Regulation Characteristics and Load Optimization of Pump-Turbine in Variable-Speed Operation
Abstract
:1. Introduction
- (1)
 - Through the establishment of the mathematical model, the influence of the variation coefficient of the guide vane opening and speed and the characteristics of the converter on the stability region of the regulation system is analyzed;
 - (2)
 - Using the parameter energy matching relationship of hydraulic machinery, the load optimization process is proposed, and the regional calculations are performed for the two operating modes, respectively. The level of efficiency improvement and the achievable operation range are determined through the model test curves.
 
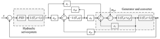
2. Mathematical Model of the Turbine Governing System
2.1. Turbine Governor
2.2. Hydro-Turbine and Penstock System
2.3. Generator Loading and Converter
3. Stability of the Regulation System
3.1. Stability Domain Calculation Formulation
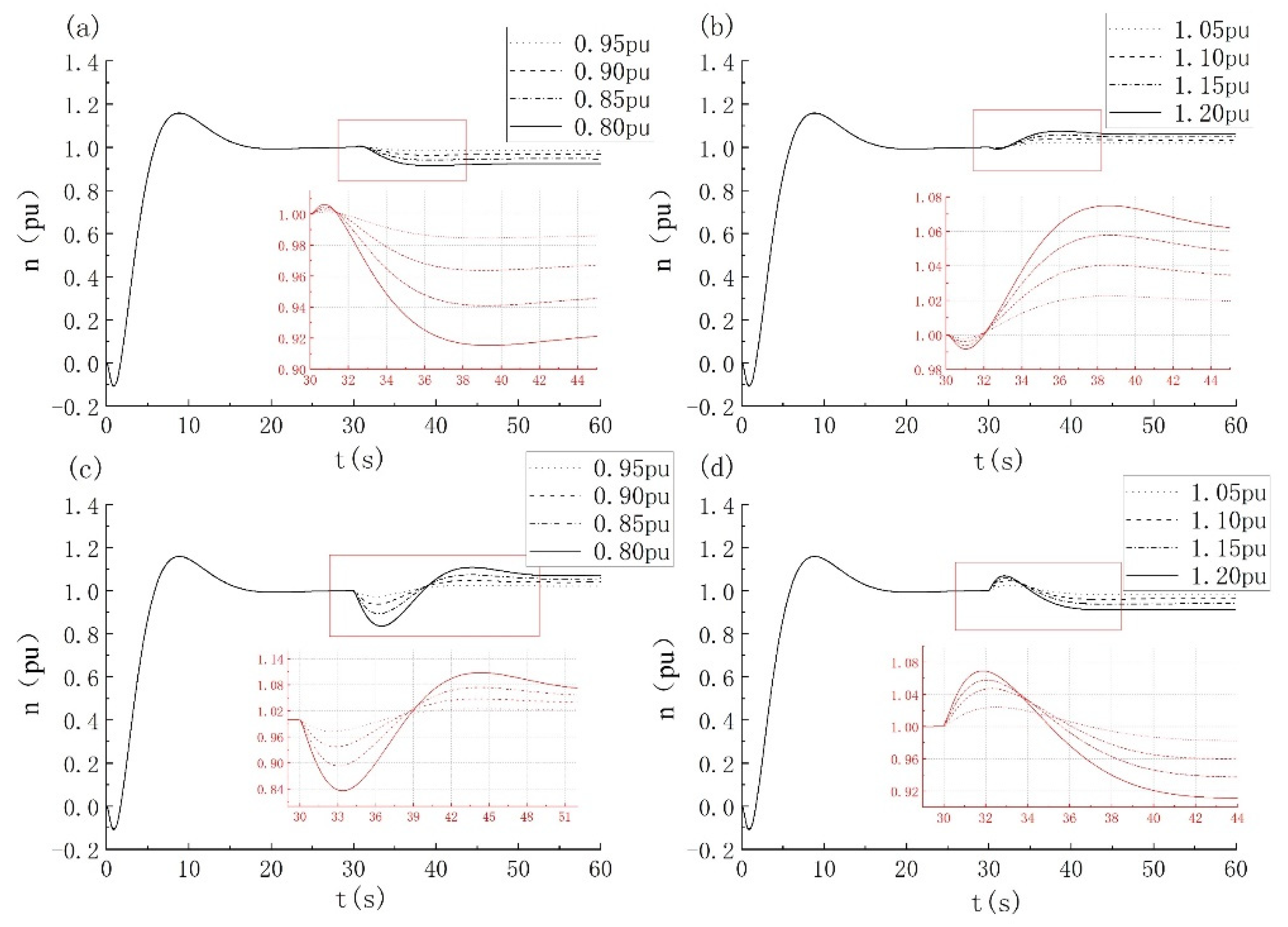
3.2. Effect of Variation of Variable-Speed Parameters
4. The Procedure of Load Optimization
4.1. Control Strategies
4.2. Load Optimization Process of Variable-Speed Pump-Turbine
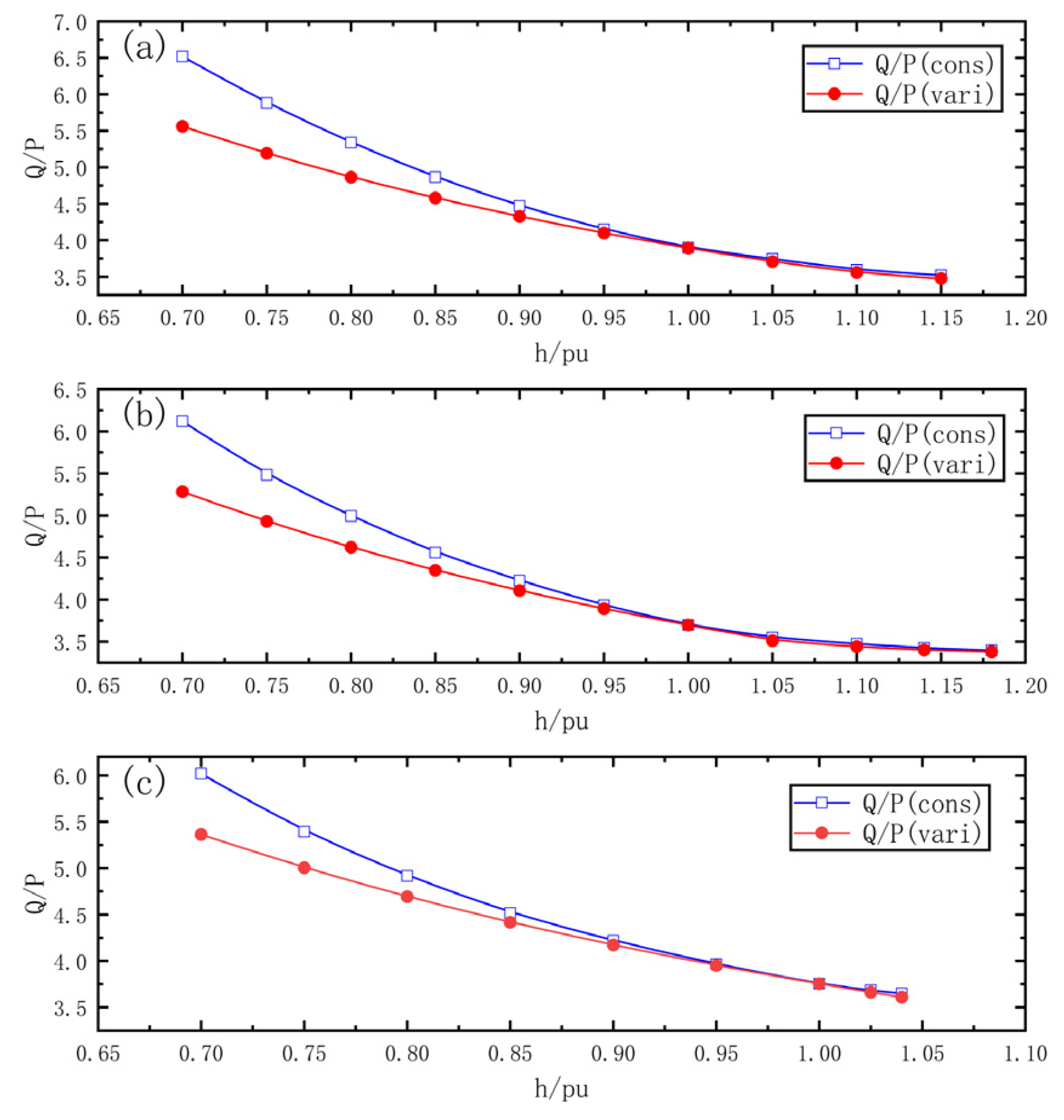
4.2.1. Efficiency Optimization in Generation Mode
4.2.2. Calculation Process in Pump Mode
4.3. Simulation Results of the Control System
5. Adjustable Performance of Variable-Speed Pump-Turbine
5.1. Introduction to the Test Bench
5.2. Generation Mode
5.3. Pump Mode
6. Conclusions
- 1.
 - The variation of the speed and guide vane opening of the hydropower unit have a certain influence on the stability domain of the regulating system. Due to the load optimization characteristics of the variable-speed unit, the working state near the high-efficiency zone within the head range should be set as a long-term consideration condition for better design of the controller;
 - 2.
 - The optimization process of the optimal speed and opening in generation mode and pump mode are determined, respectively. This method can precisely improve the operation efficiency of the unit and provide evaluation and prediction for the modification of conventional hydropower plants;
 - 3.
 - Taking the pump-turbine model test as an example, the controllable range and adjustment ability are analyzed, and the adjustable performance and working characteristics of the classic Francis turbine are obtained. It is proposed that in generation mode, the effect of tracking efficiency by changing the speed is more obvious when the unit is operating under the condition of low-head and low-power;
 - 4.
 - In pump mode, an appropriate fixed guide vane opening can be selected in priority to stability and hump margin, which can also provide a certain adjustment ability of the unit under the fixed guide vane opening during the variable-speed operation.
 
Author Contributions
Funding
Data Availability Statement
Conflicts of Interest
References
- Cheng, M.; Sami, S.S.; Wu, J. Benefits of using virtual energy storage system for power system frequency response. Appl. Energy 2017, 194, 376–385. [Google Scholar] [CrossRef] [Green Version]
 - Beires, P.; Vasconcelos, M.H.; Moreira, C.L.; Peças Lopes, J.A. Stability of autonomous power systems with reversible hydro power plants. Electr. Power Syst. Res. 2018, 158, 1–14. [Google Scholar] [CrossRef]
 - Sperstad, I.B.; Degefa, M.Z.; Kjølle, G. The impact of flexible resources in distribution systems on the security of electricity supply: A literature review. Electr. Power Syst. Res. 2020, 188, 106532. [Google Scholar] [CrossRef]
 - Javed, M.S.; Zhong, D.; Ma, T.; Song, A.; Ahmed, S. Hybrid pumped hydro and battery storage for renewable energy based power supply system. Appl. Energy 2020, 257, 114026. [Google Scholar] [CrossRef]
 - Rahmati, I.; Akbari Foroud, A. Pumped-storage units to address spinning reserve concerns in the grids with high wind penetration. J. Energy Storage 2020, 31, 101612. [Google Scholar] [CrossRef]
 - Yang, W.; Norrlund, P.; Saarinen, L.; Witt, A.; Smith, B.; Yang, J.; Lundin, U. Burden on hydropower units for short-term balancing of renewable power systems. Nat. Commun. 2018, 9, 2633. [Google Scholar] [CrossRef] [PubMed] [Green Version]
 - Beevers, D.; Branchini, L.; Orlandini, V.; De Pascale, A.; Perez-Blanco, H. Pumped hydro storage plants with improved operational flexibility using constant speed Francis runners. Appl. Energy 2015, 137, 629–637. [Google Scholar] [CrossRef] [Green Version]
 - Yang, W.J.; Norrlund, P.; Chung, C.Y.; Yang, J.D.; Lundin, U. Eigen-analysis of hydraulic-mechanical-electrical coupling mechanism for small signal stability of hydropower plant. Renew. Energy 2018, 115, 1014–1025. [Google Scholar] [CrossRef]
 - Xu, B.; Chen, D.; Venkateshkumar, M.; Xiao, Y.; Yue, Y.; Xing, Y.; Li, P. Modeling a pumped storage hydropower integrated to a hybrid power system with solar-wind power and its stability analysis. Appl. Energy 2019, 248, 446–462. [Google Scholar] [CrossRef]
 - Bortoni, E.; de Souza, Z.; Viana, A.; Villa-Nova, H.; Rezek, A.; Pinto, L.; Siniscalchi, R.; Braganca, R.; Bernardes, J. The Benefits of Variable Speed Operation in Hydropower Plants Driven by Francis Turbines. Energies 2019, 12, 3719. [Google Scholar] [CrossRef] [Green Version]
 - Huang, S.; Xiong, L.; Wang, J.; Li, P.; Wang, Z.; Ma, M. Fixed-time synergetic controller for stabilization of hydraulic turbine regulating system. Renew. Energy 2020, 157, 1233–1242. [Google Scholar] [CrossRef]
 - Zhiwei, G.; Chihang, W.; Zhongdong, Q.; Xianwu, L.; Weipeng, X. Suppression of hump characteristic for a pump-turbine using leading-edge protuberance. Proc. Inst. Mech. Eng. Part A J. Power Energy 2019, 234, 187–194. [Google Scholar] [CrossRef]
 - Binama, M.; Su, W.; Cai, W.; Li, F.; Wei, X.; Muhirwa, A.; Gong, R.; Wekesa, D.W. Investigation on reversible pump turbine flow structures and associated pressure field characteristics under different guide vane openings. Sci. China Technol. Sci. 2019, 62, 2052–2074. [Google Scholar] [CrossRef]
 - Cavazzini, G.; Houdeline, J.-B.; Pavesi, G.; Teller, O.; Ardizzon, G. Unstable behaviour of pump-turbines and its effects on power regulation capacity of pumped-hydro energy storage plants. Renew. Sustain. Energy Rev. 2018, 94, 399–409. [Google Scholar] [CrossRef]
 - Holzer, T.; Muetze, A.; Traxler-Samek, G.; Lecker, M.; Zerobin, F. Generator Design Possibilities for Full-Size Converter Operation of Large Pumped Storage Power Plants. IEEE Trans. Ind. Appl. 2020, 56, 3644–3655. [Google Scholar] [CrossRef]
 - Zhao, G.P.; Ren, J.Y. Research on an Output Power Model of a Doubly-Fed Variable-Speed Pumped Storage Unit with Switching Process. Appl. Sci. 2019, 9, 3368. [Google Scholar] [CrossRef] [Green Version]
 - Joseph, A.; Chelliah, T.R.; Lee, S.S.; Lee, K.B. Reliability of Variable Speed Pumped-Storage Plant. Electronics 2018, 7, 265. [Google Scholar] [CrossRef] [Green Version]
 - Joseph, A.; Chelliah, T.R. A Review of Power Electronic Converters for Variable Speed Pumped Storage Plants: Configurations, Operational Challenges, and Future Scopes. IEEE J. Emerg. Sel. Top. Power Electron. 2018, 6, 103–119. [Google Scholar] [CrossRef]
 - Yin, X. An up to date review of continuously variable speed wind turbines with mechatronic variable transmissions. Int. J. Energy Res. 2018, 42, 1442–1454. [Google Scholar] [CrossRef]
 - Yang, W.J.; Yang, J.D. Advantage of variable-speed pumped storage plants for mitigating wind power variations: Integrated modelling and performance assessment. Appl. Energy 2019, 237, 720–732. [Google Scholar] [CrossRef]
 - Feng, C.; Zheng, Y.; Li, C.; Mai, Z.; Wu, W.; Chen, H. Cost advantage of adjustable-speed pumped storage unit for daily operation in distributed hybrid system. Renew. Energy 2021, 176, 1–10. [Google Scholar] [CrossRef]
 - Feng, C.; Li, C.S.; Chang, L.; Ding, T.; Mai, Z.J. Advantage analysis of variable-speed pumped storage units in renewable energy power grid: Mechanism of avoiding S-shaped region. Int. J. Electr. Power Energy Syst. 2020, 120, 105976. [Google Scholar] [CrossRef]
 - Nygren, L. Hydraulic Energy Harvesting with Variable-Speed-Driven Centrifugal Pump as Turbine. Master’s Thesis, Lappeenranta University of Technology, Lappeenranta, Finland, 2017. [Google Scholar]
 - Hyypiä, J. Hydraulic Energy Recovery by Replacing a Control Valve with a Centrifugal Pump Used as a Turbine. Ph.D. Thesis, Lappeenranta University of Technology, Lappeenranta, Finland, 2016. [Google Scholar]
 - Azbe, V.; Mihalic, R. Transient stability of a large doubly-fed induction machine in a pumped-storage plant. Electr. Power Syst. Res. 2017, 142, 29–35. [Google Scholar] [CrossRef]
 - Xu, Y.H.; Zhou, J.Z.; Xue, X.M.; Fu, W.L.; Zhu, W.L.; Li, C.S. An adaptively fast fuzzy fractional order PID control for pumped storage hydro unit using improved gravitational search algorithm. Energy Convers. Manag. 2016, 111, 67–78. [Google Scholar] [CrossRef]
 - Chen, Z.; Yuan, Y.; Yuan, X.; Huang, Y.; Li, X.; Li, W. Application of multi-objective controller to optimal tuning of PID gains for a hydraulic turbine regulating system using adaptive grid particle swam optimization. ISA Trans. 2015, 56, 173–187. [Google Scholar] [CrossRef] [PubMed]
 - Alizadeh Bidgoli, M.; Yang, W.; Ahmadian, A. DFIM versus synchronous machine for variable speed pumped storage hydropower plants: A comparative evaluation of technical performance. Renew. Energy 2020, 159, 72–86. [Google Scholar] [CrossRef]
 - Borkowski, D. Analytical Model of Small Hydropower Plant Working at Variable Speed. IEEE Trans. Energy Convers. 2018, 33, 1886–1894. [Google Scholar] [CrossRef]
 - Yao, W.W.; Deng, C.H.; Peng, P. Optimization Method and Reduced-Order Steady-State Model for Variable-Speed Pump-Turbine Unit. IEEE Access 2021, 9, 31130–31142. [Google Scholar] [CrossRef]
 - Ramirez, D.; Martinez, S.; Carrero, C.; Platero, C.A. Improvements in the grid connection of renewable generators with full power converters. Renew. Energy 2012, 43, 90–100. [Google Scholar] [CrossRef]
 - Tian, C.; Liu, R.; Yao, C.; Lv, Q.; Wang, H. An Improved Hydraulic Turbine Model and Its Impact on Fast Frequency Response. In Proceedings of the 2019 IEEE International Conference on Energy Internet (ICEI), Nanjing, China, 27–31 May 2019; pp. 13–18. [Google Scholar]
 - IEC. Hydraulic Turbines, Storage Pumps and Pump-Turbines—Model Acceptance Tests. In IEC Standard 60193; IEC: Geneva, Switzerland, 2019. [Google Scholar]
 - Macías Ávila, C.A.; Sánchez-Romero, F.-J.; López-Jiménez, P.A.; Pérez-Sánchez, M. Definition of the Operational Curves by Modification of the Affinity Laws to Improve the Simulation of PATs. Water 2021, 13, 1880. [Google Scholar] [CrossRef]
 - Li, C.; Zhou, J. Parameters identification of hydraulic turbine governing system using improved gravitational search algorithm. Energy Convers. Manag. 2011, 52, 374–381. [Google Scholar] [CrossRef]
 - Pan, W.X.; Zhu, Z.; Liu, T.C.; Liu, M.Y.; Tian, W. Optimal Control for Speed Governing System of On-Grid Adjustable-Speed Pumped Storage Unit Aimed at Transient Performance Improvement. IEEE Access 2021, 9, 40445–40457. [Google Scholar] [CrossRef]
 - Zuyi, S. Hydro Turbine Regulation System Analysis; Water Resources and Hydropower Press: Beijing, China, 1996. [Google Scholar]
 - Hiskens, I.A. Dynamics of Type-3 Wind Turbine Generator Models. IEEE Trans. Power Syst. 2012, 27, 465–474. [Google Scholar] [CrossRef] [Green Version]
 - Mercier, T.; Hardy, C.; Van Tichelen, P.; Olivier, M.; De Jaeger, E. Control of variable-speed pumps used as turbines for flexible grid-connected power generation. Electr. Power Syst. Res. 2019, 176, 105962. [Google Scholar] [CrossRef]
 - Simpson, A.R.; Marchi, A. Evaluating the Approximation of the Affinity Laws and Improving the Efficiency Estimate for Variable Speed Pumps. J. Hydraul. Eng. 2013, 139, 1314–1317. [Google Scholar] [CrossRef] [Green Version]
 - Zhu, L.; Meng, X.C.; Zhang, J.G. Pressure fluctuation test and vortex observation in Francis turbines draft tube. In 29th IAHR Symposium on Hydraulic Machinery and Systems, Kyoto, Japan, 16–21 September 2018; IOP Publishing Ltd.: Bristol, UK, 2019; pp. 22–29. [Google Scholar]
 - Sivakumar, N.; Das, D.; Padhy, N.P. Variable speed operation of reversible pump-turbines at Kadamparai pumped storage plant—A case study. Energy Convers. Manag. 2014, 78, 96–104. [Google Scholar] [CrossRef]
 




















| Corresponding Picture | Head (pu) | ||||
|---|---|---|---|---|---|
| (a) | 0.95 | 0.9259 | 0.5130 | 1.2366 | 1.1450 | 
| (b) | 1.05 | 1.0759 | 0.4880 | 0.8078 | 0.8619 | 
| (c) | 1.10 | 1.1537 | 0.4767 | 0.6503 | 0.7502 | 
| (d) | 1.15 | 1.2332 | 0.4663 | 0.5200 | 0.6412 | 
| Parameter | Unit | Value | |
|---|---|---|---|
| Generating Mode | Pumping Mode | ||
| nm | rpm | 1080 | 1200 | 
| Qm | m3/s | 0.217 | 0.224 | 
| Hm | m | 30.101 | 30.116 | 
| Mm | kN·m | 522.81 | 578.41 | 
| Dm | m | 0.400 | 0.400 | 
| Pm | kW | 59.16 | 72.72 | 
Publisher’s Note: MDPI stays neutral with regard to jurisdictional claims in published maps and institutional affiliations.  | 
© 2021 by the authors. Licensee MDPI, Basel, Switzerland. This article is an open access article distributed under the terms and conditions of the Creative Commons Attribution (CC BY) license (https://creativecommons.org/licenses/by/4.0/).
Share and Cite
Wang, H.; Ma, Z. Regulation Characteristics and Load Optimization of Pump-Turbine in Variable-Speed Operation. Energies 2021, 14, 8484. https://doi.org/10.3390/en14248484
Wang H, Ma Z. Regulation Characteristics and Load Optimization of Pump-Turbine in Variable-Speed Operation. Energies. 2021; 14(24):8484. https://doi.org/10.3390/en14248484
Chicago/Turabian StyleWang, He, and Zhijie Ma. 2021. "Regulation Characteristics and Load Optimization of Pump-Turbine in Variable-Speed Operation" Energies 14, no. 24: 8484. https://doi.org/10.3390/en14248484
APA StyleWang, H., & Ma, Z. (2021). Regulation Characteristics and Load Optimization of Pump-Turbine in Variable-Speed Operation. Energies, 14(24), 8484. https://doi.org/10.3390/en14248484
        
                                                
