Accessibility of Pores to Methane in New Albany Shale Samples of Varying Maturity Determined Using SANS and USANS
Abstract
:1. Introduction
2. Samples
3. Experimental Methods
3.1. Principle of Contrast Matching Measurements of SANS and USANS
3.2. Instruments
3.3. Pressure Cycling Conditions
3.4. Supporting Measurements
4. Results and Discussion
4.1. Mineralogy and Physical Properties of Shale Samples
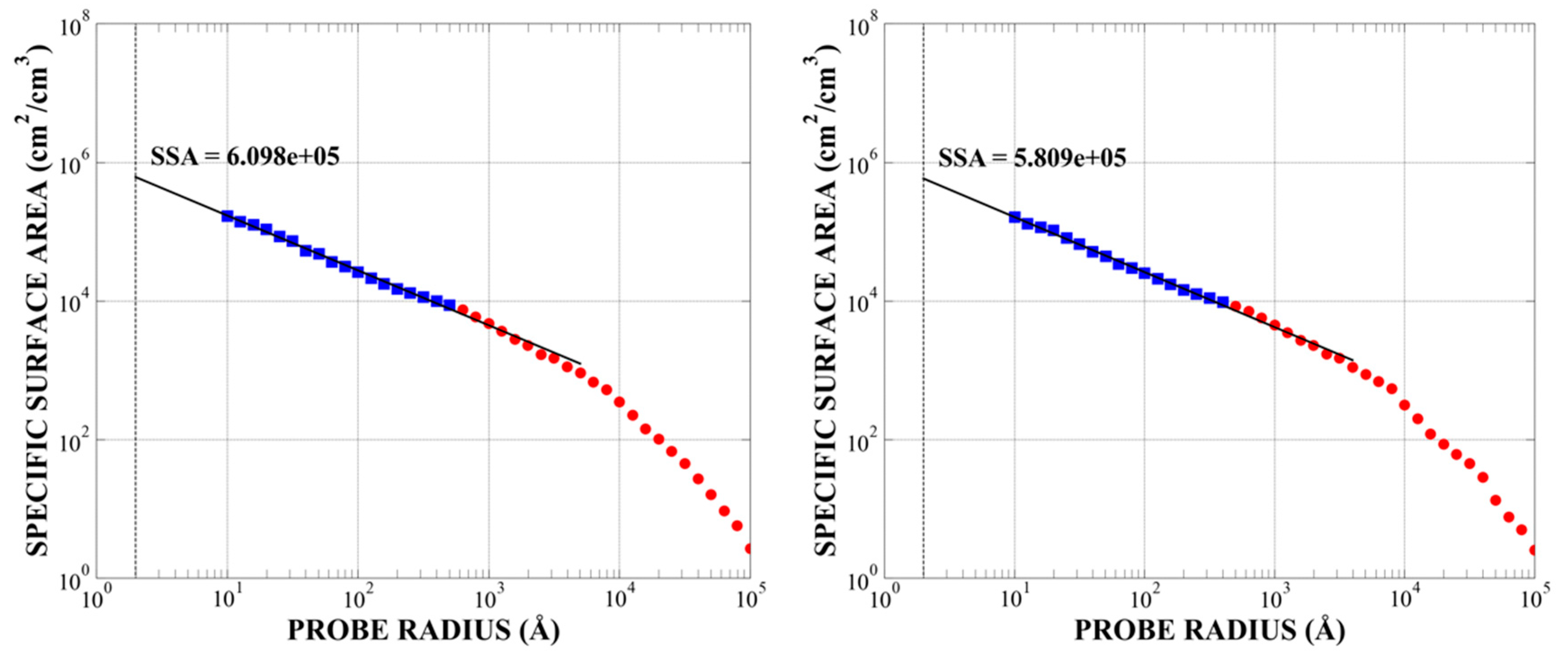
4.2. Types of Micro- and Nanostructural Parameters Calculated from SANS–USANS Data
4.3. Nano- and Microstructural Characteristics of the New Albany Shale Samples
4.4. Pore Accessibility to Methane
4.5. Condensation of Methane in the Nanopores
5. Conclusions
- The accessible porosity for pores in the size range of 4 nm ≤ D ≤ 20 μm was generally small, ranging from nearly zero to 2.9 ± 0.6%, corresponding to a range from very little to 26% of the total porosity. The lowest accessible porosity values were recorded in the marginally mature (Ro = 0.50%) and late-mature sample (Ro = 1.04%), whereas the largest accessible porosity occurred in the mid-mature sample (Ro = 0.70%). Those differences can be explained by porosity changes in organic matter in response to organic matter transformation and hydrocarbon generation, further emphasizing the prominent role of the maturity-related evolution of organic matter in OM-rich shale sequences;
- Pressure cycling modifies the distribution of accessible pores; in effect, the total accessible porosity may increase or decrease. Although more samples of variable maturity need to be tested, we suggest that the effect of pressure on the accessible porosity in OM-rich shales is controlled by the maturity of the organic matter, as observed for the samples studied here. The methodology used in this work enables predictive laboratory-scale measurements of the influence of hydrostatic and uniaxial stress (of a magnitude similar to that used for production well management) on the pore accessibility to gas at the nanoscale;
- For all samples, methane condenses in nanopores, which are generally smaller than 20 nm, while condensed methane penetrates single-digit nanopores down to a diameter of about 1 nm (limit of measurement). Condensation of methane confined in nanopores is an increasingly recognized phenomenon in shales, which has the potential to unravel the mechanisms that inhibit the mobilization of methane during gas production.
Author Contributions
Funding
Institutional Review Board Statement
Informed Consent Statement
Data Availability Statement
Acknowledgments
Conflicts of Interest
Appendix A
Appendix A.1. Sample SDH-308 (Harrison County), Sub-Samples L4 and L2, Depth 247 Feet, Ro = 0.50%, TOC = 14.4%, Early-Mature





Appendix A.2. Sample McAtee-2798 (Pike County), Sub-Samples L7 and L5, Depth 2798 Feet, Ro = 0.70%, TOC = 6.6%, Mid-Mature





Appendix A.3. Sample Gibson-3997 (Gibson County), Sub-Samples L10 and L1, Depth 3997 Feet, Ro = 0.84%, TOC = 5.9%, Mid-Mature





Appendix A.4. Sample Hardin-IL2 (Illinois 2), Sub-Samples L2 and L1, Outcrop, Estimated Maximal Depth ~ 4600 feet, Ro = 1.04%, TOC = 8.4%, Late-Mature





Appendix A.5. Sample Hardin-IL3 (Illinois 3), Sub-Sample L2 (SANS), Outcrop, Estimated Maximal Depth ~5400 Feet, Ro = 1.40%, TOC = 8.4%, Post-Mature





Appendix A.6. Sample Marcellus_7048, Sub-Samples L6 and L4, Depth 7084 Feet, Ro = 2.5%, TOC = 3.4%, Post-Mature





Appendix A.7. Total, Accessible and Inaccessible Porosity for all Samples Calculated from Porod Invariant
| Sample | Ro (%) | Max StressS (Bar) | Core Lab Porosity (%) | SANS + USANS Total Porosity at Indicated (p,S) Values (%) | |||||
|---|---|---|---|---|---|---|---|---|---|
| (0,0) | (500,0) | (0,0) End | (500,0) End | Accessible before | Accessible after | ||||
| SDH-308 | 0.5 | 28 | 4.1 | 8.8 ± 0.1 | 8.8 ± 0.2 | 10.7 ± 0.1 | 10.0 ± 0.2 | 0.04 ± 0.2 | 0.71 ± 0.2 |
| McAtee-2798 | 0.7 | 313 | 5.97 | 11.8 ± 0.15 | 7.2 ± 0.25 | 11.4 ± 0.21 | 6.0 ± 0.2 | 4.6 ± 0.3 | 5.4 ± 0.3 |
| Gibson-3997 | 0.84 | 850 | 5.15 | 15.5 ± 0.2 | 12.7 ± 0.3 | 11.8 ± 0.2 | 10.9 ± 0.3 | 2.9 ± 0.4 | 1.0 ± 0.4 |
| Hardin-IL2 | 1.04 | 336 | 5.9 | 6.07 ± 0.05 | 5.53 ± 0.06 | 6.18 ± 0.04 | 4.91 ± 0.06 | 0.55 ± 0.07 | 1.27 ± 0.07 |
| Hardin-IL3* | 1.4 | 336 | 2.19 | n/a | n/a | n/a | n/a | n/a | n/a |
| Mar_7084 | 2.5 | 1000 | 6.88 | 6.2 ± 0.3 | 6.8 ± 0.6 | 5.7 ± 0.3 | 5.9 ± 0.5 | −0.6 ± 0.7 | −0.15 ± 0.6 |



References
- Wang, Y.; Qin, Y.; Zhang, R.; He, L.; Anovitz, L.M.; Bleuel, M.; Mildner, D.F.R.; Liu, S.; Zhu, Y. Evaluation of nanoscale accessible pore structures for improved prediction of gas production potential in Chinese marine shales. Energy Fuels 2018, 32, 12447–12461. [Google Scholar] [CrossRef]
- Zhang, R.; Liu, S.; He, L.; Blach, T.P.; Wang, Y. Characterizing anisotropic pore structure and its impact on gas storage and transport in coalbed methane and shale gas reservoirs. Energy Fuels 2020, 34, 3161–3172. [Google Scholar] [CrossRef]
- Radlinski, A.P.; Blach, T.; Vu, P.; Ji, Y.; de Campo, L.; Gilbert, E.P.; Mastalerz, M. Pore accessibility and trapping of methane in Marcellus shale. Int. J. Coal Geol. 2021, 248, 103850. [Google Scholar] [CrossRef]
- Radlinski, A.P. Small Angle Neutron Scattering and the Microstructure of Rocks. In Neutron Scattering in Earth Sciences, Reviews in Mineralogy and Geochemistry; Wenk, H.-R., Ed.; The Mineralogical Society of America: Chantilly, VA, USA, 2006; Volume 63, pp. 363–397. [Google Scholar]
- Li, B.; Tan, X.; Wang, F.; Lian, P.; Gao, W.; Li, Y. Fracture and vug characterization and carbonate rock type automatic classification using X-ray CT images. J. Pet. Sci. Eng. 2017, 153, 88–96. [Google Scholar] [CrossRef]
- Schmitt Rahner, M.; Halisch, M.; Peres Fernandes, C.; Weller, A.; Santiago dos Santos, V.S. Fractal dimensions of pore spaces in unconventional reservoir rocks using X-ray nano- and micro-computed tomography. J. Nat. Gas Sci. Eng. 2018, 55, 298–311. [Google Scholar] [CrossRef]
- Tembely, M.; AlSumaiti, A.M.; Alameri, W.S. Machine and deep learning for estimating the permeability of complex carbonate rock from X-ray micro-computed tomography. Energy Rep. 2021, 7, 1460–1472. [Google Scholar] [CrossRef]
- Martínez-Martínez, J.; Fusi, N.; Galiana-Merino, J.J.; Benavente, D.; Crosta, G.B. Ultrasonic and X-ray computed tomography characterization of progressive fracture damage in low-porous carbonate rocks. Eng. Geol. 2016, 200, 47–57. [Google Scholar] [CrossRef] [Green Version]
- Martyushev, D.A.; Yurikov, A. Evaluation of opening of fractures in the Logovskoye carbonate reservoir, Perm Krai, Russia. Pet. Res. 2021, 6, 137–143. [Google Scholar] [CrossRef]
- Bahadur, J.; Radlinski, A.; Melnichenko, Y.B.; Mastalerz, M.; Schimmelmann, A. Small-angle and ultrasmall-angle neutron scattering (SANS/USANS) study of the New Albany Shale: A treatise on microporosity. Energy Fuels 2015, 29, 567–576. [Google Scholar] [CrossRef] [Green Version]
- Mastalerz, M.; He, L.; Melnichenko, Y.; Rupp, J. Porosity of coal and shale: Insights from gas adsorption and SANS/USANS techniques. Energy Fuels 2012, 26, 5109–5120. [Google Scholar] [CrossRef]
- Blach, T.; Radlinski, A.P.; Vu, P.; Ji, Y.; de Campo, L.; Gilbert, E.P.; Regenauer-Lieb, K.; Mastalerz, M. Deformation of pores in response to uniaxial stress in Marcellus shale: Implications for gas recovery. Int. J. Coal Geol. 2021, 248, 103867. [Google Scholar] [CrossRef]
- Melnichenko, Y.B. Small-Angle Scattering from Confined and Interfacial Fluids. In Applications to Energy Storage and Environmental Science; Springer International Publishing: Cham, Switzerland, 2016; p. 314. [Google Scholar]
- Hasenmueller, N.R.; Comer, J.B. (Eds.) Gas Potential of the New Albany Shale (Devonian and Mississippian) in the Illinois Basin, Final Report: Gas Research Institute 92-0391/IBS2; Illinois: Chicago, IL, USA, 1994; p. 83. [Google Scholar]
- Lis, G.P.; Mastalerz, M.; Schimmelmann, A.; Lewan, M.; Stankiewicz, B.A. FTIR absorption indices for thermal maturity in comparison with vitrinite reflectance Ro in type-II kerogens from Devonian black shales. Org. Geochem. 2005, 36, 1533–1552. [Google Scholar] [CrossRef]
- Strąpoć, D.; Mastalerz, M.; Schimmelmann, A.; Drobniak, A.; Hasenmueller, N.R. Geochemical constraints on the origin and volume of gas of the New Albany Shale (Devonian–Mississippian) in the eastern part of the Illinois Basin. AAPG Bull. 2010, 94, 1713–1740. [Google Scholar] [CrossRef]
- Cluff, R.M.; Dickerson, D.R. Natural gas potential of the New Albany Shale Group (Devonian-Mississippian) in southeastern Illinois. In Society of Petroleum Engineers Technical Paper 8924, Proceedings of the 1980 Society of Petroleum Engineers/Department of Energy, Tulsa, OK, USA, 18–19 May 1980; Society of Petroleum Engineers: Richardson, TX, USA, 1982; pp. 21–25. [Google Scholar]
- Lewan, M.D.; Henry, M.E.; Higley, D.K.; Pittman, J.K. Material-balance assessment of the New Albany-Chesterian petroleum system of the Illinois Basin. Am. Assoc. Pet. Geol. Bull. 2002, 86, 745–777. [Google Scholar]
- Mastalerz, M.; Schimmelmann, A.; Drobniak, A.; Chen, Y. Porosity of Devonian/Mississippian New Albany Shale across a maturation gradient—Insights from organic petrology, gas adsorption, and mercury intrusion. AAPG Bull. 2013, 97, 1621–1643. [Google Scholar] [CrossRef]
- Mastalerz, M.; Drobniak, A.; Hower, J.C. Controls on reservoir properties in organic-matter-rich shales: Insights from MICP analysis. J. Pet. Sci. Eng. 2021, 196, 107775. [Google Scholar] [CrossRef]
- Hamilton-Smith, T.; Hasenmueller, N.R.; Boberg, W.S.; Smidchens, Z.; Frankie, W.T. Gas Production. In Gas Potential of the New Albany Shale (Devonian and Mississippian) in the Illinois Basin; GRI-00/0068; Illinois Basin Studies; Hasenmueller, N.R., Comer, J.B., Eds.; Gas Research Institute: Chicago, IL, USA, 1994; Volume 2, pp. 23–40. [Google Scholar]
- Wei, L.; Mastalerz, M.; Schimmelmann, A.; Chen, L. Influence of Soxhlet-extractable bitumen and oil on porosity in thermally maturing organic-rich shales. Int. J. Coal Geol. 2014, 132, 38–50. [Google Scholar] [CrossRef] [Green Version]
- Melnichenko, Y.B.; He, L.; Sakurovs, R.; Kholodenko, A.L.; Blach, T.; Mastalerz, M.; Radlinski, A.P.; Cheng, G.; Mildner, D.F.R. Accessibility of pores in coal to methane and carbon dioxide. Fuel 2012, 91, 200–208. [Google Scholar] [CrossRef]
- Ruppert, L.; Sakurovs, R.; Melnichenko, Y.B.; Blach, T.P.; He, L.; Mildner, D.F.R. A USANS/SANS study of the accessibility of pores in the Barnett shale to methane and water. Energy Fuels 2013, 27, 772–779. [Google Scholar] [CrossRef]
- Bahadur, J.; Medina, C.R.; He, L.; Melnichenko, J.B.; Rupp, J.A.; Blach, T.P.; Mildner, D.F.R. Determination of closed porosity in rocks by small-angle neutron scattering. J. Appl. Crystallogr. 2016, 49, 2021–2030. [Google Scholar] [CrossRef]
- Blach, T.; Radlinski, A.P.; Edwards, D.S.; Boreham, C.; Rehm, C.; de Campo, L.; Gilbert, E.P. Fingerprint of hydrocarbon generation in the southern Georgina Basin, Australia, revealed by small angle neutron scattering. Int. J. Coal Geol. 2018, 186, 135–144. [Google Scholar] [CrossRef]
- Bahadur, J.; Ruppert, L.F.; Pipich, V.; Sakurovs, R.; Melnichenko, Y.B. Porosity of the Marcellus shale: A contrast matching small-angle neutron scattering study. Int. J. Coal Geol. 2018, 188, 156–164. [Google Scholar] [CrossRef]
- Neil, C.W.; Mehana, M.; Hjelm, R.P.; Hawley, M.E.; Watkins, E.B.; Mao, Y.; Viswanathan, H.; Kang, Q.; Xu, H. Reduced methane recovery at high pressure due to methane trapping in shale nanopores. Commun. Earth Environ. 2020, 1, 49. [Google Scholar] [CrossRef]
- Sakurovs, R.; Koval, L.; Grigore, M.; Sokolova, A.; de Campo, L.; Rehm, C. Nanostructure of cokes. Int. J. Coal Geol. 2018, 188, 112–120. [Google Scholar] [CrossRef]
- Radlinski, A.P.; Busbridge, T.L.; MacA Gray, A.; Blach, T.P.; Cheng, G.; Melnichenko, Y.B.; Cookson, D.J.; Mastalerz, M.; Esterle, J. Dynamic micromapping of CO2 sorption in coal. Langmuir 2009, 25, 2385–2389. [Google Scholar] [CrossRef] [PubMed]
- Radlinski, A.P.; Congo, T.L.; MacA Gray, A.; Blach, T.P.; Cookson, D.J. Small angle X-ray scattering mapping and kinetics study of sub-critical CO2 sorption by two Australian coals. Int. J. Coal Geol. 2009, 77, 80–89. [Google Scholar] [CrossRef]
- Radlinski, A.P.; Boreham, C.J.; Lindner, P.; Randl, O.G.; Hinde, A.L.; Hope, J.M. Small angle neutron scattering signature of oil generation in artificially and naturally matured hydrocarbon source rocks. Org. Geochem. 2000, 31, 1–14. [Google Scholar] [CrossRef]
- Hinde, A.L. PRINSAS—A Windows-based computer program for the processing and interpretation of small-angle scattering data tailored to the analysis of sedimentary rocks. J. Appl. Crystallogr. 2004, 37, 1020–1024. [Google Scholar] [CrossRef] [Green Version]
- Espinat, D. Application des techniques de diffusion de la lumière, des rayons X et des neutrons à l’étude des systèmes colloïdaux. Rev. De L’institut Français Du Pétrole 1990, 45, 131. [Google Scholar]
- Liu, S.; Zhang, R. Anisotropic pore structure in shale and gas injection-induced nanopore alternation: A small angle neutron scattering study. Int. J. Coal Geol. 1990, 219, 103384. [Google Scholar] [CrossRef]
- Radlinski, A.P.; Mastalerz, M.; Hinde, A.L.; Hainbuchner, M.; Rauch, H.; Baron, M.; Lin, J.S.; Fan, L.; Thiyagarajan, P. Application of SAXS and SANS in evaluation of porosity, pore size distribution and surface area of coal. Int. J. Coal Geol. 2004, 59, 245–271. [Google Scholar] [CrossRef]
- Gu, X.; Mildner, D.F.R. Determination of porosity in anisotropic fractal systems by neutron scattering. J. Appl. Crystallogr. 2018, 51, 175–184. [Google Scholar] [CrossRef] [Green Version]
- Wood, K.; Mata, J.P.; Garvey, C.J.; Wu, C.-M.; Hamilton, W.A.; Abbeywick, P.; Bartlett, D.; Bartsch, F.; Baxter, P.; Booth, N.; et al. QUOKKA, the pinhole small-angle neutron scattering instrument at the OPAL research reactor, Australia: Design, performance, operation and scientific highlights. J. Appl. Crystallogr. 2018, 51, 294–314. [Google Scholar] [CrossRef]
- Rehm, C.; de Campo, L.; Brûle, A.; Darmann, F.; Bartsch, F.; Berry, A. Design and performance of the variable-wavelength Bonse-Hart ultra-small-angle neutron scattering diffractometer KOOKABURRA at ANSTO. J. Appl. Crystallogr. 2018, 51, 1–8. [Google Scholar] [CrossRef] [Green Version]
- Drobniak, A.; Mastalerz, M.; Crockett, J.E.; Nuttall, B.C.; Russell, K.P. New Albany Shale: Indiana Geological Survey Digital Information 07. 2016. Available online: https://igws.indiana.edu/IGSMap/?map=NAS (accessed on 5 November 2021).
- Swezey, C.S.; Hatch, J.R.; Brennan, S.E.; East, J.A.; Rowan, E.L.; Repetski, J.E.; Charpentier, R.R.; Cook, T.A.; Klett, T.R.; Pollastro, R.M.; et al. Assessment of undiscovered oil and gas resources of the Illinois Basin, 2007. In United States Geological Survey Fact Sheet FS-2007-3058; United States Geological Survey: Reston, VA, USA, 2007; p. 2. [Google Scholar]
- Radlinski, A.P.; Radlinska, E.Z. The microstructure of pore space in coals of different rank: A small angle scattering and SEM study. In Coalbed Methane: Scientific, Environmental and Economic Evaluation; Mastalerz, M., Glikson, M., Golding, S.D., Eds.; Kluwer Academic Publishers: Dodrecht, The Netherlands, 1999; pp. 329–365. [Google Scholar]
- Dubner, W.S.; Schultz, J.M.; Wignall, G.D. Estimation of incoherent backgrounds in SANS studies of polymers. J. Appl. Crystallogr. 1990, 23, 469–475. [Google Scholar] [CrossRef]
- Rouquerol, F.; Rouquerol, J.; Sing, K.S.W.; Llewellyn, P.; Maurin, G. Adsorption by Powders and Porous Solids: Principles, Methodology and Applications, 2nd ed.; Academic Press: Oxford, UK, 2014; p. 630. [Google Scholar]
- Faucher, S.; Aluru, N.; Bazant, M.Z.; Blankschtein, D.; Brozena, A.H.; Cumings, J.; Pedro de Sousa, J.; Elimelech, M.; Epsztein, R.; Fourkas, J.T.; et al. Critical knowledge gaps in mass transport through single digit nanopores: A review and perspective. J. Phys. Chem. C 2019, 123, 21309–21326. [Google Scholar] [CrossRef]
- Blach, T.; Radlinski, A.P.; Edwards, D.S.; Boreham, C.J.; Gilbert, E.P. Pore anisotropy in unconventional hydrocarbon source rocks: A small-angle neutron scattering (SANS) study on the Arthur Creek Formation, Georgina Basin, Australia. Int. J. Coal Geol. 2020, 225, 103495. [Google Scholar] [CrossRef]
- Radlinski, A.P.; Blach, T.P.; Lipar, M.; Magni, S.; Schweins, R.; Lemmel, H.; Szymczak, P. The effect of carbonate cementation on the pore space structure. In Proceedings of the Interpore 11th Annual Meeting, Valencia, Spain, 6–10 May 2019. [Google Scholar]
- Liu, B.; Teng, J.; Mastalerz, M.; Schieber, J.; Schimmelmann, A.; Bish, D. Compositional control on shale pore structure characteristics across a maturation gradient: Insights from the Devonian New Albany Shale and Marcellus Shale in the eastern United States. Energy Fuels 2021, 35, 7913–7929. [Google Scholar] [CrossRef]
- Liu, B.; Schieber, J.; Mastalerz, M. Combined SEM and reflected light petrography of organic matter in the New Albany Shale: A perspective on organic porosity development with thermal maturation. Int. J. Coal Geol. 2017, 184, 57–72. [Google Scholar] [CrossRef]
- Liu, B.; Schieber, J.; Mastalerz, M. Petrographic and micro-FTIR study of organic matter in the Upper Devonian New Albany Shale during thermal maturation: Implications for kerogen transformation. In Mudstone Diagenesis: Research Perspectives for Shale Hydrocarbon Reservoirs, Seals, and Source Rocks; Camp, W., Milliken, K., Taylor, K., Fishman, N., Hackley, P., Macquaker, J., Eds.; American Association of Petroleum Geologists Memoir: Tulsa, OK, USA, 2019; Volume 121, pp. 165–188. [Google Scholar] [CrossRef]
- Eberle, A.P.R.; King, H.E.; Ravikovitch, P.I.; Walters, C.C.; Rother, G.; Wesolowski, D.J. Direct measure of the dense methane phase in gas shale organic porosity by neutron scattering. Eneegy Fuels 2016, 30, 9022–9027. [Google Scholar] [CrossRef]
- Jubb, A.M.; Ruppert, L.F.; Youngs, T.G.A.; Headen, T.F. Exploring methane behavior in Marcellus Shale micropores via contrast matching neutron scattering. Energy Fuels 2020, 34, 10926–10932. [Google Scholar] [CrossRef]









| Sample No. | Abbreviated Sample Name | Sample Depth (Feet/m) | Sample Origin | Ro (%) | OM Maturity |
|---|---|---|---|---|---|
| 1 | SDH-308 | 247/75.29 | Harrison County, Indiana | 0.50 | early-mature |
| 2 | McAtee-2798 | 2798/852.83 | Pike County, Indiana | 0.70 | mid-mature |
| 3 | Gibson-3997 | 3997/1218.3 | Gibson County, Indiana | 0.84 | mid-mature |
| 4 | Hardin-IL2 | * 4600/1402.1 | Hardin County, Illinois | 1.04 | late mature |
| 5 | Hardin-IL3 | * 5400/1645.9 | Hardin County, Illinois | 1.40 | post-mature |
| 6 | Mar_7084 | 7084/2159.2 | Pennsylvania | 2.50 | post-mature |
| Instrument | Reference | Instrument Configuration | Neutron Wavelength | Q-Range (Å−1) | Pore Diameter Range |
|---|---|---|---|---|---|
| pinhole: | |||||
| 40 m SANS Quokka | [38] | SDD = 1.4 m SDD = 8 m SDD = 20 m MgF2 lens | 5.0 Å 5.0 Å 5.0 Å 8.1 Å | total: 6 × 10−4–0.5 | 1 nm–830 nm |
| USANS Kookaburra | [39] | Bonse-Hart | 2.37 Å | 2 × 10−5–2 × 10−3 | 250 nm–25 μm |
| Total | 2 × 10−5–0.5 | 1 nm–25 μm |
| Sample Name | (p,S) Values (bar) | |||||||||
|---|---|---|---|---|---|---|---|---|---|---|
| (p,S) Cycle No. | 1 | 2 | 3 | 4 | 5 | 6 | 7 | 8 | 9 | 10 |
| SDH-308 | 0,0 | 500,0 | 500,7.5 | 0,7.5 | 0,18.5 | 500,18.5 | 500,28 | 0,28 | 0,0 | 500,0 |
| McAtee-2798 | 0,0 | 500,0 | 500,84 | 0,84 | 0,210 | 500,210 | 500,313 | 0,313 | 0,0 | 500,0 |
| Gibson-3997 | 0,0 | 500,0 | 500,500 | 0,500 | 0,850 | 500,850 | nil | nil | 0,0 | 500,0 |
| Hardin-IL2 | 0,0 | 500,0 | 500,120 | 0,120 | 0,225 | 500,225 | 500,336 | 0,336 | 0,0 | 500,0 |
| Hardin-IL3 | 0,0 | 500,0 | 500,90 | 0,90 | 0,225 | 500,225 | 500,336 | 0,336 | 0,0 | 500,0 |
| Mar_7084 | 0,0 | 500,0 | 500,370 | 0,370 | 0,740 | 500,740 | 500,1000 | 0,1000 | 0,0 | 500,0 |
| Sample No. | Ro (%) | Qrtz | K-fel | Plag | Dol | Ank | P/M | Il/Sm | Il/M | Kao | Chl | TOC |
|---|---|---|---|---|---|---|---|---|---|---|---|---|
| 1 | 0.50 | 32.8 | 0 | 3.9 | 3.8 | 1.2 | 5.7 | 19.3 | 17.9 | 0.5 | 0.5 | 14.4 |
| 2 | 0.70 | 27.1 | 0 | 4.8 | 1 | 0.2 | 6.7 | 27.6 | 24.2 | 0.7 | 1.1 | 6.6 |
| 3 | 0.84 | 36.1 | 2 | 4.7 | 2.7 | 0.5 | 2.2 | 26 | 18 | 0.6 | 1.3 | 5.9 |
| 4 | 1.04 | 39.5 | 10.5 | 3.2 | 4.9 | 2.8 | 6.6 | 14 | 10.1 | 0 | 0 | 8.4 |
| 5 | 1.40 | 32.4 | 25.5 | 16.2 | 6.8 | 3.9 | 2.5 | 5.9 | 3.2 | 0 | 0 | 3.6 |
| Sample No. | Bulk Density g/cm3 | Matrix Permeability (mD) | Core Lab Porosity (%) | TOC (wt%) | Estimated Incoherent SANS Background (cm−1) | SLD ×1010 (cm−2) |
|---|---|---|---|---|---|---|
| 1 | 2.25 | 2.346 × 10−5 | 4.1 | 14.4 | 0.032 ± 20% | 3.637 |
| 2 | 2.43 | 8.082 × 10−5 | 5.97 | 6.6 | 0.015 | 3.608 |
| 3 | 2.45 | 4.501 × 10−5 | 5.15 | 5.9 | 0.013 | 3.699 |
| 4 | 2.32 | 7.289 × 10−5 | 5.9 | 8.4 | 0.019 | 3.848 |
| 5 | 2.56 | 2.697 × 10−6 | 2.19 | 3.6 | 0.008 | 3.993 |
| 6 | 2.55 | 16.23 × 10−5 | 6.88 | 3.4 | 0.007 | 3.4 ± 0.2 |
| Sample No. | Ro (%) | Max Stress S (Bar) | Core Lab Porosity (%) | SANS + USANS Total Porosity at Indicated (p,S) Values (%) | |||||
|---|---|---|---|---|---|---|---|---|---|
| (0,0) | (500,0) | (0,0) End | (500,0) End | Accessible Before | Accessible After | ||||
| 1 | 0.50 | 28 | 4.1 | 8.6 ± 0.2 | 9.0 ± 0.4 | 10.1 ± 0.25 | 10.0 ± 0.4 | −0.40 ± 0.44 | 0.09 ± 0.45 |
| 2 | 0.70 | 313 | 5.97 | 11.2 ± 0.3 | 8.3 ± 0.5 | 10.9 ± 0.35 | 7.2 ± 0.5 | 2.9 ± 0.6 | 3.7± 0.6 |
| 3 | 0.84 | 850 | 5.15 | 14.1 ± 0.4 | 12.8 ± 0.6 | 11.4 ± 0.4 | 11.4 ± 0.6 | 1.3 ± 0.8 | −0.02 ± 0.7 |
| 4 | 1.04 | 336 | 5.9 | 6.1 ± 0.1 | 5.8 ± 0.1 | 6.14 ± 0.08 | 5.2 ± 0.1 | 0.32 ± 0.14 | 0.9 ± 0.1 |
| 5 | 1.40 | 336 | 2.19 | n/a | n/a | n/a | n/a | n/a | n/a |
| 6 | 2.50 | 1000 | 6.88 | 7.2 ± 0.8 | 8.6 ± 1.6 | 6.4 ± 0.8 | 7.7 ± 1.4 | −1.4 ± 1.8 | −1.3 ± 1.6 |
| Sample | SANS (Accessible + Inaccessible) Extrapolated to R = 0.4 nm | CO2 Micropores | N2 BJH (2–50 nm) |
|---|---|---|---|
| SDH-308 | 13.3 | 27.8 | 3.22 |
| Mar_7084 | 98 | 19.3 | 4.43 |
Publisher’s Note: MDPI stays neutral with regard to jurisdictional claims in published maps and institutional affiliations. |
© 2021 by the authors. Licensee MDPI, Basel, Switzerland. This article is an open access article distributed under the terms and conditions of the Creative Commons Attribution (CC BY) license (https://creativecommons.org/licenses/by/4.0/).
Share and Cite
Blach, T.; Radlinski, A.P.; Vu, P.; Ji, Y.; de Campo, L.; Gilbert, E.P.; Regenauer-Lieb, K.; Mastalerz, M. Accessibility of Pores to Methane in New Albany Shale Samples of Varying Maturity Determined Using SANS and USANS. Energies 2021, 14, 8438. https://doi.org/10.3390/en14248438
Blach T, Radlinski AP, Vu P, Ji Y, de Campo L, Gilbert EP, Regenauer-Lieb K, Mastalerz M. Accessibility of Pores to Methane in New Albany Shale Samples of Varying Maturity Determined Using SANS and USANS. Energies. 2021; 14(24):8438. https://doi.org/10.3390/en14248438
Chicago/Turabian StyleBlach, Tomasz, Andrzej P. Radlinski, Phung Vu, Yeping Ji, Liliana de Campo, Elliot P. Gilbert, Klaus Regenauer-Lieb, and Maria Mastalerz. 2021. "Accessibility of Pores to Methane in New Albany Shale Samples of Varying Maturity Determined Using SANS and USANS" Energies 14, no. 24: 8438. https://doi.org/10.3390/en14248438
APA StyleBlach, T., Radlinski, A. P., Vu, P., Ji, Y., de Campo, L., Gilbert, E. P., Regenauer-Lieb, K., & Mastalerz, M. (2021). Accessibility of Pores to Methane in New Albany Shale Samples of Varying Maturity Determined Using SANS and USANS. Energies, 14(24), 8438. https://doi.org/10.3390/en14248438

