Pattern Recognition of Development Stage of Creepage Discharge of Oil–Paper Insulation under AC–DC Combined Voltage Based on OS-ELM
Abstract
1. Introduction
2. Test System and Method
2.1. Sample and Electrode Model
2.2. Experimental Platform
2.3. Experimental Method
3. Pattern Recognition Based on OS-ELM
4. Experimental Results and Discussion
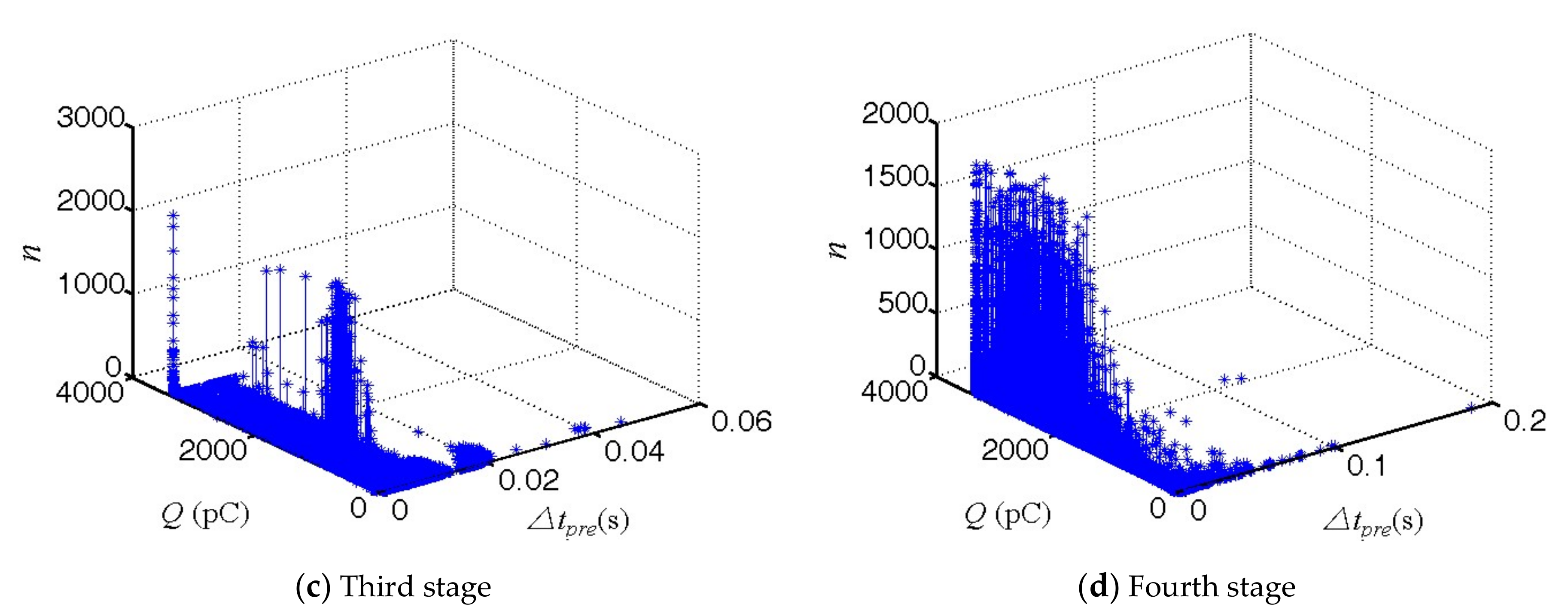
4.1. Creepage Discharge Development Process of Oil–Paper Insulation under ADCV
4.2. Pattern Recognition of Creepage Discharge Development Process Based on OS-ELM
5. Conclusions
Author Contributions
Funding
Institutional Review Board Statement
Informed Consent Statement
Data Availability Statement
Conflicts of Interest
References
- Jin, F.B.; Zhang, S.J.; Zhou, Y.X.; Ma, H.; Tapan, K.S. Pattern Recognition of Development stage of Creepage Discharge of Oil–Paper Insulation Under AC–DC Combined Voltage Based on OS-ELM. In Proceedings of the 2020 IEEE International Conference on High Voltage Engineering and Application (ICHVE 2020), Beijing, China, 6–10 September 2020. [Google Scholar]
- China South Power Grid. Typical Fault Analysis of HVDC Transmission System Equipment; China Electric Power Press: Beijing, China, 2009; pp. 15–173. (In Chinese) [Google Scholar]
- Zhou, Y.X.; Sha, Y.C.; Li, J.Z.; Wang, J.Y. Partial Discharge Characteristics in Oil-paper Insulation Under Combined AC-DC Voltage. IEEE Trans. Dielectr. Electr. Insul. 2014, 21, 1529–1539. [Google Scholar]
- Li, J.H.; Zhang, L.; Han, X.T.; Yao, X.; Li, Y.M. PD Detection and Analysis of Oil-Pressboard Insulation Under Pulsed DC Voltage. IEEE Trans. Dielectr. Electr. Insul. 2017, 24, 324–330. [Google Scholar] [CrossRef]
- Wei, Z.; Li, C.R. Discharge of Oil-pressboard Insulation in AC-DC Composite Field: Phenomenon and Characteristics. IEEE Trans. Dielectr. Electr. Insul. 2016, 23, 237–245. [Google Scholar]
- Wu, H.; Li, C.R.; Qi, B.; Zhao, X.L.; Lv, J.Z.; Zhao, L.J. The Electric Field Distribution in Oil-Paper Insulation Under Combined AC-DC Voltage. In Proceedings of the IEEE International Conference on Condition Monitoring and Diagnosis (CMD 2012), Bali, Indonesia, 23–27 September 2012; pp. 1097–1101. [Google Scholar]
- Zhou, Y.X.; Huang, M.; Chen, W.J.; Lu, L.C.; Jin, F.B.; Huang, J.W. Space Charge Behavior Evolution with Thermal Aging of Oil-paper Insulation. IEEE Trans. Dielectr. Electr. Insul. 2015, 22, 1381–1388. [Google Scholar] [CrossRef]
- Zhou, Y.X.; Jin, F.B.; Sha, Y.C.; Huang, M.; Huang, J.W.; Liu, Z.H.; Lu, L.C. Effects of DC Prestressing on Partial Discharge in Oil-impregnated Pressboard Insulation. IEEE Trans. Dielectr. Electr. Insul. 2016, 23, 4668. [Google Scholar] [CrossRef]
- Zhou, Y.X.; Jin, F.B.; Huang, M.; Le, T.H.; Huang, J.W.; Liu, Z.H.; Lu, L.C. Effects of Thermal Aging on Creepage Discharge in Oil-Impregnated Pressboard Under Combined AC-DC Voltage. IEEE Trans. Dielectr. Electr. Insul. 2015, 22, 2737–2746. [Google Scholar] [CrossRef]
- Li, J.; He, Z.M.; Grzybowski, S. Electrical Aging Lifetime Model of Oil-Impregnated Paper Inder Pulsating DC Voltage Influenced by Temperature Insulation. IEEE Trans. Dielectr. Electr. Insul. 2013, 20, 1992–1997. [Google Scholar] [CrossRef]
- Li, S.M.; Si, W.; Li, Q.Q. Partition and Recognition of Partial Discharge Development Stages in Oil-Pressboard Insulation with Needle-Plate Electrodes Under Combined AC-DC Voltage Stress. IEEE Trans. Dielectr. Electr. Insul. 2017, 24, 1781–1793. [Google Scholar] [CrossRef]
- Wang, K.; Liao, R.J.; Yang, L.; Li, J. Optimal Features Selected by NSGA-II for Partial Discharge Pulses Separation Based on Time-Frequency Representation and Matrix Decomposition. IEEE Trans. Dielectr. Electr. Insul. 2013, 20, 825–838. [Google Scholar] [CrossRef]
- Ma, Z.Q.; Yang, X.; Lin, C.Y.; Zhou, D.; Chen, J.G. Partial Discharge Developing Stages Identification Based on Cluster-Hierarchical Decision SVM in Oil-Paper Insulation. In Proceedings of the 2016 IEEE International Conference on High Voltage Engineering and Application (ICHVE 2016), Chengdu, China, 19–22 September 2016. [Google Scholar]
- Wang, K.; Li, J.Z.; Zhang, S.Q.; Gao, F.; Grzybowski, S. A New Image-Oriented Feature Extraction Method for Partial Discharges. IEEE Trans. Dielectr. Electr. Insul. 2015, 25, 1015–1024. [Google Scholar] [CrossRef]
- Li, S.M.; Li, Q.Q.; Si, W.; Yao, J.Y. An Image-Oriented Recognition Method for PD Development Stage in Oil-Pressboard Insulation with Needle-Plate Model Under AC-DC Mixed Voltage. In Proceedings of the International Conference on Electrical Materials and Power Equipment (ICEMPE 2017), Xi’an, China, 14–17 May 2017; pp. 275–282. [Google Scholar]
- International Electrotechnical Commission. Specification for Pressboard and Press Paper for Electrical Purposes; IEC 60641; IEC: Geneva, Switzerland, 2008. [Google Scholar]
- International Electrotechnical Commission. Electrical Strength of Insulating Materials Test Methods; IEC 60243; IEC: Geneva, Switzerland, 1998. [Google Scholar]
- International Electrotechnical Commission. High Voltage Test Technique-Partial Discharge Measurement; IEC 60270; IEC: Geneva, Switzerland, 2000. [Google Scholar]
- Kennedy, W.M. Recommended Dielectric Tests and Test Procedures for Converter Transformers and Smoothing. IEEE Trans. Power. Deliv. 1986, 3, 161–166. [Google Scholar] [CrossRef]
- IEEE Std C57. 129TM IEEE Standard for General Requirements and Test Code for Oil-Immersed HVDC Converter Transformers; IEEE: Piscataway, NJ, USA, 2008. [Google Scholar]
- Huang, G.B.; Zhu, Q.Y.; Siew, C.K. Extreme Learning Machine: A New Learning Scheme of Feedforward Neural Networks. In Proceedings of the International Joint Conference on Neural Networks (IJCNN 2004), Budapest, Hungary, 25–29 July 2004; pp. 985–990. [Google Scholar]
- Huang, G.B.; Zhu, Q.Y.; Siew, C.K. Extreme Learning Marching: Theory and Application. Neurocomputing 2006, 70, 489–501. [Google Scholar] [CrossRef]
- Zong, W.E.; Huang, G.B.; Chen, Y.Q. Weighted Extreme Learning Machine for Imbalance Learning. Neurocomputing 2013, 101, 229–242. [Google Scholar] [CrossRef]
- Liang, N.Y.; Huang, G.B.; Saratchandran, P.; Sundararajan, N. A Fast and Accurate Online Sequential Learning Algorithm for Feedforward Networks. IEEE Trans. Neural Netw. 2006, 17, 1411–1423. [Google Scholar] [CrossRef] [PubMed]
- Huang, G.B.; Chen, L.; Siew, C.K. Universal Approximation Using Incremental Constructive Feedforward Networks with Random Hidden Nodes. IEEE Trans. Neural Netw. 2006, 17, 879–892. [Google Scholar] [CrossRef] [PubMed]
- Zhang, Q.Q.; Song, H.; Yong, J.; Sheng, G.H. Online Sequential Extreme Learning Machine for Partial Discharge Pattern Recognition of Transformer. In Proceedings of the IEEE Power Engineering Society Transmission and Distribution Conference, Denver, CO, USA, 16–19 April 2018. [Google Scholar]
- He, J.; Liu, C.H.; Tang, Q.H.; Zhang, C.H.; Cao, M.; Xu, X. Partial Discharge Pattern Recognition Algorithm Based on Sparse Self-coding and Extreme Learning Machine. In Proceedings of the 2018 2nd IEEE Conference on Energy Internet and Energy System Integration (EI2 2018), Beijing, China, 20–22 October 2018. [Google Scholar]









| Characteristic Spectra | Characteristic Parameters | |||||
|---|---|---|---|---|---|---|
| Sk | Ku | Asy | Cc | α | β | |
| n-Q | √ | √ | √ | √ | √ | √ |
| n-Δt | √ | √ | √ | √ | √ | √ |
| Q-Δtpre | √ | √ | √ | √ | √ | √ |
| Qmean-Δtpre | √ | √ | √ | √ | √ | √ |
| Algorithm | Training Time/s |
|---|---|
| OS-ELM | 0.0532 |
| ELM | 0.0532 |
| SVM | 574.1774 |
| BPNN | 264.7327 |
Publisher’s Note: MDPI stays neutral with regard to jurisdictional claims in published maps and institutional affiliations. |
© 2021 by the authors. Licensee MDPI, Basel, Switzerland. This article is an open access article distributed under the terms and conditions of the Creative Commons Attribution (CC BY) license (http://creativecommons.org/licenses/by/4.0/).
Share and Cite
Jin, F.; Zhang, S.; Zhou, Y. Pattern Recognition of Development Stage of Creepage Discharge of Oil–Paper Insulation under AC–DC Combined Voltage Based on OS-ELM. Energies 2021, 14, 552. https://doi.org/10.3390/en14030552
Jin F, Zhang S, Zhou Y. Pattern Recognition of Development Stage of Creepage Discharge of Oil–Paper Insulation under AC–DC Combined Voltage Based on OS-ELM. Energies. 2021; 14(3):552. https://doi.org/10.3390/en14030552
Chicago/Turabian StyleJin, Fubao, Shanjun Zhang, and Yuanxiang Zhou. 2021. "Pattern Recognition of Development Stage of Creepage Discharge of Oil–Paper Insulation under AC–DC Combined Voltage Based on OS-ELM" Energies 14, no. 3: 552. https://doi.org/10.3390/en14030552
APA StyleJin, F., Zhang, S., & Zhou, Y. (2021). Pattern Recognition of Development Stage of Creepage Discharge of Oil–Paper Insulation under AC–DC Combined Voltage Based on OS-ELM. Energies, 14(3), 552. https://doi.org/10.3390/en14030552
