Optimized Charge Controller Schedule in Hybrid Solar-Battery Farms for Peak Load Reduction
Abstract
:1. Introduction
2. Literature Review
2.1. Demand Forecasting Review
2.2. Solar Forecasting Review
2.3. Scheduling of Battery Review
3. Methodology
- Demand forecasting problem
- Solar forecasting problem
- Battery optimization problem
3.1. Machine Learning Approach
3.1.1. Random Forest
3.1.2. Gradient Boosting Regression Trees
- -
- N is the number of individual trees built,
- -
- is the initial prediction,
- -
- is the prediction at stage i,
- -
- h is the prediction of an individual tree learner,
- -
- ν ∈ (0, 1] is the shrinkage parameter to reduce the effect of an individual tree in the sequence.
3.1.3. Feed-Forward Neural Networks
3.1.4. Combined Forecasts
3.1.5. Hyperparameter Tuning
3.2. Demand Forecasting
3.3. Solar Forecasting
- There is an inherent bias of NWP forecasts, as the grid points of NWP data are usually not precisely on a solar plant. To overcome this bias, there was a linear-regression-based debias method developed for the GHI predictions, so that the closest grid points would be used to predict GHI measurements at the site.
- Then, this irradiance and the temperature were used as features for modeling the active power on the PV site.
- To capture the possible timewise degradation of solar modules [27], as well as to see any effect of seasonality, numerous cyclic features were utilized in the modeling.
- The final modeling was done with scikit-learn-based Linear modeling and Random Forest.
- -
- First, the Mean Absolute Percentage Error was used. The physical meaning of this error metric is the average absolute percentage difference of the prediction from the ground truth.
- -
- Secondly, the normalized Mean Absolute Error was used for the basis of model selection. The basis of normalization is the maximum measured power. The physical meaning of this error metric is the percentage of how high the average absolute error is compared to the farm capacity.
3.4. Battery Scheduling
3.4.1. Scheduler with Perfect Forecasts
3.4.2. Scheduler with Imperfect Forecasts
4. Case Study: PoD Data Science Challenge
4.1. Competition Background
4.2. Input Sources and Data
- Maximize the daily evening peak reduction,
- Maximize the amount of daily solar photovoltaic energy charging.
4.3. Challenge Rounds
4.4. Evaluation Metric
- -
- is the peak reduction score for a particular day,
- -
- is the percentage peak reduction during the evening period on day d (old peak–new peak)/old peak,
- -
- , indicate the proportion of energy stored in the battery from solar energy and from the grid, respectively, on day d
- -
- , are the given constants and weights for the solar and grid energy, respectively. These weights are based on the relatively lifetime Greenhouse Gas emission intensity of solar and electricity from the grid around the substation.
4.5. Battery Operational Constraints
- 1.
- The maximum charge and discharge of power is 2.5 MW.
- 2.
- The battery cannot charge beyond its capacity, (in MWh)
- 3.
- The total charge in the battery at the next time step is related to how much is currently in the battery and how much is charged within the battery at time k, i.e.,
- 4.
- Charging () is only allowed from midnight to 3.30 P.M. (t = 1 to 31).
- 5.
- Discharging () is only allowed from 3.30 P.M. to 9 P.M. t = 31 to 42.
- 6.
- The battery must be empty after discharging, i.e., for .
4.6. Results of the Proposed Methodology
4.6.1. Demand Forecasting Results
4.6.2. Solar Forecasting Results
- ◦
- Average CSI stands for Clear Sky Index, indicating how clear a day is, on average, when compared to a modeled clearsky day. (Clearsky modeling has been performed with a default parameter set of the corresponding PVLIB modules.)
- ◦
- UF stands for Utilization Factor, that is the overall real produced energy of the power plant as a percentage of the hypothetical case that the power plant was producing electricity on nominal capacity during the entire period.
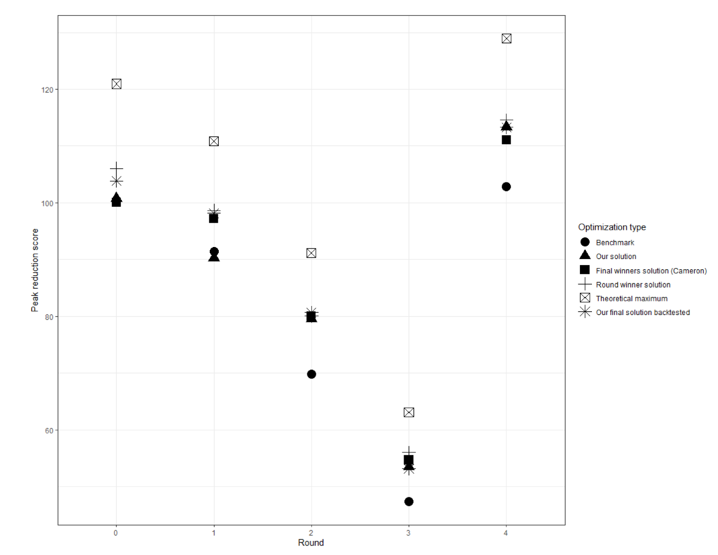
4.6.3. Battery Scheduler Results
5. Discussion and Future Work
5.1. Improved Forecasting Framework
5.1.1. Additional Input Features
5.1.2. Sophistication of Modeling
5.2. Battery Scheduling Improvements
Author Contributions
Funding
Data Availability Statement
Acknowledgments
Conflicts of Interest
References
- Cole, W.; Frazier, A.W.; Augustine, C. Cost Projections for UtilityScale Battery Storage: 2021 Update; National Renewable Energy Laboratory: Golden, CO, USA, 2021. [Google Scholar]
- Elshurafa, A.M. The value of storage in electricity generation: A qualitative and quantitative review. J. Energy Storage 2020, 32, 101872. [Google Scholar] [CrossRef]
- U.S. Department of Energy. Electric Power Industry Needs for Grid-Scale Storage Applications. Available online: https://www.energy.gov/sites/prod/files/oeprod/DocumentsandMedia/Utility_12-30-10_FINAL_lowres.pdf (accessed on 20 August 2021).
- Mangalova, E.; Agafonov, E. Wind power forecasting using the k-nearest neighbors algorithm. Int. J. Forecast. 2014, 30, 402–406. [Google Scholar] [CrossRef]
- Barta, G.; Borbely, G.; Nagy, G.; Kazi, S.; Henk, T. GEFCOM 2014-Probabilistic Electricity Price Forecasting. Intell. Decis. Technol. 2015, 39, 67–76. [Google Scholar]
- Aggarwal, S.; Saini, L. Solar energy prediction using linear and non-linear regularization models: A study on AMS (American Meteorological Society) 2013–14 Solar Energy Prediction Contest. Energy 2014, 78, 247–256. [Google Scholar] [CrossRef]
- Bouktif, S.; Fiaz, A.; Ouni, A.; Serhani, M.A. Optimal Deep Learning LSTM Model for Electric Load Forecasting using Feature Selection and Genetic Algorithm: Comparison with Machine Learning Approaches. Energies 2018, 11, 1636. [Google Scholar] [CrossRef] [Green Version]
- Alfares, H.; Nazeeruddin, M. Electric load forecasting: Literature survey and classification of methods. Int. J. Syst. Sci. 2002, 33, 23–34. [Google Scholar] [CrossRef]
- Hong, T. Short Term Electric Load Forecasting. Ph.D. Thesis, North Carolina State University, Raleigh, NC, USA, 2010. [Google Scholar]
- Xie, J.; Liu, B.; Lyu, X.; Hong, T.; Basterfield, D. Combining load forecasts from independent experts. In Proceedings of the 2015 North American Power Symposium (NAPS), Charlotte, NC, USA, 4–6 October 2015. [Google Scholar]
- Hong, T.; Fan, S. Probabilistic electric load forecasting: A tutorial review. Int. J. Forecast. 2016, 32, 914–938. [Google Scholar] [CrossRef]
- Martinez-Anido, C.B.; Botor, B.; Florita, A.; Draxl, C.; Lu, S.; Hamann, H.F.; Hodge, B.-M. The value of day-ahead solar power forecasting improvement. Sol. Energy 2016, 129, 192–203. [Google Scholar] [CrossRef] [Green Version]
- Theocharides, S.; Makrides, G.; Georghiou, G.E.; Kyprianou, A. Machine learning algorithms for photovoltaic system power output prediction. In Energycon-2018; IEEE: Limassol, Cyprus, 2018. [Google Scholar]
- Theocharides, S.; Makrides, G.; Venizelou, V.; Kaimakis, P.; Kyprianou, A.; Georghiou, G. Pv Production Forecasting Model Based on Artificial Neural Networks (ANN). In Proceedings of the 33rd European Photovoltaic Solar Energy Conference and Exhibition, Amsterdam, The Netherlands, 25–29 September 2017. [Google Scholar]
- Zhang, J.; Hodge, B.-M.; Lu, S.; Hamann, H.F.; Lehman, B.; Simmons, J.; Campos, E.; Banunarayanan, V. Baseline and Target Values for PV Forecasts: Toward Improved Solar Power Forecasting. In Proceedings of the IEEE Power and Energy Society General Meeting, Denver, CO, USA, 26–30 July 2015. [Google Scholar]
- Hummon, M.; Ibanez, E.; Brinkman, G.; Lew, D. Sub-Hour Solar Data for Power System Modeling From Static Spatial Variability Analysis. In Proceedings of the 2nd International Workshop on Integration of Solar Power in Power Systems, Lisbon, Portugal, 12–13 November 2012. [Google Scholar]
- Marty, C.; Philipona, R. The clear-sky index to separate clear-sky from cloudy-sky situations in climate research. Geophys. Res. Lett. 2000, 27, 2649–2652. [Google Scholar] [CrossRef]
- Guannan, H.; Quixin, C.; Chongqing, K.; Pierre, P.; Qing, X. Optimal Bidding Strategy of Battery Storage in Power Markets Considering Performance-Based Regulation and Battery Cycle Life. IEEE Trans. Smart Grid 2016, 7, 2359–2367. [Google Scholar]
- Hejazi, A.; Rad, M. Optimal operation of independent storage systems in energy and reserve markets with high wind penetration. IEEE Trans. Smart Grid 2014, 5, 1088–1097. [Google Scholar] [CrossRef]
- Zeyu, W.; Ahlmahz, N.; Daniel, K.S. Optimal Scheduling of Energy Storage under Forecast Uncertainties. IET Gener. Transm. Distrib. 2017, 11, 4220–4226. [Google Scholar]
- Friedman, J.H. Greedy function approximation: A gradient boosting machine. Ann. Stat. 2001, 29, 1189–1232. [Google Scholar] [CrossRef]
- Genre, V.; Kenny, G.; Meyler, A.; Timmermann, A. Combining expert forecasts: Can anything beat the simple average? Int. J. Forecast. 2013, 29, 108–121. [Google Scholar] [CrossRef]
- Fan, S.; Chen, L.; Lee, W.-J. Short-Term Load Forecasting Using Comprehensive Combination Based on Multimeteorological Information. IEEE Trans. Ind. Appl. 2009, 45, 1460–1466. [Google Scholar] [CrossRef]
- Hong, T.; Wang, P.; White, L. Weather station selection for electric load forecasting. Int. J. Forecast. 2015, 31, 286–295. [Google Scholar] [CrossRef]
- U.S. Energy Information Administration. Available online: https://www.eia.gov/energyexplained/units-and-calculators/degree-days.php (accessed on 1 October 2021).
- Hong, T.; Pinson, P.; Fan, S. Global Energy Forecasting Competition 2012. Int. J. Forecast. 2014, 30, 357–363. [Google Scholar] [CrossRef]
- Aldosari, M.; Grigoriu, L.; Sohrabpoor, H.; Gorji, N.E. Modeling of depletion width variation over time in thin film photovoltaics. Mod. Phys. Lett. B 2016, 30, 1650044. [Google Scholar] [CrossRef]
- Western Power Distribution. Open Data Hub Homepage. Available online: https://www.westernpower.co.uk/innovation/pod (accessed on 20 August 2021).
- Haben, D.S.; Energy Systems Catapult. Value in Energy Data Special: Presumed Open Data Challenge. 2021. Available online: https://www.westernpower.co.uk/pod-data-science-challenge (accessed on 20 August 2021).
- Ranjan, R.; Gneiting, T. Combining probability forecasts. J. R. Stat. Soc. Ser. B 2010, 72, 71–91. [Google Scholar] [CrossRef] [Green Version]





| Input Type | Input Features |
|---|---|
| Weather features | Lagged weather features 1–3 h Rolling mean and rolling standard deviation on 3–48 h horizons Heating degree days and cooling degree days Temperature–datetime interaction variables |
| Datetime features | Hour of day, day of week, day of month, day of year, week of year, month of year, year |
| Holiday features | Holidays and days immediately before and after holidays are marked as special |
| Solar features | PV generation forecast |
| Variables | |
|---|---|
| The rate of charge or discharge for period t | |
| Charge rate from solar for period t | |
| Energy stored in the battery at beginning of period t | |
| Minimum daily net load across peak hours | |
| Constants | |
| Day-ahead solar forecast for period t | |
| Day-ahead load forecast for period t | |
| Weights/Pseudo probabilities to calculate expected generation | |
| Weights/Pseudo probabilities to calculate expected net demand | |
| B | Deviation factor from average net demand |
| Forecasted net demand during peak hours | |
| Data Type | Granularity | Comments |
|---|---|---|
| Historical temperature and irradiance data; temperature and irradiance predictions for the upcoming round’s period | 60 min | The data are from multiple grid points of a Numerical Weather Prediction model MERRA-2. The precise prediction cycles of these points were unknown but are assumed to be constant. |
| Historical demand data on the substation | 30 min | No data about the upcoming round’s period. |
| Historical photovoltaic generation data of the 5 MW Newton Downs Solar Plant. | 30 min | No data about the upcoming round’s period. |
| Challenge Round: | Given Historical Dataset: | Submission Dataset: |
|---|---|---|
| 0 | 3 November 2017–22 July 2018 | 23 July 2018–29 July 2018 |
| 1 | 3 November 2017–15 October 2018 | 16 October 2018–22 October 2018 |
| 2 | 3 November 2017–9 March 2019 | 10 March 2019–16 March 2019 |
| 3 | 3 November 2017–17 December 2019 | 18 December 2019–24 December 2019 |
| 4 | 3 November 2017–2 July 2020 | 3 July 2020–9 July 2020 |
| Round | Extra Trees | XGBoost | LightGBM | Combined Forecast |
|---|---|---|---|---|
| 1 | 4.531 | 8.301 | 5.347 | 5.292 |
| 2 | 2.965 | 4.704 | 3.371 | 3.359 |
| 3 | 5.419 | 4.501 | 4.042 | 4.522 |
| 4 | 5.637 | 5.731 | 4.864 | 5.330 |
| Round | R2 | CVRMSE (%) |
|---|---|---|
| 0 | 0.92 | 6.59 |
| 1 | 0.92 | 8.01 |
| 2 | 0.97 | 4.78 |
| 3 | 0.82 | 5.21 |
| 4 | 0.72 | 7.33 |
| Round | Test Month | Average CSI | UF | MAPE [%] | nMAE [%] | R2 | CVRMSE |
|---|---|---|---|---|---|---|---|
| 1 | March | 0.6 | 0.12 | 24.5 | 4.02 | 0.85 | 72.46 |
| 2 | July | 0.86 | 0.27 | 25.1 | 6.98 | 0.87 | 45.39 |
| 3 | October | 0.97 | 0.13 | 28.5 | 5.92 | 0.76 | 87.12 |
| 4 | December | 0.66 | 0.03 | 69.8 | 1.39 | 0.72 | 134.04 |
| Round | Scheduler That Assumes No Error in Forecasts (a) | Scheduler That Accounts for Error in Forecasts (b) | Improvement in Score (b-a) | Best Possible Score |
|---|---|---|---|---|
| Round 0 | 99.65 | 103.83 | 4.18 | 120.97 |
| Round 1 | 90.16 | 98.16 | 8 | 110.82 |
| Round 2 | 76.17 | 80.69 | 4.52 | 91.15 |
| Round 3 | 48.65 | 53.16 | 4.51 | 63.11 |
| Round 4 | 99.57 | 113.33 | 13.76 | 128.98 |
| Overall | 82.84 | 89.83 | 6.99 | 103.0 |
Publisher’s Note: MDPI stays neutral with regard to jurisdictional claims in published maps and institutional affiliations. |
© 2021 by the authors. Licensee MDPI, Basel, Switzerland. This article is an open access article distributed under the terms and conditions of the Creative Commons Attribution (CC BY) license (https://creativecommons.org/licenses/by/4.0/).
Share and Cite
Barta, G.; Pasztor, B.; Prava, V. Optimized Charge Controller Schedule in Hybrid Solar-Battery Farms for Peak Load Reduction. Energies 2021, 14, 7794. https://doi.org/10.3390/en14227794
Barta G, Pasztor B, Prava V. Optimized Charge Controller Schedule in Hybrid Solar-Battery Farms for Peak Load Reduction. Energies. 2021; 14(22):7794. https://doi.org/10.3390/en14227794
Chicago/Turabian StyleBarta, Gergo, Benedek Pasztor, and Venkat Prava. 2021. "Optimized Charge Controller Schedule in Hybrid Solar-Battery Farms for Peak Load Reduction" Energies 14, no. 22: 7794. https://doi.org/10.3390/en14227794
APA StyleBarta, G., Pasztor, B., & Prava, V. (2021). Optimized Charge Controller Schedule in Hybrid Solar-Battery Farms for Peak Load Reduction. Energies, 14(22), 7794. https://doi.org/10.3390/en14227794
