3D Numerical Modelling of the Application of Cemented Paste Backfill on Displacements around Strip Excavations
Abstract
:1. Introduction
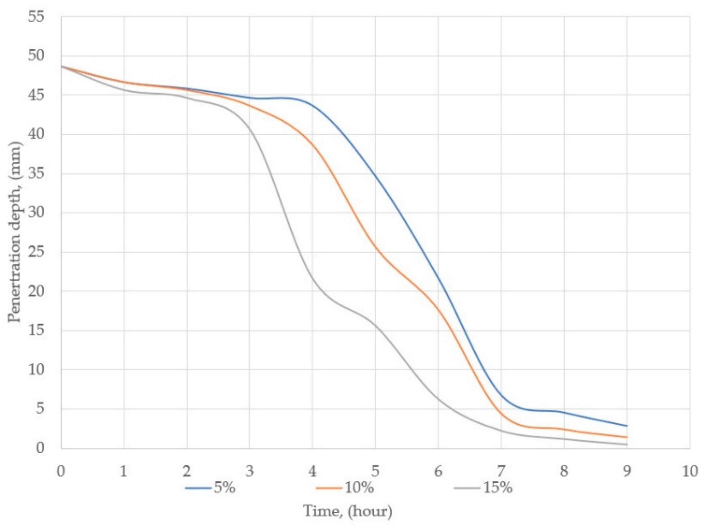
2. Laboratory Tests of the Cemented Paste Backfill
- Ts—tensile strength, (MPa);
- k—ratio of length to diameter;
- P—maximum load, (N);
- d—diameter, (mm);
- t—length (mm).




| Cement Content (%) | Curing Period (Week) | |||||||
|---|---|---|---|---|---|---|---|---|
| I | II | III | IV | |||||
| UCS (MPa) | Ts (MPa) | UCS (MPa) | Ts (MPa) | UCS (MPa) | Ts (MPa) | UCS (MPa) | Ts (MPa) | |
| 5 | 0.193 | 0.068 | 0.364 | 0.098 | 0.476 | 0.122 | 0.535 | 0.155 |
| 10 | 0.296 | 0.141 | 1.250 | 0.270 | 1.439 | 0.377 | 1.583 | 0.485 |
| 15 | 1.234 | 0.471 | 2.312 | 0.653 | 2.947 | 0.938 | 3.473 | 1.211 |
3. Numerical Modeling of Strip Mining with Cemented Paste Backfill
4. Discussion
- a—backfill compressibility index, (%);
- S—the surface of the exploited strip, (m2);
- g1—the average thickness of the backfill after compression, (m);
- g2—the average height of backfilling the strip, (m).
- g—average thickness of the exploited strip, (m);
- d1—subsidence of the direct roof, (m);
- d2—floor lift, (m);
- k—height not backfilled, (m);
- Δd—subsidence of the roof before backfilling, (m).
5. Conclusions
- For the cemented paste backfill (15% of cement), the compressive strength in the fourth week was 3.473 MPa and was greater by 54% and 84% for the 10% and 5% cement addition, respectively;
- In the case of tensile strength, the maximum value was 1.211 MPa for cemented paste backfill (15% cement) and was 60% and 87% higher for 10% and 5% cement addition, respectively.
- Filling the excavations with 5%, 10%, or 15% cemented paste reduced the total displacement values by 13% and 18%, respectively;
- The exploitation of the inter-strip rock pillars in the third stage of the deposit exploitation caused an increase in displacement by 52%, 44%, and 38%, respectively, compared to the second stage;
- Filling the post-exploitation spaces between artificial pillars with 5%, 10%, and 15% cemented paste reduced the total displacements by 10%, 31%, and 28%, respectively, compared to the third stage of operation;
- The value of the backfill compressibility in the second and fourth stage of filling the strip did not exceed the value of 2.5%, which indicates that the filling effectively contributed to the reduction in displacements around the workings.
Funding
Institutional Review Board Statement
Informed Consent Statement
Data Availability Statement
Conflicts of Interest
References
- Watari, T.; Nansai, K.; Nakajima, K. Major metals demand, supply, and environmental impacts to 2100: A critical review. Resour. Conserv. Recycl. 2021, 164, 105107. [Google Scholar] [CrossRef]
- Jiang, F.; Zhou, H.; Sheng, J.; Li, X.; Hu, Y.; Zhou, Y. Evaluation of safety and deformation characteristics of cemented tailings backfill mining disturbed area near shafts: A case study in China. Geomech. Geophys. Geo-Energy Geo-Resour. 2020, 6. [Google Scholar] [CrossRef]
- Zhang, J.; Li, M.; Taheri, A.; Zhang, W.; Wu, Z.; Song, W. Properties and Application of Backfill Materials in Coal Mines in China. Minerals 2019, 9, 53. [Google Scholar] [CrossRef] [Green Version]
- Skrzypkowski, K. Decreasing Mining Losses for the Room and Pillar Method by Replacing the Inter-Room Pillars by the Construction of Wooden Cribs Filled with Waste Rocks. Energies 2020, 13, 3564. [Google Scholar] [CrossRef]
- Xu, H.; Apel, D.B.; Wang, J.; Wei, C.; Pourrahimian, Y. Investigation of Backfilling Step Effects on Stope Stability. Mining 2021, 1, 155–166. [Google Scholar] [CrossRef]
- Xu, W.; Li, Q.; Zhang, Y. Influence of temperature on compressive strength, microstructure properties and failure pattern of fiber-reinforced cemented tailings backfill. Constr. Build. Mater. 2019, 222, 776–785. [Google Scholar] [CrossRef]
- Wang, J.; Apel, D.B.; Pu, Y.; Hall, R.; Wei, C.; Sepehri, M. Numerical modeling for rockbursts: A state-of-the-art review. J. Rock Mech. Geotech. 2021, 13, 457–478. [Google Scholar] [CrossRef]
- Bai, E.; Guo, W.; Tan, Y.; Yang, D. The analysis and application of granular backfill material to reduce surface subsidence in China’s northwest coal mining area. PLoS ONE 2018, 13, e0201112. [Google Scholar] [CrossRef] [Green Version]
- Belem, T.; Benzaazoua, M. An overview on the use of paste backfill technology as a ground support method in cut-and-fill mines. In Ground Support in Mining and Underground Construction, Proceedings of the Fifth International Symposium on Ground Support, Perth, Australia, 28–30 September 2004; Villaescusa, E., Potvin, Y., Eds.; Australian Centre for Geomechanics: Perth, Australia, 2004; pp. 637–650. [Google Scholar]
- Chu, S.H.; Kwan, A.K.H. Co-addition of metakaolin and silica fume in mortar: Effects and advantages. Constr. Build. Mater. 2019, 197, 716–724. [Google Scholar] [CrossRef]
- Raffaldi, M.J.; Seymour, J.B.; Richardson, J.; Zahl, E.; Board, M. Cemented Paste Backfill Geomechanics at a Narrow-Vein Underhand Cut-and-Fill Mine. Rock Mech. Rock Eng. 2019, 52, 4925–4940. [Google Scholar] [CrossRef]
- Liu, G.; Li, L.; Yang, X.; Guo, L. Required strength estimation of a cemented backfill with the front wall exposed and back wall pressured. Int. J. Min. Miner. Eng. 2018, 9. [Google Scholar] [CrossRef] [Green Version]
- Zhu, W.; Yu, S.; Xuan, D.; Shan, Z.; Xu, J. Experimental study on excavating strip coal pillars using caving zone backfill technology. Arab. J. Geosci. 2018, 11. [Google Scholar] [CrossRef]
- Feng, X.; Zhang, N.; Gong, L.; Xue, F.; Zheng, X. Application of a Backfilling Method in Coal Mining to Realise an Ecologically Sensitive “Black Gold” Industry. Energies 2015, 8, 3628–3639. [Google Scholar] [CrossRef]
- Lin, H.; Yang, R.; Li, Y.; Fang, S. Stability of Coal Pillar and Roof Movement Characteristics in Roadway Backfill Mining. Adv. Civ. Eng. 2021, 2021, 5588923. [Google Scholar] [CrossRef]
- Shao, X.; Li, X.; Wang, L.; Fang, Z.; Zhao, B.; Liu, E.; Tao, Y.; Liu, L. Study on the Pressure-Bearing Law of Backfilling Material Based on Three-Stage Strip Backfilling Mining. Energies 2020, 13, 211. [Google Scholar] [CrossRef] [Green Version]
- Gang, H.; Kulatilake, P.H.S.W.; Shreedharan, S.; Cai, S.; Song, H. 3-D discontinuum numerical modeling of subsidence incorporating ore extraction and backfilling operations in an underground iron mine in China. Int. J. Min. Sci. Technol. 2017, 27, 191–201. [Google Scholar]
- Polish Standard PN-G-11011. Mining. Materials for Backfilling and Caulking of Caving. Requirements and Tests; Polish Committee for Standardization: Warsaw, Poland, 1998; p. 4. [Google Scholar]
- Chu, S.H. Effect of paste volume on fresh and hardened properties of concret. Constr. Build. Mater. 2019, 218, 284–294. [Google Scholar] [CrossRef]
- Polish Standard PN-EN 196-3. Cement Test Methods-Part 3: Determination of Setting Times and Volume Stability; Polish Committee for Standardization: Warsaw, Poland, 2006; p. 13. [Google Scholar]
- Yu, Y.; Yin, J.; Zhong, Z. Shape effects in the Brazilian tensile strength test and a 3D FEM correction. Int. J. Rock Mech. Min. Sci. 2006, 43, 623–627. [Google Scholar] [CrossRef]
- Rocscience. Available online: https://www.rocscience.com (accessed on 20 September 2021).
- Skrzypkowski, K. Determination of the Backfilling Time for the Zinc and Lead Ore Deposits with Application of the BackfillCAD Model. Energies 2021, 14, 3186. [Google Scholar] [CrossRef]
- Sivakugan, N.; Veenstra, R.; Naguleswaran, N. Underground Mine Backfilling in Australia Using Paste Fills and Hydraulic Fills. Int. J. Geosynth. Ground Eng. 2015, 1, 18. [Google Scholar] [CrossRef] [Green Version]
- Zhao, Y.; Taheri, A.; Karakus, M.; Deng, A.; Guo, L. The Effect of Curing under Applied Stress on the Mechanical Performance of Cement Paste Backfill. Minerals 2021, 11, 1107. [Google Scholar] [CrossRef]
- Han, B.; Zhang, S.; Sun, W. Impact of Temperature on the Strength Development of the Tailing-Waste Rock Backfill of a Gold Mine. Adv. Civ. Eng. 2019, 2019, 4379606. [Google Scholar] [CrossRef]
- Zhang, Q.; Chen, Q.; Wang, X. Cemented Backfilling Technology of Paste-Like Based on Aeolian Sand and Tailings. Minerals 2016, 6, 132. [Google Scholar] [CrossRef] [Green Version]
- Chu, S.H.; Chen, J.J.; Li, L.G.; Ng, P.L.; Kwan, A.K.H. Roles of packing density and slurry film thickness in synergistic effects of metakaolin and silica fume. Powder Technol. 2021, 387, 575–583. [Google Scholar] [CrossRef]
- Chu, S.H. Development of Infilled Cementitious Composites (ICC). Compos. Struct. 2021, 267, 113885. [Google Scholar] [CrossRef]
- Chu, S.H.; Jiang, Y.; Kwan, A.K.H. Effect of rigid fibres on aggregate packing. Constr. Build. Mater. 2019, 224, 326–335. [Google Scholar] [CrossRef]
- Li, Y. Comprehensive Benefit Evaluation of Cemented Paste Backfill in the Mining Industry. Adv. Civ. Eng. 2021, 2021, 6646671. [Google Scholar] [CrossRef]
















| Layer | Parameters | ||||||
|---|---|---|---|---|---|---|---|
| Tensile Strength (MPa) | Unit Weight (MN/m3) | Young’s Modulus, E, (MPa) | Poisson’s Ratio, ν | Cohesion, c, (MPa) | Friction Angle, ϕ, (°) | ||
| Grey dolomite | 3.5 | 0.0269 | 30,000 | 0.24 | 0.721 | 43.13 | |
| Dolomite with useful minerals of galena and sphalerite | 3.0 | 0.0264 | 14,700 | 0.22 | 0.52 | 40.641 | |
| Limestone | 2.5 | 0.0255 | 33,000 | 0.3 | 0.618 | 41.788 | |
| Backfill with cement content (%) | 5 | 0.155 | 0.0170 | 3613 | 0.2 | 0.039 | 10.898 |
| 10 | 0.485 | 0.0178 | 6960 | 0.18 | 0.073 | 17.224 | |
| 15 | 1.211 | 0.0185 | 12,027 | 0.16 | 0.116 | 23.606 | |
| Stage Number | Mining Strips without Backfill | Cement Content (%) | ||
|---|---|---|---|---|
| 5 | 10 | 15 | ||
| TD (mm) | TD (mm) | TD (mm) | TD (mm) | |
| I | 2.2 | - | - | - |
| II | - | 1.9 | 1.8 | 1.8 |
| III | - | 2.9 | 2.6 | 2.5 |
| IV | - | 2.6 | 1.8 | 1.8 |
Publisher’s Note: MDPI stays neutral with regard to jurisdictional claims in published maps and institutional affiliations. |
© 2021 by the author. Licensee MDPI, Basel, Switzerland. This article is an open access article distributed under the terms and conditions of the Creative Commons Attribution (CC BY) license (https://creativecommons.org/licenses/by/4.0/).
Share and Cite
Skrzypkowski, K. 3D Numerical Modelling of the Application of Cemented Paste Backfill on Displacements around Strip Excavations. Energies 2021, 14, 7750. https://doi.org/10.3390/en14227750
Skrzypkowski K. 3D Numerical Modelling of the Application of Cemented Paste Backfill on Displacements around Strip Excavations. Energies. 2021; 14(22):7750. https://doi.org/10.3390/en14227750
Chicago/Turabian StyleSkrzypkowski, Krzysztof. 2021. "3D Numerical Modelling of the Application of Cemented Paste Backfill on Displacements around Strip Excavations" Energies 14, no. 22: 7750. https://doi.org/10.3390/en14227750
APA StyleSkrzypkowski, K. (2021). 3D Numerical Modelling of the Application of Cemented Paste Backfill on Displacements around Strip Excavations. Energies, 14(22), 7750. https://doi.org/10.3390/en14227750
