Potential and Mechanisms for Stable C Storage in the Post-Mining Soils under Long-Term Study in Mitigation of Climate Change
Abstract
:1. Introduction
2. Materials and Methods
2.1. Characteristic of Post-Mining Soils and Sampling
2.2. Soil Chemical Analyses
2.3. SOC Chemical Composition
2.4. Statistical Analyses
3. Results
4. Discussion
4.1. Total Carbon, Nitrogen, Phosphorus
4.2. Carbon Composition in the Remediated Post-Mining Soils
4.3. The Influence of the Remediation Post-Mining Soils on the Stability of SOC
5. Conclusions
Author Contributions
Funding
Conflicts of Interest
References
- Hüblová, L.; Frouz, J. Contrasting effect of coniferous and broadleaf trees on soil carbon storage during reforestation of forest soils and afforestation of agricultural and post-mining soils. J. Environ. Manag. 2021, 290, 112567. [Google Scholar] [CrossRef] [PubMed]
- Kowalska, A.; Grobelak, A.; Almås, Å.R.; Singh, B.R. Effect of Biowastes on Soil Remediation, Plant Productivity and Soil Organic Carbon Sequestration: A Review. Energies 2020, 13, 5813. [Google Scholar] [CrossRef]
- Placek-Lapaj, A.; Grobelak, A.; Fijalkowski, K.; Singh, B.R.; Almås, Å.R.; Kacprzak, M. Post-Mining soil as carbon storehouse under polish conditions. J. Environ. Manag. 2019, 238, 307–314. [Google Scholar] [CrossRef] [PubMed]
- Sarvade, S.; Upadhyay, V.B.; Kumar, M.; Imran Khan, M. Soil and Water Conservation Techniques for Sustainable Agriculture. In Sustainable Agriculture, Forest and Environmental Management; Jhariya, M.K., Banerjee, A., Meena, R.S., Yadav, D.K., Eds.; Springer: Singapore, 2019; pp. 133–188. [Google Scholar] [CrossRef]
- Amoah-Antwi, C.; Kwiatkowska-Malina, J.; Thornton, S.F.; Fenton, O.; Malina, G.; Szara, E. Restoration of soil quality using biochar and brown coal waste: A review. Sci. Total Environ. 2020, 722, 137852. [Google Scholar] [CrossRef] [PubMed]
- Yu, H.; Zha, T.; Zhang, X.; Ma, L. Vertical distribution and influencing factors of soil organic carbon in the Loess Plateau, China. Sci. Total Environ. 2019, 693, 133632. [Google Scholar] [CrossRef] [PubMed]
- Manaye, A.; Negash, M.; Alebachew, M. Effect of degraded land rehabilitation on carbon stocks and biodiversity in semi-arid region of Northern Ethiopia. Forest. Sci. Technol. 2019, 15, 70–79. [Google Scholar] [CrossRef] [Green Version]
- Roy, E.D.; Willig, E.; Richards, P.D.; Martinelli, L.A.; Vazquez, F.F.; Pegorini, L.; Porder, S. Soil phosphorus sorption capacity after three decades of intensive fertilization in Mato Grosso, Brazil. Agric. Ecosyst. Environ. 2017, 249, 206–214. [Google Scholar] [CrossRef]
- Šimanský, V.; Juriga, M.; Jonczak, J.; Uzarowicz, Ł.; Stępień, W. How relationships between soil organic matter parameters and soil structure characteristics are affected by the long-term fertilization of a sandy soil. Geoderma 2019, 342, 75–84. [Google Scholar] [CrossRef]
- Mukhopadhyay, S.; Masto, R.E. Comparative evaluation of Cassia siamea and Albizia lebbeck for their potential to recover carbon and nutrient stocks in a chronosequence post-mining site. CATENA 2022, 208, 105726. [Google Scholar] [CrossRef]
- Dignac, M.F.; Derrien, D.; Barre, P.; Barot, S.; Cécillon, L.; Chenu, C.; Chevallier, T.; Freschet, G.T.; Garnier, P.; Guenet, B.; et al. Increasing soil carbon storage: Mechanisms, effects of agricultural practices and proxies. A review. Agron. Sustain. Dev. 2017, 37, 1–27. [Google Scholar] [CrossRef] [Green Version]
- Blume, H.-P.; Brümmer, G.W.; Horn, R.; Kandeler, E.; Kögel-Knabner, I.; Kretzschmar, R.; Stahr, K.; Wilke, B.-M. Schefer/Schachtschabel Lehrbuch der Bodenkunde; Springer Spektrum: Berlin/Heidelberg, Germany, 2016; Volume 16, ISBN 978-3-662-49960-3. [Google Scholar]
- Batjes, N.H. Harmonized soil property values for broad-scale modelling (WISE30sec) with estimates of global soil carbon stocks. Geoderma 2016, 269, 61–68. [Google Scholar] [CrossRef]
- Kanzler, M.; Böhm, C.; Freese, D. The development of soil organic carbon under young black locust (Robinia pseudoacacia L.) trees at a post-mining landscape in eastern Germany. New For. 2021, 52, 47–68. [Google Scholar] [CrossRef] [Green Version]
- Fox, J.F.; Campbell, J.E.; Acton, P.M. Carbon Sequestration by Reforesting Legacy Grasslands on Coal Mining Sites. Energies 2020, 13, 6340. [Google Scholar] [CrossRef]
- Egnér, H.; Riehm, H.; Domingo, W.R. Untersuchungen uber die chemische Bodenanalyse als Grundlage fur die Beurteilung des Nährstoffzustandes der Böden. II: Chemische Extraktionsmethoden zur Phosphor- und Kaliumbestimmung. Kungliga Lantbrukshögskolans Annaler 1960, 26, 199–215. [Google Scholar]
- Li, Z.; Huang, M.; Luo, N.; Wen, J.; Deng, C.; Yang, R. Spectroscopic study of the effects of dissolved organic matter compositional changes on availability of cadmium in paddy soil under different water management practices. Chemosphere 2019, 225, 414–423. [Google Scholar] [CrossRef] [PubMed]
- Guggenberger, G.; Zech, W.; Haumaier, L.; Christensen, B.T. Land-use effects on the composition of organic matter in particlesize separates of soils: II. CPMAS and solution 13C NMR analysis. Eur. J. Soil Sci. 1995, 46, 147–158. [Google Scholar] [CrossRef]
- Spaccini, R.; Mbagwu, J.S.C.; Conte, P.; Piccolo, A. Changes of humic substances characteristics from forested to cultivated soils in Ethiopia. Geoderma 2006, 132, 9–19. [Google Scholar] [CrossRef]
- Abakumov, E.; Lodygin, E.; Tomashunas, V. 13C NMR and ESR Characterization of Humic Substances Isolated from Soils of Two Siberian Arctic Islands. Int. J. Ecol. 2015, 2015, 390591. [Google Scholar] [CrossRef] [Green Version]
- Sun, X.; Tang, Z.; Ryan, M.G.; You, Y.; Sun, O.J. Changes in soil organic carbon contents and fractionations of forests along a climatic gradient in China. For. Ecosyst. 2019, 6, 1–12. [Google Scholar] [CrossRef] [Green Version]
- Helfrich, M.; Ludwig, B.; Buurman, P.; Flessa, H. Effect of land use on the composition of soil organic matter in density and aggregate fractions as revealed by solid-state 13C NMR spectroscopy. Geoderma 2006, 136, 331–341. [Google Scholar] [CrossRef]
- Mielnik, L.; Hewelke, E.; Weber, J.; Oktaba, L.; Jonczak, J.; Podlasiński, M. Changes in the soil hydrophobicity and structure of humic substances in sandy soil taken out of cultivation. Agric. Ecosyst. Environ. 2021, 319, 107554. [Google Scholar] [CrossRef]
- Li, S.; Lu, J.; Liang, G.; Wu, X.; Zhang, M.; Plougonven, E.; Wang, Y.; Gao, L.; Abdelrhman, A.A.; Song, X.; et al. Factors governing soil water repellency under tillage management: The role of pore structure and hydrophobic substances. Land Degrad. Dev. 2021, 32, 1046–1059. [Google Scholar] [CrossRef]
- Piccolo, A.; Mbagwu, J.S.C. Role of Hydrophobic Components of Soil Organic Matter in Soil Aggregate Stability. Soil Sci. Soc. Am. J. 1999, 63, 1801. [Google Scholar] [CrossRef]
- Lichner, L.; Hallett, P.D.; Feeney, D.S. Field measurement of soil water repellency and its impact on water flow under different vegetation. Biologia 2007, 62, 537–541. [Google Scholar] [CrossRef]
- Wang, X.; Teng, Y.; Ren, W.; Han, Y.; Wang, X.; Li, X. Soil bacterial diversity and functionality are driven by plant species for enhancing polycyclic aromatic hydrocarbons dissipation in soils. Sci. Total Environ. 2021, 797, 149204. [Google Scholar] [CrossRef] [PubMed]
- Kushwah, S.K.; Dotaniya, M.L.; Upadhyay, A.K. Assessing Carbon and Nitrogen Partition in Kharif Crops for Their Carbon Sequestration Potential. Natl. Acad. Sci. Lett. 2014, 37, 213–217. [Google Scholar] [CrossRef] [Green Version]
- Nguyen, T.B.; Shima, K. Composting of Sewage Sludge with a Simple Aeration Method and its Utilization as a Soil Fertilizer. Environ. Manag. 2019, 63, 455–465. [Google Scholar] [CrossRef]
- Singh, P.; Ghosh, A.; Kumar, S.; Chahar, S.; Pradhan, S.; Jat, S. Carbon dynamics of reclaimed coal mine soil: A chronosequence study in the Gevra mining area, Korba, Chhattisgarh, India. Carbon Dynamics. Authorea. 2020. [Google Scholar] [CrossRef]
- Placek, A.; Grobelak, A.; Hiller, J.; Stepień, W.; Jelonek, P.; Jaskulak, M.; Kacprzak, M. The role of organic and inorganic amendments in carbon sequestration and immobilization of heavy metals in degraded soils. J. Sustain. Dev. Energy Water Environ. Syst. 2017, 5, 509–517. [Google Scholar] [CrossRef] [Green Version]
- Nobile, C.M.; Bravin, M.N.; Becquer, T.; Paillat, J.-M. Phosphorus sorption and availability in an andosol after a decade of organic or mineral fertilizer applications: Importance of pH and organic carbon modifications in soil as compared to phosphorus accumulation. Chemosphere 2020, 239, 124709. [Google Scholar] [CrossRef] [PubMed]
- Xu, S.; Zhao, Q.; Qin, C.; Qin, M.; Lee, J.; Li, C.; Li, Y.; Yang, J. Effects of vegetation restoration on accumulation and translocation of heavy metals in post-mining areas. Land Degrad. Dev. 2020, 11, 397. [Google Scholar] [CrossRef]
- Hu, Y.-L.; Niu, Z.-X.; Zeng, D.-H.; Wang, C.-Y. Soil Amendment Improves Tree Growth and Soil Carbon and Nitrogen Pools in Mongolian Pine Plantations on Post-Mining Land in Northeast China. Land Degrad. Dev. 2015, 26, 807–812. [Google Scholar] [CrossRef]
- Wu, M.; Pang, D.; Chen, L.; Li, X.; Liu, L.; Liu, B.; Ma, L. Chemical composition of soil organic carbon and aggregate stability along an elevation gradient in Helan Mountains, northwest China. Ecol. Indic. 2021, 131, 108228. [Google Scholar] [CrossRef]
- Murano, H.; Suzuki, K.; Kayada, S.; Saito, M.; Yuge, N.; Arishiro, T.; Watanabe, A.; Isoi, T. Influence of humic substances and iron and aluminum ions on the sorption of acetamiprid to an arable soil. Sci. Total Environ. 2017, 615, 1478–1484. [Google Scholar] [CrossRef] [PubMed]
- Fontaine, S.; Barot, S.; Barré, P.; Bdioui, N.; Mary, B.; Rumpel, C. Stability of organic carbon in deep soil layers controlled by fresh carbon supply. Nature 2007, 450, 277–280. [Google Scholar] [CrossRef]
- Laudicina, V.A.; Novara, A.; Barbera, V.; Egli, M.; Badalucco, L. Long-Term Tillage and Cropping System Effects on Chemical and Biochemical Characteristics of Soil Organic Matter in a Mediterranean Semiarid Environment. Land Degrad. Dev. 2015, 26, 45–53. [Google Scholar] [CrossRef]
- Miller, J.J.; Owen, M.L.; Yang, X.M.; Drury, C.F.; Reynolds, W.D.; Chanasyk, D.S.; Naeth, M.A. Long-term cropping and fertilization influences soil organic carbon, soil water repellency, and soil hydrophobicity. Can. J. Soil Sci. 2020, 100, 1–11. [Google Scholar] [CrossRef]
- Olorunfemi, I.; Ogunrinde, T.; Fasinmirin, J. Soil Hydrophobicity: An Overview. J. Sci. Res. Rep. 2014, 3, 1003–1037. [Google Scholar] [CrossRef]
- Song, E.; Goyne, K.W.; Kremer, R.J.; Anderson, S.H.; Xiong, X. Certain Soil Surfactants Could Become a Source of Soil Water Repellency after Repeated Application. Nanomaterials 2021, 11, 2577. [Google Scholar] [CrossRef]
- Di, X.; Dong, H.; An, X.; Tang, H.; Xiao, B. The effects of soil sand contents on characteristics of humic acids along soil profiles. Acta Geochim. 2016, 35, 251–261. [Google Scholar] [CrossRef]
- Sarkar, B.; Mukhopadhyay, R.; Ramanayaka, S.; Bolan, N.; Ok, Y.S. The role of soils in the disposition, sequestration and decontamination of environmental contaminants. Philos. Trans. R. Soc. 2021, 376, 20200177. [Google Scholar] [CrossRef] [PubMed]
- Placek, A.; Grobelak, A.; Kacprzak, M. Improving the phytoremediation of heavy metals contaminated soil by use of sewage sludge. Int. J. Phytoremediation 2016, 18, 605–618. [Google Scholar] [CrossRef] [PubMed]
- Lipczynska-Kochany, E. Humic substances, their microbial interactions and effects on biological transformations of organic pollutants in water and soil: A review. Chemosphere 2018, 202, 420–437. [Google Scholar] [CrossRef] [PubMed]
- Pinos, N.Q.; Louro Berbara, R.L.; Elias, S.S.; van Tol de Castro, T.A.; García, A.C. Combination of Humic Substances and Arbuscular Mycorrhizal Fungi Affecting Corn Plant Growth. J. Environ. Qual. 2019, 48, 1594–1604. [Google Scholar] [CrossRef]
- Guo, X.-X.; Liu, H.; Wu, S.-B. Humic substances developed during organic waste composting: Formation mechanisms, structural properties, and agronomic functions. Sci. Total Environ. 2019, 662, 501–510. [Google Scholar] [CrossRef] [PubMed]
- Maji, D.; Misra, P.; Singh, S.; Kalra, A. Humic acid rich vermicompost promotes plant growth by improving microbial community structure of soil as well as root nodulation and mycorrhizal colonization in the roots of Pisum sativum. Appl. Soil Ecol. 2017, 110, 97–108. [Google Scholar] [CrossRef]
- Gerke, J. Concepts and Misconceptions of Humic Substances as the Stable Part of Soil Organic Matter: A Review. Agronomy 2018, 8, 76. [Google Scholar] [CrossRef] [Green Version]
- Zhang, B.; Peng, X.H.; Zhao, Q.G.; Hallett, P.D. Eluviation of dissolved organic carbon under wetting and drying and its influence on water infiltration in degraded soils restored with vegetation. Eur. J. Soil Sci. 2004, 55, 725–737. [Google Scholar] [CrossRef]
- Rumpel, C.; Knicker, H.; Kögel-Knabner, I.; Skjemstad, J.O.; Hüttl, R.F. Types and chemical composition of organic matter in reforested lignite-rich mine soils. Geoderma 1998, 86, 123–142. [Google Scholar] [CrossRef]






| Soil | Area of the Recultivated Soil [ha] | Year of the Remediation Beginning [Year] | The Reclamation Period at the Time of Sampling [Years] |
|---|---|---|---|
| S1A | 4.0 | 2019 | 1 |
| S1B | 10.0 | 2014 | 6 |
| S1C | 3.5 | 2008 | 12 |
| S1D | 6.0 | 2002 | 18 |
| S2A | 6.0 | 2019 | 1 |
| S2B | 3.0 | 2013 | 7 |
| S2C | 5.5 | 2007 | 13 |
| S2D | 7.0 | 2002 | 18 |
| Soil | Total C [g kg−1 d.m.] | P Total [mg 100g−1 d.m.] | N Kjeldahl [g kg−1 d.m.] | pH (KCl) | pH (H2O) |
|---|---|---|---|---|---|
| S1A | 13.54 ± 1.431 a | 1.11 ± 0.012 a | 5.47 ± 0.032 a | 7.47 ± 0.109 a | 7.41 ± 0.096 a |
| S1B | 14.40 ± 0.667 b | 0.76 ± 0.074 b | 7.98 ± 0.010 b | 7.32 ± 0.143 a | 7.33 ± 0.087 a |
| S1C | 14.06 ± 0.530 ab | 1.27 ± 0.047 a | 7.40 ± 0.039 c | 7.44 ± 0.126 a | 7.58 ± 0.132 b |
| S1D | 17.79 ± 0.833 c | 0.97 ± 0.272 ab | 7.90 ± 0.020 b | 7.33 ± 0.053 a | 7.38 ± 0.082 a |
| S2A | 3.59 ± 0.264 A | 7.51 ± 0.076 A | 4.84 ± 0.020 A | 7.23 ± 0.111 A | 7.14 ± 0.123 A |
| S2B | 2.40 ± 0.246 B | 4.20 ± 0.257 B | 1.12 ± 0.039 B | 7.04 ± 0.121 A | 7.00 ± 0.055 A |
| S2C | 2.58 ± 0.646 B | 1.91 ± 0.012 C | 1.18 ± 0.039 B | 7.22 ± 0.022 A | 6.88 ± 0.131 A |
| S2D | 6.89 ± 0.104 C | 6.18 ± 0.338 D | 2.94 ± 0.020 C | 7.34 ± 0.054 A | 7.57 ± 0.156 B |
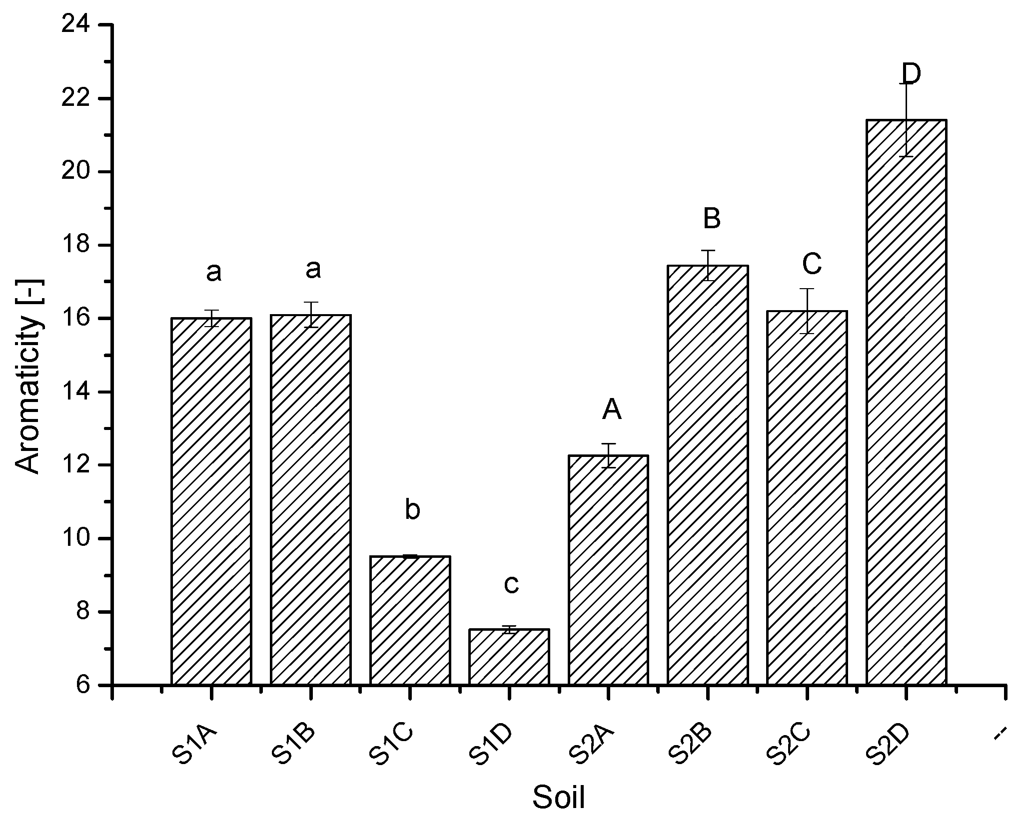
| Soil | Alkyl C (0–45 ppm) | O-Alkyl C (45–110 ppm) | Aromatic C (110–160 ppm) | Carbonyl C (160–220 ppm) | |||||||
|---|---|---|---|---|---|---|---|---|---|---|---|
| Alkyl C | N-Alkyl/Methoxyl C | Carbohydrate C | diO-Alkyl C | Total | Aryl C | O-Aryl C | Total | Carboxyl/Amide C | Ketone/Aldehyde | Total | |
| S1A | 24.4 ± 0.92 | 5.8 ± 0.03 | 27.6 ± 0.94 | 10.8 ± 0.31 | 44.2 ± 1.03 | 12.3 ± 0.82 | 3.7 ± 0.02 | 16.0 ± 0.95 | 10.1 ± 0.03 | 5.3 ± 0.01 | 15.4 ± 0.98 |
| S1B | 30.1 ± 0.85 | 7.0 ± 0.02 | 28.0 ± 1.22 | 8.4 ± 0.03 | 43.4 ± 1.22 | 12.7 ± 0.73 | 3.4 ± 0.04 | 16.1 ± 0.89 | 7.4 ± 0.05 | 2.9 ± 0.01 | 10.4 ± 0.93 |
| S1C | 37.1 ± 0.93 | 9.1 ± 0.08 | 27.9 ± 2.03 | 7.8 ± 0.05 | 44.9 ± 0.94 | 7.7 ± 0.044 | 2.1 ± 0.02 | 9.8 ± 0.64 | 7.3 ± 0.06 | 0.9 ± 0.01 | 11.2 ± 0.65 |
| S1D | 33.8 ± 1.22 | 5.4 ± 0.03 | 28.3 ± 1.29 | 13.9 ± 0.02 | 47.5 ± 2.11 | 7.0 ± 0.12 | 0.3 ± 0.01 | 7.3 ± 0.13 | 8.30 ± 0.03 | 3.1 ± 0.01 | 8.5 ± 0.031 |
| S2A | 28.4 ± 0.83 | 5.2 ± 0.02 | 24.0 ± 1.04 | 16.7 ± 0.04 | 45.9 ± 1.76 | 10.7 ± 1.00 | 2.2 ± 0.02 | 13.0 ± 0,.93 | 10.4 ± 0.98 | 2.4 ± 0.01 | 18.8 ± 1.03 |
| S2B | 29.0 ± 2.02 | 4.6 ± 0.06 | 23.0 ± 0.95 | 11.0 ± 0.01 | 28.6 ± 0.98 | 12.3 ± 0.93 | 3.5 ± 0.01 | 15.7 ± 0.74 | 10.9 ± 0.38 | 5.8 ± 0.02 | 16.7 ± 0.954 |
| S2C | 35.1 ± 1.22 | 5.8 ± 0.03 | 20.6 ± 0.84 | 11.2 ± 0.01 | 37.6 ± 2.11 | 12.3 ± 0.73 | 3.8 ± 0.01 | 16.2 ± 1.09 | 6.5 ± 0.03 | 4.6 ± 0.03 | 11.1 ± 0.74 |
| S2D | 46.9 ± 2.31 | 7.6 ± 0.05 | 9.3 ± 0.05 | 5.0 ± 0.02 | 21.9 ± 1.03 | 16.1 ± 0.99 | 5.3 ± 0.02 | 21.4 ± 1.21 | 6.5 ± 0.01 | 3.3 ± 0.02 | 9.8 ± 0.36 |
Publisher’s Note: MDPI stays neutral with regard to jurisdictional claims in published maps and institutional affiliations. |
© 2021 by the authors. Licensee MDPI, Basel, Switzerland. This article is an open access article distributed under the terms and conditions of the Creative Commons Attribution (CC BY) license (https://creativecommons.org/licenses/by/4.0/).
Share and Cite
Kowalska, A.; Kucbel, M.; Grobelak, A. Potential and Mechanisms for Stable C Storage in the Post-Mining Soils under Long-Term Study in Mitigation of Climate Change. Energies 2021, 14, 7613. https://doi.org/10.3390/en14227613
Kowalska A, Kucbel M, Grobelak A. Potential and Mechanisms for Stable C Storage in the Post-Mining Soils under Long-Term Study in Mitigation of Climate Change. Energies. 2021; 14(22):7613. https://doi.org/10.3390/en14227613
Chicago/Turabian StyleKowalska, Aneta, Marek Kucbel, and Anna Grobelak. 2021. "Potential and Mechanisms for Stable C Storage in the Post-Mining Soils under Long-Term Study in Mitigation of Climate Change" Energies 14, no. 22: 7613. https://doi.org/10.3390/en14227613
APA StyleKowalska, A., Kucbel, M., & Grobelak, A. (2021). Potential and Mechanisms for Stable C Storage in the Post-Mining Soils under Long-Term Study in Mitigation of Climate Change. Energies, 14(22), 7613. https://doi.org/10.3390/en14227613

