Evolution of Temperature Field around Underground Power Cable for Static and Cyclic Heating
Abstract
1. Introduction
2. Theory of Coupled Heat and Mass Transport in Sand
3. Materials and Methods
3.1. Sand
3.2. Experimental Setup
3.3. Thermocouples and Heater
4. Discussion on Effective Thermal Conductivity of Sand
5. Results and Discussion
5.1. Static and Cyclic Thermal Experiment with Dry Sand
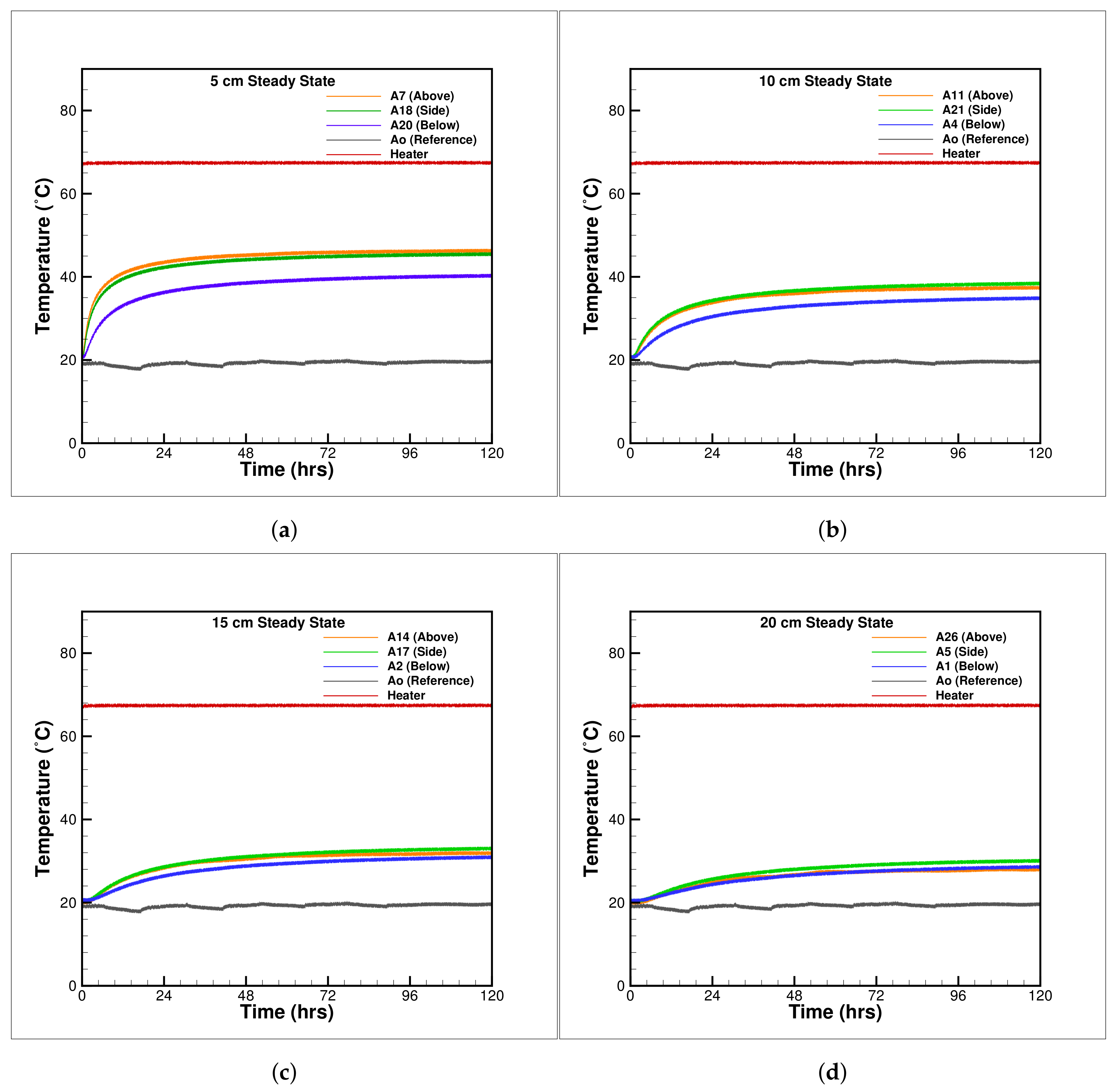
5.1.1. Static Thermal Loading
5.1.2. Cyclic Thermal Loading
5.1.3. Comparison between Cyclic and Steady State
5.2. Static Thermal Experiment for Full Range of Saturation
5.3. Discussion on Moisture Transfer in Soil
6. Conclusions
Author Contributions
Funding
Institutional Review Board Statement
Informed Consent Statement
Data Availability Statement
Acknowledgments
Conflicts of Interest
Abbreviations
| a | volumetric air content |
| c, | specific heat [J kg K] |
| C | volumetric heat capacity [J mK] |
| D | diffusion coefficient of water vapour in air [ms] |
| macroscopic diffusivity for moisture transport due to [msK] | |
| macroscopic diffusivity for moisture transport due to [ms] | |
| e | empirical factor |
| g | acceleration due to gravity [ms] |
| h | relative humidity |
| H | specific enthalpy [J kg] |
| T | temperature [K] |
| horizontal coordinate [m] | |
| z | vertical coordinate, positive downward [m] |
| Greek Symbols | |
| low value of | |
| volumetric moisture content | |
| Effective thermal conductivity [W mK] | |
| moisture potential [m] | |
| density [kgm] | |
| Subscripts | |
| 0 | reference value |
| a | air |
| d | drying |
| h | heat |
| k | critical |
| l | liquid |
| m | moisture |
| M | matrix |
| r | reversal |
| s | saturation |
| v | vapour |
| w | wetting |
References
- Oclon, P.; Pobedza, J.; Walczak, P.; Cisek, P.; Vallati, A. Experimental Validation of a Heat Transfer Model in Underground Power Cable Systems. Energies 2020, 13, 1747. [Google Scholar] [CrossRef]
- Ahmad, S.; Rizvi, Z.H.; Khan, M.A.; Ahmad, J.; Wuttke, F. Experimental study of thermal performance of the backfill material around underground power cable under steady and cyclic thermal loading. Mater. Today Proc. 2019, 17, 85–95. [Google Scholar] [CrossRef]
- Francis, E.C.; Shelley, O.P. Copper wire theft and high voltage electrical burns. Int. J. Burn. Trauma 2014, 4, 59–61. [Google Scholar]
- Van Dyke, P.; Havard, D.; Laneville, A. Effect of Ice and Snow on the Dynamics of Transmission Line Conductors. In Atmospheric Icing of Power Networks; Farzaneh, M., Ed.; Springer: Dordrecht, The Netherlands, 2008; pp. 171–228. [Google Scholar] [CrossRef]
- Yuan, S.; Li, P.; Nie, L. Study on Electromagnetic Radiation of Ultra-High Voltage Power Transmission Line. In Proceedings of the International Conference on Computer Science and Information Technology, Singapore, 29 August–2 September 2008; pp. 402–406. [Google Scholar]
- International Standard IEC 60287-2-1, Electric Cables—Calculation of the Current Rating—Part 2-1: Thermal Resistance—Calculation of the Thermal Resistance; IEC: Geneva, Switzerland, 2014.
- IEEE Std 835-1994 Standard Power Cable Ampacity Tables. 1994. Available online: https://standards.ieee.org/standard/835-1994.html (accessed on 17 October 2021).
- Calcara, L.; Sangiovanni, S.; Pompili, M. MV underground cables: Effects of soil thermal resistivity on anomalous working temperatures. In Proceedings of the AEIT International Annual Conference, Cagliari, Italy, 20–22 September 2017; pp. 1–5. [Google Scholar] [CrossRef]
- Gouda, O.E.; Osman, G.F.A.; Salem, W.A.A.; Arafa, S.H. Cyclic Loading of Underground Cables Including the Variations of Backfill Soil Thermal Resistivity and Specific Heat With Temperature Variation. IEEE Trans. Power Deliv. 2018, 33, 3122–3129. [Google Scholar] [CrossRef]
- Salata, F.; Nardecchia, F.; Gugliermetti, F.; de Lieto Vollaro, A. How thermal conductivity of excavation materials affects the behavior of underground power cables. Appl. Therm. Eng. 2016, 100, 528–537. [Google Scholar] [CrossRef]
- De Leon, F.; Anders, G.J. Effects of backfilling on cable ampacity analyzed with the finite elements method. IEEE Trans. Power Deliv. 2008, 23, 537–543. [Google Scholar] [CrossRef]
- Wan, H.; Xia, J.; Zhang, L.; She, D.; Xiao, Y.; Zou, L. Sensitivity and Interaction Analysis Based on Sobol Method and Its Application in a Distributed Flood Forecasting Model. Water 2015, 7, 2924–2951. [Google Scholar] [CrossRef]
- Philip, J.R.; de Vries, D.A. Moisture Movement in Porous Materials under Temperature Gradients. Trans. Am. Geophys. Union 1957, 38, 222–232. [Google Scholar] [CrossRef]
- De Vries, D.A. The theory of heat and moisture transfer in porous media revisited. Int. J. Heat Mass Transf. 1987, 30, 1343–1350. [Google Scholar] [CrossRef]
- Jackson, R.D.; Kimball, B.A.; Reginato, R.J.; Idso, S.B.; Nakayama, F.S. Heat and Mass Transfer in the Biosphere. In Transfer Processes in Plant Environment; De Vries, D.A., Afgan, N.H., Eds.; Scripta: Washington, DC, USA, 1975; pp. 67–76. [Google Scholar]
- Crausse, P. Fundamental Study of Heat and Humidity Couple Transfers in Unsaturated Environments. Ph.D. Thesis, Institut National Polytechnique de Toulouse, Toulouse, France, 1983. (In French). [Google Scholar]
- Moya, R.E.S.; Prata, A.T.; Cunha Neto, J.A.B. Experimental analysis of unsteady heat and moisture transfer around a heated cylinder buried into a porous medium. Int. J. Heat Mass Transf. 1999, 31, 1076–1087. [Google Scholar] [CrossRef]
- Kowalski, S.J.; Pawłowski, A. Modeling of kinetics in stationary and intermittent drying. Dry. Technol. Int. J. 2010, 28, 1023–1031. [Google Scholar] [CrossRef]
- Himasekhar, K.; Bau, H.H. Thermal Convection Around a Heat Source Embedded in a Box Containing a Saturated Porous Medium. J. Heat Transf. 1988, 110, 649–654. [Google Scholar] [CrossRef]
- Enescu, D.; Colella, P.; Russo, A.; Porumb, R.F.; Seritan, G.C. Concepts and Methods to Assess the Dynamic Thermal Rating of Underground Power Cables. Energies 2021, 14, 2591. [Google Scholar] [CrossRef]
- Tang, F.; Nowamooz, H. Outlet temperatures of a slinky-type Horizontal Ground Heat Exchanger with the atmosphere-soil interaction. Renew. Energy 2020, 146, 705–718. [Google Scholar] [CrossRef]
- Wessolek, G.; Bertermann, D.; Schwarz, H.; Stegner, J. Interaktionen des Erdkabelsystems SuedLink mit der Kabelumgebung; FAU University Press: Erlangen, Germany, 2020; (In German). [Google Scholar] [CrossRef]
- Neher, J.H.; McGrath, M.H. The calculation of the temperature rise and load capability of cable systems. in Transactions of the American Institute of Electrical Engineers. Part III: Power Apparatus and Systems. AIEE Trans. 1957, 76, 752–764. [Google Scholar] [CrossRef]
- Sellers, S.M.; Black, W.Z. Refinements to the Neher-McGrath model for calculating the ampacity of underground cables. IEEE Trans. Power Deliv. 1996, 11, 12–30. [Google Scholar] [CrossRef]
- Kroener, E.; Vallati, A.; Bittelli, M. Numerical simulation of coupled heat, liquid water and water vapor in soils for heat dissipation of underground electrical power cables. Appl. Therm. Eng. 2014, 70, 510–523. [Google Scholar] [CrossRef]
- Faulkner, R.W. Underground HVDC transmission via elpipes for grid security. In Proceedings of the IEEE Conference on Technologies for Homeland Security, Waltham, MA, USA, 13–15 November 2012; pp. 359–364. [Google Scholar] [CrossRef]
- Jury, W.A. Simultaneous Transport of Heat and Moisture through a Medium Sand. Ph.D. Thesis, University of Wisconsin-Madison, Madison, WI, USA, 1973. [Google Scholar]
- Ocłoń, P.; Bittelli, M.; Cisek, P.; Kroener, E.; Pilarczyk, M.; Taler, D.; Rao, R.V.; Vallati, A. The performance analysis of a new thermal backfill material for underground power cable system. Appl. Therm. Eng. 2016, 108, 233–250. [Google Scholar] [CrossRef]
- Marshall, J.S.; Fuhrmann, A.P. Effect of rainfall transients on thermal and moisture exposure of underground electric cables. Int. J. Heat Mass Transf. 2015, 80, 660–672. [Google Scholar] [CrossRef]
- International Standard IEC—TR 62095 Electric Cables Calculations for Current Ratings Finite Element Method; IEC: Geneva, Switzerland, 2003.
- Lewis, R.W.; Morgan, K.; Thomas, H.R.; Seetharamu, K.N. The Finite Element Method in Heat Transfer Analysis; Wiley: Hoboken, NJ, USA, 1996. [Google Scholar]
- Hruška, M.; Clauser, C.; De Doncker, R.W. Influence of dry ambient conditions on performance of underground medium-voltage DC cables. Appl. Therm. Eng. 2019, 149, 1419–1426. [Google Scholar] [CrossRef]
- Freire, J.; Freire, F.; Perazzini, H. On the Influence of Particles Characteristics on Moisture Diffusivity during Drying of Granular Porous Media. Adv. Chem. Eng. Sci. 2014, 4, 7–16. [Google Scholar] [CrossRef][Green Version]
- Meili, L.; Perazzini, H.; Ferreira, M.; Freire, J.T. Analyzing the universality of the dimensionless vibrating number based on the effective moisture diffusivity and its impact on specific energy consumption. Heat Mass Transf. 2020, 56, 1659–1672. [Google Scholar] [CrossRef]
- Groeneveld, G.J.; Snijders, A.L.; Koopmans, G.; Vermeer, J. Improved method to calculate the critical conditions for drying out sandy soils around power cables. IEE Proc. C Gener. Transm. Distrib. 1984, 131, 42–53. [Google Scholar] [CrossRef]
- Ainhirn, F.; Woschitz, R.; Bolzer, A. Extended Approach for Calculating Thermal Stress and Ampacity of High Voltage Cable Systems Based on Experimental Data. In Proceedings of the Jicable 2019: 10th International Conference On Insulated Cables—Versailles, Versailles, France, 23–27 June 2019; pp. 1–6. [Google Scholar]
- Adams, J.I. The Thermal Behavior of Cable Backfill Materials. IEEE Trans. Power Appar. Syst. 1968, 87, 1149–1161. [Google Scholar] [CrossRef]
- Trinks, J. Einfluss des Wasser- und Wärmehaushaltes von Böden auf den Betrieb Erdverlegter Energiekabel. Ph.D. Thesis, Technical University Berlin, Berlin, Germany, 2010. (In German). [Google Scholar]
- Ainhirn, F. Environmental Parameter Modelling for Thermal Rating Calculations of Power Cables in Urban Areas using Machine Learning and Big Data. In Proceedings of the 2020 IEEE International Smart Cities Conference (ISC2), Piscataway, NJ, USA, 28 September–1 October 2020; pp. 1–7. [Google Scholar]
- De Lieto Vollaro, R.; Fontana, L.; Vallati, A. Experimental study of thermal field deriving from an underground electrical power cable buried in non-homogeneous soils. Appl. Therm. Eng. 2014, 62, 390–397. [Google Scholar] [CrossRef]
- Hartley, J.G.; Black, W.Z. Transient Simultaneous Heat and Mass Transfer in Moist, Unsaturated Soils. J. Heat Transf. Am. Soc. Mech. Eng. Digit. Collect. 1981, 103, 376–382. [Google Scholar] [CrossRef]
- Chatzipanagiotou, P.; Chatziathanasiou, V.; de Mey, G.; Wiecek, B. Influence of soil humidity on the thermal impedance, time constant and structure function of underground cables: A laboratory experiment. Appl. Therm. Eng. 2017, 113, 1444–1451. [Google Scholar] [CrossRef]
- Freitas, D.S.; Prata, A.T.; de Lima, A.J. Thermal performance of underground power cables with constant and cyclic currents in presence of moisture migration in the surrounding soil. IEEE Trans. Power Deliv. 1996, 11, 1159–1170. [Google Scholar] [CrossRef]
- Williams, J.A.; Parmar, D.; Conroy, M.W. Controlled backfill optimization to achieve high ampacities on transmission cables. IEEE Trans. Power Deliv. 1994, 9, 544–552. [Google Scholar] [CrossRef]
- Verschaffel-Drefke, C.; Schedel, M.; Balzer, C.; Hinrichsen, V.; Sass, I. Heat Dissipation in Variable Underground Power Cable Beddings: Experiences from a Real Scale Field Experiment. Energies 2021, 14, 7189. [Google Scholar] [CrossRef]
- Rasoulpoor, M.; Mirzaie, M.; Mirimani, S.M. Thermal assessment of sheathed medium voltage power cables under non-sinusoidal current and daily load cycle. Appl. Therm. Eng. 2017, 123, 353–364. [Google Scholar] [CrossRef]
- Gouda, O.E.; Osman, G.F.A. Enhancement of the thermal analysis of power cables installed in polyvinyl chloride (PVC) ducts under continuous and cyclic current loading conditions. IET Gener. Transm. Distrib. 2021, 15, 1144–1158. [Google Scholar] [CrossRef]
- Rizvi, Z.H.; Zaidi, H.H.; Akhtar, S.J.; Sattari, A.S.; Wuttke, F. Soft and hard computation methods for estimation of the effective thermal conductivity of sands. Heat Mass Transf. 2020, 56, 1947–1959. [Google Scholar] [CrossRef]
- He, H.; He, D.; Jin, J.; Smits, K.M.; Dyck, M.; Wu, Q.; Si, B.; Lv, J. Room for improvement: A review and evaluation of 24 soil thermal conductivity parameterization schemes commonly used in land-surface, hydrological, and soil-vegetation-atmosphere transfer models. Earth Sci. Rev. 2020, 211, 1–21. [Google Scholar] [CrossRef]
- Campbell, G.S.; Jungbauer, J.D.; Bidlake, J.R.; Hungerford, R.D. Predicting the effect of temperature on soil thermal conductivity. E3S Web Conf. 2020, 195, 04007. [Google Scholar] [CrossRef]
- Aljundi, K.; Vieira, A.; Maranha, J.; Lapa, J.; Cardoso, R. Effects of temperature, test duration and heat flux in thermal conductivity measurements under transient conditions in dry and fully saturated states. Soil Sci. 1994, 158, 307–313. [Google Scholar] [CrossRef]













| Weight Percent Oxides of the Soil Sample | ||||||
|---|---|---|---|---|---|---|
| Compound | SiO | AlO | FeO | CaO | MgO | KO |
| Percentage | 98.27819 | 0.593343 | 0.578948 | 0.04028 | 0.098282 | 0.019334 |
Publisher’s Note: MDPI stays neutral with regard to jurisdictional claims in published maps and institutional affiliations. |
© 2021 by the authors. Licensee MDPI, Basel, Switzerland. This article is an open access article distributed under the terms and conditions of the Creative Commons Attribution (CC BY) license (https://creativecommons.org/licenses/by/4.0/).
Share and Cite
Ahmad, S.; Rizvi, Z.H.; Arp, J.C.C.; Wuttke, F.; Tirth, V.; Islam, S. Evolution of Temperature Field around Underground Power Cable for Static and Cyclic Heating. Energies 2021, 14, 8191. https://doi.org/10.3390/en14238191
Ahmad S, Rizvi ZH, Arp JCC, Wuttke F, Tirth V, Islam S. Evolution of Temperature Field around Underground Power Cable for Static and Cyclic Heating. Energies. 2021; 14(23):8191. https://doi.org/10.3390/en14238191
Chicago/Turabian StyleAhmad, Shahbaz, Zarghaam Haider Rizvi, Joan Chetam Christine Arp, Frank Wuttke, Vineet Tirth, and Saiful Islam. 2021. "Evolution of Temperature Field around Underground Power Cable for Static and Cyclic Heating" Energies 14, no. 23: 8191. https://doi.org/10.3390/en14238191
APA StyleAhmad, S., Rizvi, Z. H., Arp, J. C. C., Wuttke, F., Tirth, V., & Islam, S. (2021). Evolution of Temperature Field around Underground Power Cable for Static and Cyclic Heating. Energies, 14(23), 8191. https://doi.org/10.3390/en14238191

