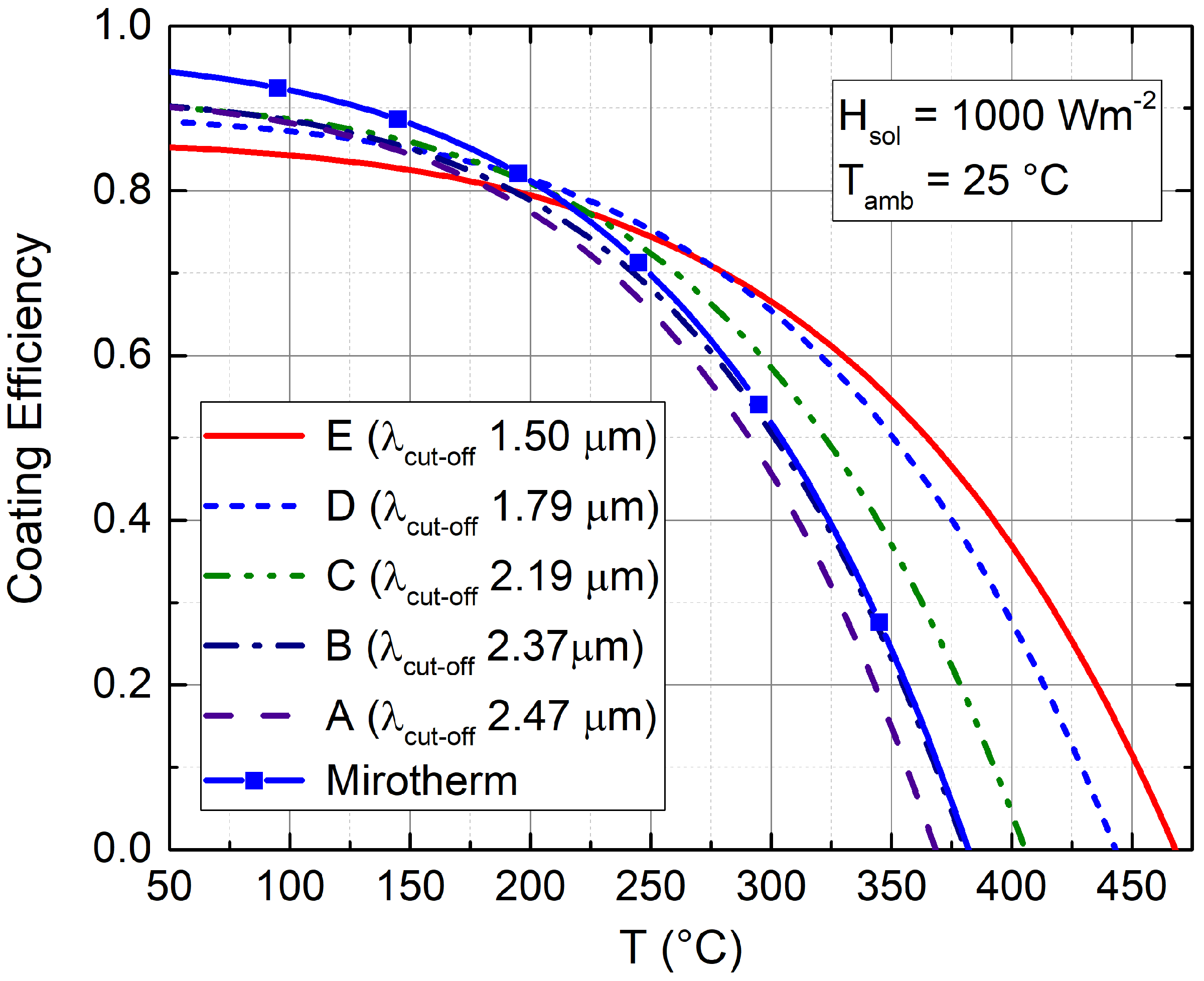
3. Results and Discussion
4. Conclusions
Author Contributions
Funding
Institutional Review Board Statement
Informed Consent Statement
Data Availability Statement
Conflicts of Interest
References
- Chapman, A.J.; McLellan, B.C.; Tezuka, T. Prioritizing mitigation efforts considering co-benefits, equity and energy justice: Fossil fuel to renewable energy transition pathways. Appl. Energy 2018, 219, 187–198. [Google Scholar] [CrossRef]
- Shahsavari, A.; Akbari, M. Potential of solar energy in developing countries for reducing energy-related emissions. Renew. Sustain. Energy Rev. 2018, 90, 275–291. [Google Scholar] [CrossRef]
- Meinshausen, M.; Meinshausen, N.; Hare, W.; Raper, S.C.B.; Frieler, K.; Knutti, R.; Frame, D.J.; Allen, M.R. Greenhouse-gas emission targets for limiting global warming to 2 °C. Nature 2009, 458, 1158–1162. [Google Scholar] [CrossRef]
- Fleiter, T.; Elsland, R.; Rehfeldt, M.; Steinbach, J.; Reiter, U.; Catenazzi, G.; Jakob, M.; Rutten, C.; Harmsen, R.; Dittmann, F.; et al. Profile of heating and cooling demand in 2015. Heat Roadmap Europe. 2017. Available online: www.heatroadmap.eu (accessed on 5 February 2021).
- Kranzl, L.; Hartner, M.; Müller, A.; Resch, G.; Fritz, S.; Fleiter, T.; Herbst, A.; Rehfeldt, M.; Manz, P.; Zubaryeva, A.; et al. Heating & Cooling Outlook until 2050, EU-28. 2018. Available online: https://www.hotmaps-project.eu/wp-content/uploads/2018/05/Hotmaps_D5-2_v16_2019-03-01.pdf (accessed on 5 February 2021).
- Lauterbach, C.; Schmitt, B.; Jordan, U.; Vajen, K. The potential of solar heat for industrial processes in Germany. Renew. Sustain. Energy Rev. 2012, 16, 5121–5130. [Google Scholar] [CrossRef]
- Weinstein, L.A.; Loomis, J.; Bhatia, B.; Bierman, D.M.; Wang, E.N.; Chen, G. Concentrating Solar Power. Chem. Rev. 2015, 115, 12797–12838. [Google Scholar] [CrossRef]
- Kumagai, T.; To, N.; Balčytis, A.; Seniutinas, G.; Juodkazis, S.; Nishijima, Y. Kirchhoff’s Thermal Radiation from Lithography-Free Black Metals. Micromachines 2020, 11, 824. [Google Scholar] [CrossRef]
- Nishijima, Y.; Balčytis, A.; Naganuma, S.; Seniutinas, G.; Juodkazis, S. Kirchhoff’s metasurfaces towards efficient photo-thermal energy conversion. Sci. Rep. 2019, 9, 8284. [Google Scholar] [CrossRef]
- Wang, W.; Wen, H.; Huan, X.; Shi, J.; Li, Z.; Su, J.; Wang, C. Single layer WOx films for efficient solar selective absorber. Mater. Des. 2020, 186, 108351. [Google Scholar] [CrossRef]
- Bermel, P.; Lee, J.; Joannopoulos, J.D.; Celanovic, I.; Soljačić, M. Selective solar absorbers. Annu. Rev. Heat Transf. 2012, 15. [Google Scholar] [CrossRef]
- Ning, Y.; Wang, J.; Ou, C.; Sun, C.; Hao, Z.; Xiong, B.; Wang, L.; Han, Y.; Li, H.; Luo, Y. NiCr–MgF2 spectrally selective solar absorber with ultra-high solar absorptance and low thermal emittance. Sol. Energy Mater. Sol. Cells 2020, 206, 110219. [Google Scholar] [CrossRef]
- Cao, F.; McEnaney, K.; Chen, G.; Ren, Z. A review of cermet-based spectrally selective solar absorbers. Energy Environ. Sci. 2014, 7, 1615–1627. [Google Scholar] [CrossRef]
- Atchuta, S.R.; Sakthivel, S.; Barshilia, H.C. Selective properties of high-temperature stable spinel absorber coatings for concentrated solar thermal application. Sol. Energy 2020, 199, 453–459. [Google Scholar] [CrossRef]
- Xu, K.; Du, M.; Hao, L.; Mi, J.; Yu, Q.; Li, S. A review of high-temperature selective absorbing coatings for solar thermal applications. J. Mater. 2020, 6, 167–182. [Google Scholar] [CrossRef]
- Selvakumar, N.; Barshilia, H.C. Review of physical vapor deposited (PVD) spectrally selective coatings for mid- and high-temperature solar thermal applications. Sol. Energy Mater. Sol. Cells 2012, 98, 1–23. [Google Scholar] [CrossRef]
- Yang, D.; Zhao, X.; Liu, Y.; Li, J.; Liu, H.; Hu, X.; Li, Z.; Zhang, J.; Guo, J.; Chen, Y.; et al. Enhanced thermal stability of solar selective absorber based on nano-multilayered AlCrSiO films. Sol. Energy Mater. Sol. Cells 2020, 207, 110331. [Google Scholar] [CrossRef]
- Khelifa, A.B.; Khamlich, S.; Nuru, Z.Y.; Kotsedi, L.; Mebrahtu, A.; Balgouthi, M.; Guizani, A.A.; Dimassi, W.; Maaza, M. Growth and characterization of spectrally selective Cr2O3/Cr/Cr2O3 multilayered solar absorber by e-beam evaporation. J. Alloys Compd. 2018, 734, 204–209. [Google Scholar] [CrossRef]
- Tsai, T.K.; Li, Y.H.; Fang, J.S. Spectral properties and thermal stability of CrN/CrON/Al2O3 spectrally selective coating. Thin Solid Film. 2016, 615, 91–96. [Google Scholar] [CrossRef]
- Khoza, N.; Nuru, Z.Y.; Sackey, J.; Kotsedi, L.; Matinise, N.; Ndlangamandla, C.; Maaza, M. Structural and optical properties of ZrOx/Zr/ZrOx/AlxOy multilayered coatings as selective solar absorbers. J. Alloys Compd. 2019, 773, 975–979. [Google Scholar] [CrossRef]
- Qiu, X.L.; Gao, X.H.; He, C.Y.; Liu, G. Optical design, thermal shock resistance and failure mechanism of a novel multilayer spectrally selective absorber coating based on HfB2 and ZrB2. Sol. Energy Mater. Sol. Cells 2020, 211, 110533. [Google Scholar] [CrossRef]
- Lin, K.T.; Lin, H.; Yang, T.; Jia, B. Structured graphene metamaterial selective absorbers for high efficiency and omnidirectional solar thermal energy conversion. Nat. Commun. 2020, 11, 1–10. [Google Scholar] [CrossRef]
- Yang, H.; Wang, Q.; Huang, Y.; Feng, J.; Ao, X.; Hu, M.; Pei, G. Spectral optimization of solar selective absorbing coating for parabolic trough receiver. Energy 2019, 183, 639–650. [Google Scholar] [CrossRef]
- Thomas, N.H.; Chen, Z.; Fan, S.; Minnich, A.J. Semiconductor-based Multilayer Selective Solar Absorber for Unconcentrated Solar Thermal Energy Conversion. Sci. Rep. 2017, 7, 5362. [Google Scholar] [CrossRef]
- Benz, N.; Beikircher, T. High efficiency evacuated flat plate solar collector for process steam production. Sol. Energy 1999, 65, 111–118. [Google Scholar] [CrossRef]
- TVPSolar. Available online: https://www.tvpsolar.com (accessed on 5 February 2021).
- Buonomano, A.; Calise, F.; d’Accadia, M.D.; Ferruzzi, G.; Frascogna, S.; Palombo, A.; Russo, R.; Scarpellino, M. Experimental analysis and dynamic simulation of a novel high-temperature solar cooling system. Energy Convers. Manag. 2016, 109, 19–39. [Google Scholar] [CrossRef]
- Alanod. Available online: https://alanod.com/en/products (accessed on 5 February 2021).
- Almeco Group. Available online: https://www.almecogroup.com (accessed on 5 February 2021).
- Palmieri, V.G. (Chief technical Officer TVPSolar). Personal communication.
- Moss, R.; Henshall, P.; Arya, F.; Shire, G.; Eames, P.; Hyde, T. Simulator testing of evacuated flat plate solar collectors for industrial heat and building integration. Sol. Energy 2018, 164, 109–118. [Google Scholar] [CrossRef]
- Moss, R.; Henshall, P.; Arya, F.; Shire, G.; Hyde, T.; Eames, P. Performance and operational effectiveness of evacuated flat plate solar collectors compared with conventional thermal, PVT and PV panels. Appl. Energy 2018, 216, 588–601. [Google Scholar] [CrossRef]
- Li, X.F.; Chen, Y.R.; Miao, J.; Zhou, P.; Zheng, Y.X.; Chen, L.Y.; Lee, Y.P. High solar absorption of a multilayered thin film structure. Opt. Express 2007, 15, 1907–1912. [Google Scholar] [CrossRef] [PubMed]
- Khelifa, A.B.; Soum-Glaude, A.; Khamlich, S.; Glénat, H.; Balghouthi, M.; Guizani, A.A.; Maaza, M.; Dimassi, W. Optical simulation, characterization and thermal stability of Cr2O3/Cr/Cr2O3 multilayer solar selective absorber coatings. J. Alloys Compd. 2019, 783, 533–544. [Google Scholar] [CrossRef]
- Zhou, W.X.; Shen, Y.; Hu, E.T.; Zhao, Y.; Sheng, M.Y.; Zheng, Y.X.; Wang, S.Y.; Lee, Y.P.; Wang, C.Z.; Lynch, D.W.; et al. Nano-Cr-film-based solar selective absorber with high photo-thermal conversion efficiency and good thermal stability. Opt. Express 2012, 20, 28953–28962. [Google Scholar] [CrossRef]
- D’Alessandro, C.; De Maio, D.; De Luca, D.; di Gennaro, E.; Gioffrè, M.; Iodice, M.; Musto, M.; Rotondo, G.; Dalena, D.; Russo, R. Solar Selective Coating for Thermal Applications. Key Eng. Mater. 2019. [Google Scholar] [CrossRef]
- Forouhi, A.R.; Bloomer, I. Optical dispersion relations for amorphous semiconductors and amorphous dielectrics. Phys. Rev. B 1986, 34, 7018–7026. [Google Scholar] [CrossRef]
- Rakić, A.D. Algorithm for the determination of intrinsic optical constants of metal films: Application to aluminum. Appl. Opt. 1995, 34, 4755–4767. [Google Scholar] [CrossRef]
- Boidin, R.; Halenkovič, T.; Nazabal, V.; Beneš, L.; Němec, P. Pulsed laser deposited alumina thin films. Ceram. Int. 2016, 42, 1177–1182. [Google Scholar] [CrossRef]
- Gao, L.; Lemarchand, F.; Lequime, M. Exploitation of multiple incidences spectrometric measurements for thin film reverse engineering. Opt. Express 2012, 20, 15734–15751. [Google Scholar] [CrossRef] [PubMed]
- Windt, D.L. IMD—Software for modeling the optical properties of multilayer films. Comput. Phys. 1998, 12, 360–370. [Google Scholar] [CrossRef]
- Russo, R.; Monti, M.; Giamberardino, F.d.; Palmieri, V.G. Characterization of selective solar absorber under high vacuum. Opt. Express 2018, 26, A480–A486. [Google Scholar] [CrossRef]
- Russo, R.; Monti, M.; D’Alessandro, C.; De Maio, D.; Musto, M.; Koral, C.; Andreone, A.; Di Giamberardino, F.; Palmieri, V. The Absorptance of Selective Solar Absorber Working in High Vacuum. In Proceedings of the 20th Italian National Conference on Photonic Technologies (Fotonica 2018), Lecce, Italy, 23–25 May 2018; Institution of Engineering and Technology: Lecce, Italy, 2018; pp. 56–64. [Google Scholar] [CrossRef]
- De Maio, D.; D’Alessandro, C.; De Luca, D.; Musto, M.; Di Gennaro, E.; Rotondo, G.; Russo, R. Thermal Efficiency of a Concentrating Solar Collector Under High-Vacuum. J. Phys. Conf. Ser. 2020, 1599, 012029. [Google Scholar] [CrossRef]
- D’Alessandro, C.; De Maio, D.; Mundo, T.; Musto, M.; Di Giamberardino, F.; Monti, M.; Dalena, D.; Palmieri, V.; De Luca, D.; Di Gennaro, E.; et al. Low Cost High Intensity LED Illumination Device for High Uniformity Laboratory Purposes. Preprint 2020. [Google Scholar] [CrossRef]
- Delgado-Bonal, A. Entropy of radiation: The unseen side of light. Sci. Rep. 2017, 7, 1642. [Google Scholar] [CrossRef] [PubMed]







| Sample | A | B | C | D | E | Mirotherm |
|---|---|---|---|---|---|---|
| Optimization Temperature (C) | 200 | 250 | 300 | 350 | - | - |
| [13] (m) | 2.47 | 2.37 | 2.19 | 1.79 | 1.50 | ≈2.5 |
| Top dielectric layer thickness (nm) | 110 | 98 | 81 | 59 | 46 | - |
| Metal layer thickness (nm) | 16 | 16 | 15 | 13 | 12 | - |
| Bottom dielectric layer thickness (nm) | 42 | 38 | 32 | 25 | 20 | - |
| SiO2 Anti-Reflective Coating (nm) | 70 | 67 | 63 | 60 | 52 | - |
| Solar absorptance | 0.91 | 0.91 | 0.91 | 0.89 | 0.86 | 0.95 |
| Thermal Emittance (200 C) | 0.056 | 0.050 | 0.041 | 0.031 | 0.026 | 0.058 |
| Thermal Emittance (250 C) | 0.067 | 0.060 | 0.048 | 0.035 | 0.029 | 0.067 |
| Thermal Emittance (300 C) | 0.080 | 0.071 | 0.057 | 0.041 | 0.034 | 0.076 |
| Thermal Emittance (350 C) | 0.094 | 0.083 | 0.066 | 0.047 | 0.038 | 0.087 |
Publisher’s Note: MDPI stays neutral with regard to jurisdictional claims in published maps and institutional affiliations. |
© 2021 by the authors. Licensee MDPI, Basel, Switzerland. This article is an open access article distributed under the terms and conditions of the Creative Commons Attribution (CC BY) license (http://creativecommons.org/licenses/by/4.0/).
Share and Cite
De Maio, D.; D’Alessandro, C.; Caldarelli, A.; De Luca, D.; Di Gennaro, E.; Russo, R.; Musto, M. A Selective Solar Absorber for Unconcentrated Solar Thermal Panels. Energies 2021, 14, 900. https://doi.org/10.3390/en14040900
De Maio D, D’Alessandro C, Caldarelli A, De Luca D, Di Gennaro E, Russo R, Musto M. A Selective Solar Absorber for Unconcentrated Solar Thermal Panels. Energies. 2021; 14(4):900. https://doi.org/10.3390/en14040900
Chicago/Turabian StyleDe Maio, Davide, Carmine D’Alessandro, Antonio Caldarelli, Daniela De Luca, Emiliano Di Gennaro, Roberto Russo, and Marilena Musto. 2021. "A Selective Solar Absorber for Unconcentrated Solar Thermal Panels" Energies 14, no. 4: 900. https://doi.org/10.3390/en14040900
APA StyleDe Maio, D., D’Alessandro, C., Caldarelli, A., De Luca, D., Di Gennaro, E., Russo, R., & Musto, M. (2021). A Selective Solar Absorber for Unconcentrated Solar Thermal Panels. Energies, 14(4), 900. https://doi.org/10.3390/en14040900

