Determination of the Concentration of Propionic Acid in an Aqueous Solution by POD-GP Model and Spectroscopy
Abstract
:1. Introduction
2. Materials and Methods
2.1. Spectroscpy Setup
2.2. Prper Orthogonal Decomposition
2.3. Gauusian Processes
2.4. Metamodel—Training and Testing
3. Results
4. Discussion
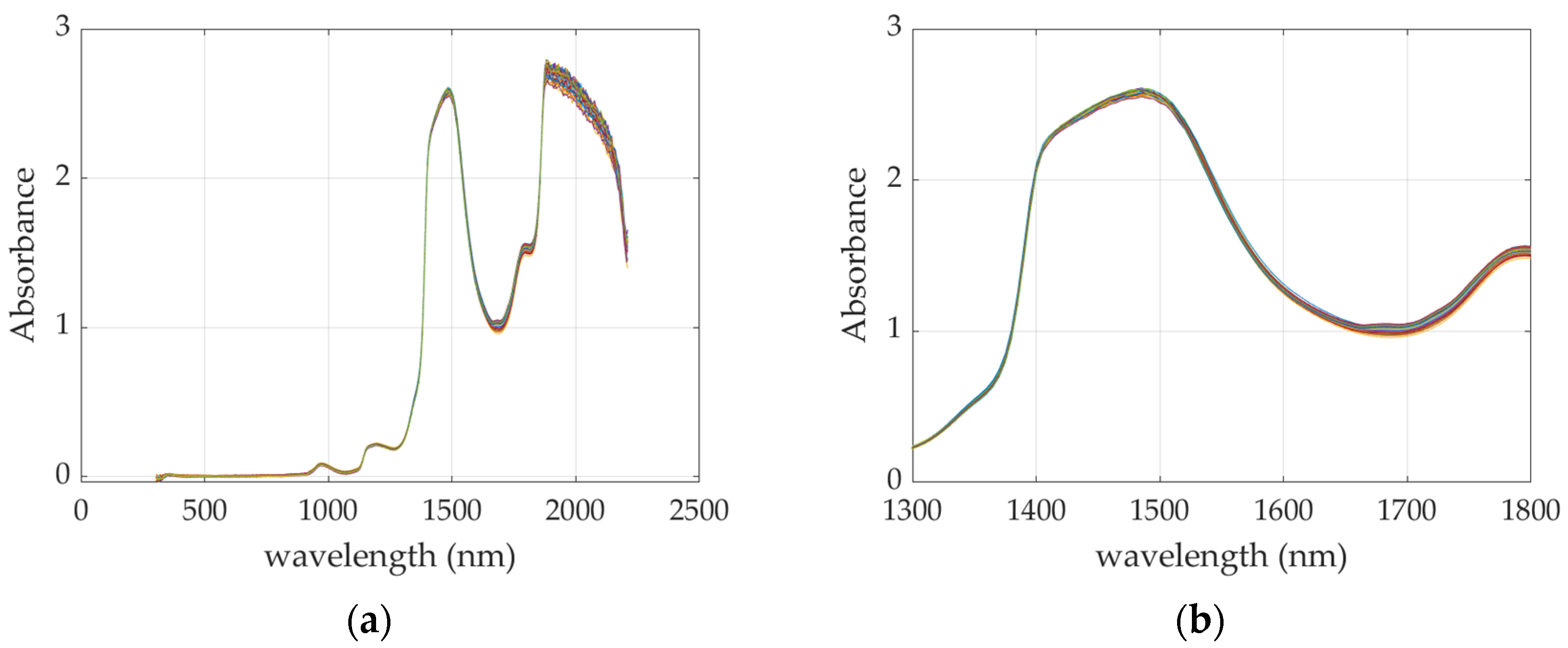
- I (400–920 nm)—generally low absorption of radiation by propionic acid;
- II (920–1300 nm)—the maximum absorbance values for propionic acid and aqueous solution are similar;
- III (1300–1636 nm)—visible high absorbance for an aqueous solution; in the standard deviation, there is a visible change in absorbance caused by the absorbance peak for propionic acid just below 1400 nm;
- IV (1636–1860 nm)—visible high absorbance for propionic acid; standard deviation for the mean of the solution samples shows a very distinct absorbance variance caused by propionic acid;
- V (305–400 nm and 1860–2210 nm)—significant values of the standard deviation visible due to signal noise.
5. Conclusions
Author Contributions
Funding
Institutional Review Board Statement
Informed Consent Statement
Data Availability Statement
Acknowledgments
Conflicts of Interest
References
- Wu, D.; Li, L.; Zhao, X.; Peng, Y.; Yang, P.; Peng, X. Anaerobic digestion: A review on process monitoring. Renew. Sustain. Energy Rev. 2019, 103, 1–12. [Google Scholar] [CrossRef]
- Makan, A.; Fadili, A.; Oubenali, M. Interaction of physicochemical parameters during pressurized in-vessel composting of food waste. Bioresour. Technol. Rep. 2020, 10, 100350. [Google Scholar] [CrossRef]
- Li, L.; He, Q.; Wei, Y.; He, Q.; Peng, X. Early warning indicators for monitoring the process failure of anaerobic digestion system of food waste. Bioresour. Technol. 2014, 171, 491–494. [Google Scholar] [CrossRef]
- Li, D.; Chen, L.; Liu, X.; Mei, Z.; Ren, H.; Cao, Q.; Yan, Z. Instability mechanisms and early warning indicators for mesophilic anaerobic digestion of vegetable waste. Bioresour. Technol. 2017, 245, 90–97. [Google Scholar] [CrossRef]
- Adamski, M.; Szaferski, W.; Gulewicz, P.; Majtkowski, W. Silage of Switchgrass (Panicum Virgatum) as a Bioenergy Feedstock in Poland. In Practical Aspects of Chemical Engineering, Selected Contributions from PAIC 2017; Lecture Notes on Multidisciplinary Industrial Engineering; Springer: Cham, Switzerland, 2018; pp. 1–15. ISBN 978-3-319-73978-6. [Google Scholar] [CrossRef]
- Durczak, K.; Adamski, M.; Mitkowski, P.T.; Szaferski, W.; Gulewicz, P.; Majtkowski, W. Chemical Processing of Switchgrass (Panicum Virgatum) and Grass Mixtures in Terms of Biogas Yield in Poland. In Practical Aspects of Chemical Engineering, Selected Contributions from PAIC 2017; Lecture Notes on Multidisciplinary Industrial Engineering; Springer: Cham, Switzerland, 2018; pp. 85–99. ISBN 978-3-319-73978-6. [Google Scholar] [CrossRef]
- Kandela, T.P.; Sutaryo, S.; Møller, H.B.; Jørgensen, U.; Lærke, P.E. Chemical composition and methane yield of reed canary grass as influenced by harvesting time and harvest frequency. Bioresour. Technol. 2013, 130, 659–666. [Google Scholar] [CrossRef] [PubMed]
- Kandel, T.P.; Gislum, R.; Jørgensen, U.; Lærke, P.E. Prediction of biogas yield and its kinetics in reed canary grass using near infrared reflectance spectroscopy and chemometrics. Bioresour. Technol. 2013, 146, 282–287. [Google Scholar] [CrossRef]
- Ahring, B.K.; Sandberg, M.; Angelidaki, I. Volatile fatty acids as indicators of process imbalance in anaerobic digesters. Appl. Microbiol. Biotechnol. 1995, 43, 559–565. [Google Scholar] [CrossRef]
- Ghasimi, D.S.; Tao, Y.; de Kreuk, M.; Abbas, B.; Zandvoort, M.H.; van Lier, J.B. Digester performance and microbial community changes in thermophilic and mesophilic sequencing batch reactors fed with the fine sieved fraction of municipal sewage. Water Res. 2015, 87, 483–493. [Google Scholar] [CrossRef]
- Gourdon, R.; Vermande, P. Effects of propionic acid concentration on anaerobic digestion of pig manure. Biomass 1987, 13, 1–12. [Google Scholar] [CrossRef]
- Boe, K.; Batstone, D.J.; Steyer, J.P.; Angelidaki, I. State indicators for monitoring the anaerobic digestion proces. Water Res. 2010, 44, 5973–5980. [Google Scholar] [CrossRef]
- Hansson, M.; Nordberg, A.; Sundh, I.; Mathisen, B. Early warning of disturbances in a laboratory-scale MSW biogas process. Water Sci. Technol. 2002, 45, 255–260. [Google Scholar] [CrossRef]
- Charnier, C.; Latrille, E.; Jimenez, J.; Lemoine, M.; Boulet, J.C.; Miroux, J.; Steyer, J.P. Fast characterization of solid organic waste content with near infrared spectroscopy in anaerobic digestion. Waste Manag. 2017, 59, 140–148. [Google Scholar] [CrossRef]
- Jacobi, H.F.; Moschner, C.R.; Hartung, E. Use of near infrared spectroscopy in monitoring of volatile fatty acids in anaerobic digestion. Water Sci. Technol. 2009, 60, 339–346. [Google Scholar] [CrossRef] [PubMed]
- Hansson, M.; Nordberg, A.; Mathisen, B. On-line NIR monitoring during anaerobic treatment of municipal solid waste. Water Sci. Technol. 2003, 48, 9–13. [Google Scholar] [CrossRef] [PubMed]
- Eryildiz, B.; Lukitawes; Taherzadeh, M.J. Effect of pH, substrate loading, oxygen, and methanogens inhibitors on volatile fatty acid (VFA) production from citrus waste by anaerobic digestion. Bioresour. Technol. 2020, 302, 122800. [Google Scholar] [CrossRef] [PubMed]
- Montañés, R.; Pérez, M.; Solera, R. Mesophilic anaerobic co-digestion of sewage sludge and a lixiviation of sugar beet pulp: Optimisation of the semi-continuous proces. Bioresour. Technol. 2013, 142, 655–662. [Google Scholar] [CrossRef]
- Li, D.; Ran, Y.; Chen, L.; Cao, Q.; Li, Z.; Liu, X. Instability diagnosis and syntrophic acetate oxidation during thermophilic digestion of vegetable waste. Water Res. 2018, 139, 263–271. [Google Scholar] [CrossRef]
- Rodrigues, R.P.; Rodrigues, D.P.; Klepacz-Smolka, A.; Martins, R.C.; Quina, M.J. Comparative analysis of methods and models for predicting biochemical methane potential of various organic substrates. Sci. Total. Environ. 2019, 649, 1599–1608. [Google Scholar] [CrossRef]
- Krapf, L.C.; Heuwinkel, H.; Schmidhalter, U.; Gronauer, A. The potential for online monitoring of short-term process dynamics in anaerobic digestion using near-infrared spectroscopy. Biomass Bioenergy 2013, 48, 224–230. [Google Scholar] [CrossRef]
- Krapf, L.C.; Nast, D.; Gronauer, A.; Schmidhalter, U.; Heuwinkel, H. Transfer of a near infrared spectroscopy laboratory application to an online process analyser for in situ monitoring of anaerobic digestion. Bioresour. Technol. 2013, 129, 39–50. [Google Scholar] [CrossRef] [PubMed]
- Ward, A.J.; Bruni, E.; Lykkegaard, M.K.; Feilberg, A.; Adamsen, A.P.S.; Jensen, A.P.; Poulsen, A.K. Real time monitoring of a biogas digester with gas chromatography, near-infrared spectroscopy, and membrane-inlet mass spectrometry. Bioresour. Technol. 2011, 102, 4098–4103. [Google Scholar] [CrossRef]
- Jacobi, H.F.; Moschner, C.R.; Hartung, E. Use of near infrared spectroscopy in online-monitoring of feeding substrate quality in anaerobic digestion. Bioresour. Technol. 2011, 102, 4688–4696. [Google Scholar] [CrossRef] [PubMed]
- Lesteur, M.; Latrille, E.; Maurel, V.B.; Roger, J.M.; Gonzalez, C.; Junqua, G.; Steyer, J.P. First step towards a fast analytical method for the determination of Biochemical Methane Potential of solid wastes by near infrared spectroscopy. Bioresour. Technol. 2011, 102, 2280–2288. [Google Scholar] [CrossRef] [PubMed] [Green Version]
- Holm-Nielsen, J.B.; Lomberg, C.J.; Oleskowicz-Popiel, P.; Esbensen, K.H. On-line near infrared monitoring of glycerol-boosted anaerobic digestion processes: Evaluation of process analytical technologies. Biotechnol. Bioeng. 2008, 99, 302–313. [Google Scholar] [CrossRef]
- Reed, J.P.; Devlin, D.; Esteves, S.R.R.; Dinsdale, R.; Guwy, A.J. Performance parameter prediction for sewage sludge digesters using reflectance FT-NIR spectroscopy. Water Res. 2011, 45, 2463–2472. [Google Scholar] [CrossRef] [PubMed]
- Saeys, W.; Mouazen, A.M.; Ramon, H. Potential for onsite and online analysis of pig manure using visible and near infrared reflectance spectroscopy. Biosyst. Eng. 2005, 91, 393–402. [Google Scholar] [CrossRef]
- Stockl, A.; Lichti, F. Near-infrared spectroscopy (NIRS) for a real time monitoring of the biogas proces. Bioresour. Technol. 2018, 247, 1249–1252. [Google Scholar] [CrossRef]
- Pearson, K. LIII. On lines and planes of closest fit to systems of points in space. Lond. Edinb. Dublin Philos. Mag. J. Sci. 1901, 2, 559–572. [Google Scholar] [CrossRef] [Green Version]
- Hotelling, H. Analyses of complex statistical variables intro principal components. J. Educ. Psychol. 1933, 24, 417–441. [Google Scholar] [CrossRef]
- Karhunen, K. Uber linear Methoden fur Wahrscheiniogkeitsrechnung. Ann. Acad. Sci. Fenn. Ser. Al Math. Phys. 1946, 37, 3–79. [Google Scholar]
- Loeve, M.M. Probabilty Theoiry; Van Nostrand: Princeton, NJ, USA, 1955. [Google Scholar]
- Lumley, J.L. Stochastic Tools in Turbulence; Academic: New York, NY, USA, 1970. [Google Scholar]
- Buljak, V.; Maier, G. Proper Orthogonal Decomposition and Radial Basis Functions in material characterization based on instrumented indentation. Eng. Struct. 2011, 33, 492–501. [Google Scholar] [CrossRef]
- Garbowski, T.; Maier, G.; Novati, G. Novati Diagnosis of concrete dams by flat-jack tests and inverse analyses based on proper orthogonal decomposition. J. Mech. Mater. Struct. 2011, 6, 181–202. [Google Scholar] [CrossRef] [Green Version]
- Garbowski, T.; Maier, G.; Novati, G. Novati On calibration of orthotropic elastic-plastic constitutive models for paper foils by biaxial tests and inverse analyses. Struct. Multidiscip. Optim. 2012, 46, 111–128. [Google Scholar] [CrossRef] [Green Version]
- MacKay, D. Neural networks and machine learning. In NATO ASI Series, Series F, Computer and Systems Sciences; Bishop, C.M., Ed.; Kluwer Academic Press: Dordrecht, The Netherlands, 1974–2000; Volume 168, pp. 133–166. [Google Scholar]
- Rasmussen, C.E.; Williams, C.K.I. Gaussian Processes for Machine Learning; MIT Press: Cambridge, MA, USA, 2006. [Google Scholar]
- Sivia, D.; Skilling, J. Data Analysis: A Bayesian Tutorial, 2nd ed.; Oxford Science Publications: New York, NY, USA, 2006. [Google Scholar]
- Bishop, C.M. Pattern Recognition and Machine Learning; Springer: Berlin/Heidelberg, Germany, 2007. [Google Scholar]
- Garbowski, T.; Przybyszewski, G. The Sensitivity Analysis of Critical Force in Box Compression Test. Pol. Pap. Rev. 2015, 71, 275–280. [Google Scholar] [CrossRef]
- Alvarez, M.; Lawrence, N. Sparse Convolved Gaussian Processes for Multi-output Regression. In Proceedings of the Twenty-Second Annual Conference on Neural Information Processing Systems (NIPS), Vancouver, BC, Canada, 8–10 December; 2008. [Google Scholar]
- Garbowski, T. Stochastic model reduction applied to inverse analysis. In Adaptive Modeling and Simulation 2013, Proceedings of the VI International Conference on Adaptive Modeling and Simulation ADMOS 2013, Lisbon, Portugal, 3–5 June 2013; de Almeida, J.P.M., Díez, P., Tiago, C., Parés, N., Eds.; CIMNE: Barcelona, Spain, 2013; pp. 291–300. [Google Scholar]
- Mitkowski, P.T.; Adamski, M.; Szaferski, W. Experimental set-up of motionless hydraulic mixer and analysis of hydraulic mixing. Chem. Eng. J. 2016, 288, 618–637. [Google Scholar] [CrossRef]
- Mitkowski, P.T.; Szaferski, W.; Adamski, M. Hydraulic Mixing. In Practical Aspects of Chemical Engineering, Selected Contributions from PAIC 2017; Lecture Notes on Multidisciplinary Industrial Engineering; Springer: Cham, Switzerland, 2018; pp. 291–306. ISBN 978-3-319-73978-6. [Google Scholar] [CrossRef]
- Czechlowski, M.; Marcinkowski, D.; Berger, W.A.; Golimowski, W. Spectroscopy approach to methanol detection in waste fat methyl esters. Spectrochim. Acta Part A Mol. Biomol. Spectrosc. 2019, 210, 14–20. [Google Scholar] [CrossRef]
- Nespeca, M.G.; Piassalonga, G.B.; de Oliveira, J.E. Infrared spectroscopy and multivariate methods as a tool for identification and quantification of fuels and lubricant oils in soil. Environ. Monit. Assess. 2018, 190, 72. [Google Scholar] [CrossRef] [Green Version]
- Chatterjee, A. An introduction to the proper orthogonal decomposition. Curr. Sci. 2000, 78, 808–817. [Google Scholar]
- Wu, G.G.; Liang, Y.C.; Lin, W.Z.; Lee, H.P.; Lim, S.P. A note on equivalence of proper orthogonal decomposition methods. J. Sound Vib. 2003, 265, 1103–1110. [Google Scholar] [CrossRef]
- Ostrowski, Z.; Białecki, R.A.; Kassab, A.J. Solving inverse heat conduction problems using trained POD-RBF network inverse method. Inverse Prob. Sci. Eng. 2008, 16, 39–54. [Google Scholar] [CrossRef]
- Maier, G.; Bolzon, G.; Buljak, V.; Garbowski, T.; Miller, B. Synergistic combinations of computational methods and experiments for structural diagnosis. In Computer Methods in Mechanics; Kuczma, M., Wilmanski, K., Eds.; Lectures of the CMM 2009; Springer: Berlin/Heidelberg, Germany, 2010; pp. 453–476. [Google Scholar] [CrossRef]
- Maier, G.; Buljak, V.; Garbowski, T.; Cocchetti, G.; Novati, G. Mechanical characterization of materials and diagnosis of structures by inverse analyses: Some innovative procedures and applications. Int. J. Comput. Methods 2014, 11, 1343002. [Google Scholar] [CrossRef]
- Liang, Y.C.; Lee, H.P.; Lim, S.P.; Lin, W.Z.; Lee, K.H.; Wu, C.G. Proper orthogonal decomposition and its applications—Part I: Theory. J. Sound Vib. 2002, 252, 527–544. [Google Scholar] [CrossRef]
- Nocedal, J.; Wright, S.J. Numerical Optimization, Springer Series in Operations Research; Springer: New York, NY, USA, 1999. [Google Scholar]
- Insausti, M.; Gomes, A.A.; Cruz, F.V.; Pistonesi, M.F.; Araujo, M.C.U.; Galvão, R.K.H.; Pereira, C.F.; Band, B.S.F. Screening analysis of biodiesel feedstock using UV-vis, NIR and synchronous fluorescence spectrometries and the successive projections algorithm. Talanta 2012, 97, 579–583. [Google Scholar] [CrossRef] [PubMed] [Green Version]
- Shahzad, M.W.; Burhan, M.; Ang, L.; Ng, K.C. Energy-water-environment nexus underpinning future desalination sustainability. Desalination 2017, 413, 52–64. [Google Scholar] [CrossRef]






| Number of Elements in the Truncated Amplitude Vector | Mean Estimation Error (%) |
|---|---|
| 5 | 2.561 |
| 10 | 1.650 |
| 15 | 1.554 |
| 20 | 1.433 |
| 25 | 1.811 |
| 30 | 2.886 |
| Propionic Acid Concentration | Estimation Error with Respect to Number of Elements in the Truncated Amplitude Vector (%) | |||||
|---|---|---|---|---|---|---|
| (% m/m) | 30 | 25 | 20 | 15 | 10 | 5 |
| 0.58756 | 16.74 | −5.978 | 0.877 | −0.765 | −0.217 | −6.102 |
| 1.16825 | 1.031 | −1.003 | −1.813 | −1.517 | −1.850 | −5.369 |
| 1.74220 | −0.485 | −1.462 | 2.648 | 1.988 | 2.149 | 1.275 |
| 2.30952 | 5.164 | 4.471 | 5.030 | 3.987 | 3.614 | 4.888 |
| 2.87033 | 0.447 | 1.731 | −2.345 | −1.747 | −2.405 | −0.736 |
| 3.42473 | −0.820 | 0.891 | −1.040 | −0.133 | 0.478 | 0.601 |
| 3.97285 | 1.804 | −0.116 | 0.253 | −1.051 | 1.818 | 1.658 |
| 4.51477 | −0.667 | −1.122 | 0.052 | −2.464 | −0.404 | −1.339 |
| 5.05061 | 1.070 | 1.224 | 0.223 | −0.441 | 1.984 | 2.406 |
| 5.58048 | 0.635 | 0.111 | 0.046 | 1.441 | 1.579 | 1.236 |
| The Eigenvalue id | Eigenvalue | Normalized Cumulative Sum of Eigenvalues |
|---|---|---|
| 1 | 10,271.4 | 99.99154 |
| 2 | 0.6824 | 99.99818 |
| 3 | 0.1666 | 99.99980 |
| 4 | 0.0039 | 99.99984 |
| 5 | 0.0028 | 99.99987 |
| 6 | 0.0021 | 99.99989 |
| 7 | 0.0018 | 99.99991 |
| 8 | 0.0015 | 99.99992 |
| Min Wavelength (nm) | Max Wavelength (nm) | Mean Estimation Error (%) |
|---|---|---|
| 1250 | 1750 | 0.923 |
| 1250 | 1800 | 0.709 |
| 1250 | 1850 | 0.833 |
| 1300 | 1750 | 0.997 |
| 1300 | 1800 | 0.677 |
| 1300 | 1850 | 0.804 |
| 1350 | 1750 | 1.047 |
| 1350 | 1800 | 0.719 |
| 1350 | 1850 | 0.819 |
| Number of Elements in the Truncated Amplitude Vector | Mean Estimation Error (%) |
|---|---|
| 2 | 13.44 |
| 3 | 0.677 |
| 4 | 0.668 |
| 5 | 0.682 |
| 6 | 0.681 |
| 7 | 0.898 |
| 8 | 1.047 |
| Propionic Acid Concentration | Estimation Error with Respect to Number of Elements in the Truncated Amplitude Vector | ||||||
|---|---|---|---|---|---|---|---|
| (%) | |||||||
| (% m/m) | 8 | 7 | 6 | 5 | 4 | 3 | 2 |
| 0.58756 | 1.776 | 0.850 | −0.364 | −0.392 | −0.391 | −0.059 | −2.277 |
| 1.16825 | 3.462 | 3.022 | 2.193 | 2.196 | 2.154 | 2.240 | 33.12 |
| 1.74220 | 1.723 | 1.744 | 1.016 | 1.008 | 0.893 | 1.107 | 27.57 |
| 2.30952 | −1.564 | −1.609 | −1.202 | −1.207 | −1.161 | −1.102 | −25.95 |
| 2.87033 | −0.494 | −0.558 | −0.545 | −0.543 | −0.647 | −0.555 | −10.41 |
| 3.42473 | 0.086 | 0.021 | 0.148 | 0.144 | 0.137 | 0.234 | 14.05 |
| 3.97285 | 0.124 | −0.047 | −0.051 | −0.047 | −0.014 | −0.074 | −12.41 |
| 4.51477 | 0.289 | 0.247 | 0.318 | 0.314 | 0.323 | 0.403 | −0.808 |
| 5.05061 | 0.822 | 0.877 | 0.810 | 0.813 | 0.789 | 0.753 | −2.666 |
| 5.58048 | −0.129 | −0.003 | −0.157 | −0.156 | −0.174 | −0.237 | 5.125 |
| Propionic Acid Concentration in Aqueous Solution | Estimation Error | |
|---|---|---|
| Reference Value | Estimated Value | |
| (% m/m) | (% m/m) | (%) |
| 0.58756 | 058755 ± 0.02497 | 0.001 |
| 1.16825 | 1.14166 ± 0.02136 | 2.276 |
| 1.74220 | 1.72256 ± 0.02650 | 1.127 |
| 2.30952 | 2.33508 ± 0.01488 | −1.106 |
| 2.87033 | 2.88652 ± 0.01486 | −0.564 |
| 3.42473 | 3.41694 ± 0.01622 | 0.227 |
| 3.97285 | 3.97585 ± 0.01821 | −0.075 |
| 4.51477 | 4.49687 ± 0.01270 | 0.396 |
| 5.05061 | 5.01252 ± 0.01704 | 0.754 |
| 5.58048 | 5.59317 ± 0.02526 | −0.227 |
Publisher’s Note: MDPI stays neutral with regard to jurisdictional claims in published maps and institutional affiliations. |
© 2021 by the authors. Licensee MDPI, Basel, Switzerland. This article is an open access article distributed under the terms and conditions of the Creative Commons Attribution (CC BY) license (https://creativecommons.org/licenses/by/4.0/).
Share and Cite
Adamski, M.; Czechlowski, M.; Durczak, K.; Garbowski, T. Determination of the Concentration of Propionic Acid in an Aqueous Solution by POD-GP Model and Spectroscopy. Energies 2021, 14, 8288. https://doi.org/10.3390/en14248288
Adamski M, Czechlowski M, Durczak K, Garbowski T. Determination of the Concentration of Propionic Acid in an Aqueous Solution by POD-GP Model and Spectroscopy. Energies. 2021; 14(24):8288. https://doi.org/10.3390/en14248288
Chicago/Turabian StyleAdamski, Mariusz, Mirosław Czechlowski, Karol Durczak, and Tomasz Garbowski. 2021. "Determination of the Concentration of Propionic Acid in an Aqueous Solution by POD-GP Model and Spectroscopy" Energies 14, no. 24: 8288. https://doi.org/10.3390/en14248288
APA StyleAdamski, M., Czechlowski, M., Durczak, K., & Garbowski, T. (2021). Determination of the Concentration of Propionic Acid in an Aqueous Solution by POD-GP Model and Spectroscopy. Energies, 14(24), 8288. https://doi.org/10.3390/en14248288

