Characteristics of Pore Structure and Gas Content of the Lower Paleozoic Shale from the Upper Yangtze Plate, South China
Abstract
1. Introduction
2. Geological Setting
3. Material and Methods
3.1. Sample Collection and Geochemical Analyses
3.2. SEM/FE–SEM Experiment
3.3. PCAS Software Principle and Parameters
3.4. Fluid Injection Technologies
3.5. Heterogeneity Analysis
4. Results
4.1. Geochemical Characteristics and Mineral Composition Analyses
4.2. Pore Classification and Porosity
4.3. Overall Pore Structure Analysis
4.3.1. CO2 and N2 GAS Adsorption
4.3.2. The Pore Structure Parameters
4.3.3. Description of PSD
4.3.4. Fractal Dimensions from N2 Adsorption Isotherms
4.4. OM Pore Structure Analysis
4.5. Methane Adsorption Capacity
5. Discussion
5.1. Control Factors of Pore Structure
5.2. Correlations between Pore Structure and Fractal Dimension
5.3. Influence Factors of OM Pore Structure
5.4. Controlling Factors of Shale Gas Content
6. Conclusions
- (1)
- There are four main types of pore, including interP pore, intraP pore, OM pores and micro-fracture. Inkbottle-shaped, wedge-shaped, cylindrical, and slit-shaped tablets pores are the major pore morphology composition. The development of OM pores and porosity of the Lower Silurian is better than that of the Lower Cambrian.
- (2)
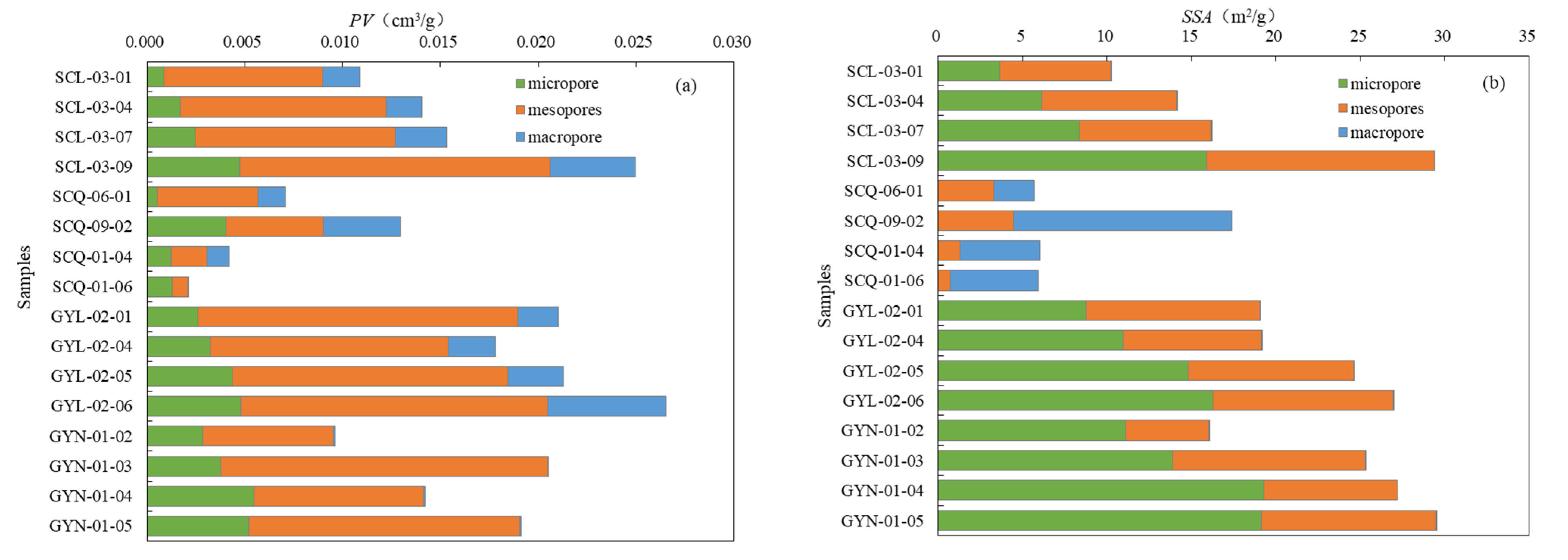
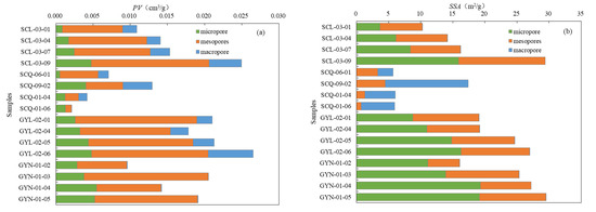
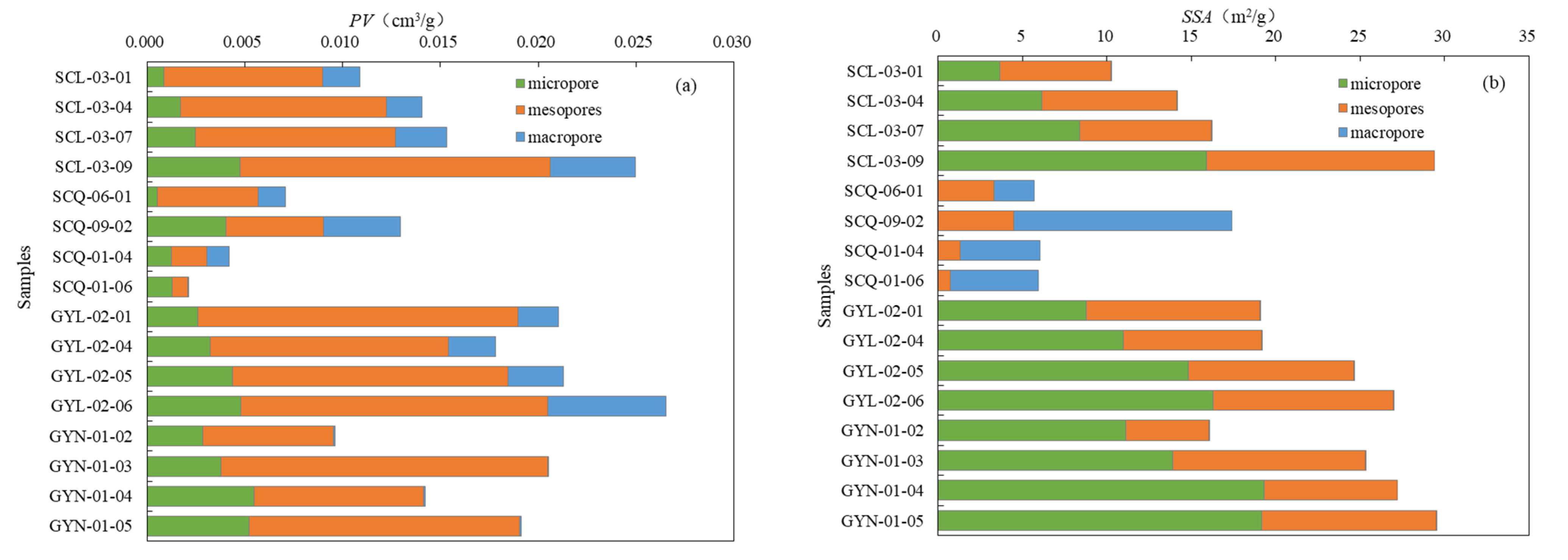
- The micropores of the Lower Cambrian shale provide major PV and SSA, accounting for 99.4% in Qiongzhusi Fm from southern Sichuan Basin and 80.6% in Niutitang Fm from northern Guizhou province, respectively. In addition to micropores, mesopores also provide the main PV and SSA of the Lower Silurian shale, accounting for more than 83.4%. Fractal dimensions representing pore structure complexity and heterogeneity gradually increase with the increase in PV and SSA.
- (3)
- There is a significant positive linear relationship between TOC content and micropores PV and SSA of the Lower Paleozoic shale, and the correlation of the Lower Silurian is more obvious than that of the Lower Cambrian. The development degree of shale pores is better with the increase in Ro. The plane porosity of OM pores increases with the increase in TOC when TOC of <5%. The plane porosity of OM pores is positively correlated with clay minerals content and negatively correlated with brittle minerals content.
- (4)
- The adsorption gas content of the Lower Silurian and Lower Cambrian shale are 1.51–3.86 m3/t (average, 2.31 m3/t) and 0.35–2.38 m3/t (average, 1.36 m3/t). TOC, clay minerals and porosity are the main controlling factors for the difference in shale gas content between Lower Silurian and Lower Cambrian. Probability entropy and OM plane porosity of the Lower Silurian are higher than those of Lower Cambrian shale, but form factor and roundness is smaller.
Author Contributions
Funding
Institutional Review Board Statement
Informed Consent Statement
Data Availability Statement
Acknowledgments
Conflicts of Interest
References
- Wang, Q.; Chen, X.; Jha, A.N.; Rogers, H. Natural gas from shale formation—The evolution, evidences and challenges of shale gas revolution in United States. Renew. Sustain. Energy Rev. 2014, 30, 1–28. [Google Scholar] [CrossRef]
- Khan, I.; Zhong, N.N.; Luo, Q.Y.; Ai, J.Y.; Yao, L.P.; Luo, P. Maceral composition and origin of organic matter input in Neoproterozoic-Lower Cambrian organic-rich shales of Salt Range Formation, upper Indus Basin, Pakistan. Int. J. Coal Geol. 2020, 217, 103319. [Google Scholar] [CrossRef]
- Richard, M.; Pollastro, D.M.; Jarvie, R. Geologic framework of the Mississippian Barnett Shale, Barnett-Paleozoic total petroleum system, Bend archndashFort Worth Basin, Texas. AAPG Bull. 2007, 4, 405–436. [Google Scholar]
- Potter, C.J. Paleozoic shale gas resources in the Sichuan Basin, China. AAPG Bull. 2018, 102, 987–1009. [Google Scholar] [CrossRef]
- Chalmers, G.R.L.; Bustin, R.M. The organic matter distribution and methane capacity of the Lower Cretaceous strata of Northeastern British Columbia, Canada. Int. J. Coal Geol. 2007, 70, 223–239. [Google Scholar] [CrossRef]
- Curtis, J.B. Fractured shale-gas systems. AAPG Bull. 2002, 86, 1921–1938. [Google Scholar]
- Liu, S.G.; Jiao, K.; Zhang, J.C. Research progress on the pore characteristics of deep shale gas reservoirs: An example from the Lower Paleozoic marine shale in the Sichuan Basin. Nat. Gas Ind. 2021, 41, 29–41. [Google Scholar]
- Zou, C.N.; Yang, Z.; Dai, J.X.; Dong, D.Z.; Zhang, B.M.; Wang, Y.M.; Deng, S.H.; Huang, J.L.; Liu, K.Y.; Yang, C.; et al. The characteristics and significance of conventional and unconventional Siniane Silurian gas systems in the Sichuan Basin, central China. Mar. Pet. Geol. 2015, 64, 386–402. [Google Scholar] [CrossRef]
- Jarvie, D.M.; Hill, R.J.; Ruble, T.E.; Pollastro, R.M. Unconventional shale-gas systems: The Mississippian Barnett Shale of north-central Texas as one model for thermogenic shale-gas assessment. AAPG Bull. 2007, 91, 475–499. [Google Scholar] [CrossRef]
- Loucks, R.G.; Reed, R.M.; Ruppel, S.C.; Hammes, U. Spectrum of pore types and networks in mudrocks and a descriptive classification for matrix-related mudrock pores. AAPG Bull. 2012, 96, 1071–1098. [Google Scholar] [CrossRef]
- Cavelan, A.; Boussafir, M.; Rozenbaum, O.; Laggoun-Défarge, F. Organic petrography and pore structure characterization of low-mature and gas-mature marine organic-rich mudstones: Insights into porosity controls in gas shale systems. Mar. Pet. Geol. 2019, 103, 331–350. [Google Scholar] [CrossRef]
- Yang, C.; Zhang, J.C.; Tang, X.; Ding, J.H.; Zhao, Q.R.; Dang, W.; Chen, H.Y.; Su, Y.; Li, B.; Lu, D.F. Comparative study on micro-pore structure of marine, terrestrial, and transitional shales in key areas, China. Int. J. Coal Geol. 2017, 171, 76–92. [Google Scholar] [CrossRef]
- Fishman, N.S.; Hackley, P.C.; Lowers, H.A.; Hill, R.J.; Egenhoff, S.O.; Eberl, D.D.; Blum, A.E. The nature of porosity in organic–rich mudstones of the Upper Jurassic Kimmeridge Clay Formation, North Sea, offshore United Kingdom. Int. J. Coal Geol. 2012, 103, 32–50. [Google Scholar] [CrossRef]
- Yuan, Y.J.; Rezaee, R. Comparative Porosity and Pore Structure Assessment in Shales: Measurement Techniques, Influencing Factors and Implications for Reservoir Characterization. Energies 2019, 12, 2094. [Google Scholar] [CrossRef]
- Liu, Y.M.; Shen, B.; Yang, Z.Q.; Zhao, P.Q. Pore Structure Characterization and the Controlling Factors of the Bakken Formation. Energies 2018, 11, 2879. [Google Scholar] [CrossRef]
- Schieber, J. SEM Observations on ion-milled samples of Devonian Black Shales. AAPG Bull. 2013, 32, 153–171. [Google Scholar]
- Suchy, V.; Sykorova, I.; Stejskal, M.; Safanda, J.; Machovic, V.; Novotna, M. Dispersed organic matter from Silurian shales of the Barrandian Basin, Czech Republic: Optical properties, chemical composition and thermal maturity. Int. J. Coal Geol. 2002, 53, 1–25. [Google Scholar] [CrossRef]
- Bahadur, J.; Ruppert, L.F.; Pipich, V.; Sakurovs, R.; Melnichenko, Y.B. Porosity of the Marcellus Shale: A contrast matching small-angle neutron scattering study. Int. J. Coal Geol. 2018, 188, 156–164. [Google Scholar] [CrossRef]
- Bernard, S.; Horsfield, B.; Schulz, H.; Wirth, R.; Schreiber, A.; Sherwood, N. Geochemical evolution of organic-rich shales with increasing maturity: A STXM and TEM study of the Posidonia Shale (Lower Toarcian, northern Germany). Mar. Pet. Geol. 2012, 31, 70–89. [Google Scholar] [CrossRef]
- Clarkson, C.R.; Solano, N.; Bustin, R.M.; Bustin, A.M.M.; Chalmers, G.R.L.; He, L.; Melnichenko, Y.B.; Radliński, A.P.; Blach, T.P. Pore structure characterization of North American shale gas reservoirs using USANS/SANS, gas adsorption, and mercury intrusion. Fuel 2013, 103, 606–616. [Google Scholar] [CrossRef]
- Yao, S.P.; Jiao, K.; Zhang, K.; Hu, W.X.; Hai, D.; Li, M.C.; Pei, W.M. An atomic force microscopy study of coal nanopore structure. Chin. Sci. Bull. 2011, 56, 2706–2712. [Google Scholar] [CrossRef]
- Zhao, J.H.; Jin, Z.J.; Hu, Q.H.; Jin, Z.K.; Barber, T.J.; Zhang, Y.X.; Bleuel, M. Integrating SANS and fluid-invasion methods to characterize pore structure of typical American shale oil reservoirs. Sci. Rep. 2017, 7, 15413. [Google Scholar] [CrossRef]
- Zhao, D.F.; Guo, Y.H.; Wang, G.; Jiao, W.; Hui, Y. Quantitative characterization of nano-scale poresin shale reservoirs of Wufeng-Longmaxi formation based on image processing. Fresenius Environ. Bull. 2020, 29, 3992–3999. [Google Scholar]
- Zhang, J.Z.; Li, X.Q.; Wei, Q.; Sun, K.X.; Zhang, G.W.; Wang, F.Y. Characterization of Full-Sized Pore Structure and Fractal Characteristics of Marine-Continental Transitional Longtan Formation Shale of Sichuan Basin, South China. Energy Fuels 2017, 31, 10490–10504. [Google Scholar] [CrossRef]
- Medina-Rodriguez, B.X.; Alvarado, V. Use of Gas Adsorption and Inversion Methods for Shale Pore Structure Characterization. Energies 2021, 14, 2880. [Google Scholar] [CrossRef]
- Chen, S.B.; Zhu, Y.M.; Wang, H.Y.; Liu, H.L.; Wei, W.; Fang, J.H. Shale gas reservoir characterisation: A typical case in the southern Sichuan Basin of China. Energy 2011, 36, 6609–6616. [Google Scholar] [CrossRef]
- Zhang, M.; Zhong, Q.; Li, G.F.; Fu, X.H.; Duan, C.C.; Liu, H.H.; Xu, H.J. Fluid distribution and pore structure multifractal characteristics analysis of coal measure mudstone. J. Nat. Gas Sci. Eng. 2021, 88, 103810. [Google Scholar]
- Pomonis, P.J.; Tsaousi, E.T. Frenkel-Halsey-Hill Equation, Dimensionality of Adsorption, and Pore Anisotropy. Langmuir 2009, 25, 9986–99941. [Google Scholar] [CrossRef]
- Wu, J.; Liang, C.; Hu, Z.Q.; Yang, R.C.; Xie, J.; Wang, R.Y.; Zhao, J.H. Sedimentation mechanisms and enrichment of organic matter in the Ordovician Wufeng Formation-Silurian Longmaxi Formation in the Sichuan Basin. Mar. Pet. Geol. 2019, 101, 556–565. [Google Scholar] [CrossRef]
- Chen, L.; Lu, Y.; Jiang, S.; Li, J.; Guo, T.; Luo, C. Heterogeneity of the Lower Silurian Longmaxi marine shale in the southeast Sichuan Basin of China. Mar. Pet. Geol. 2015, 65, 232–246. [Google Scholar] [CrossRef]
- Jiang, Y.; Chen, L.; Qi, L.; Luo, M.; Chen, X.; Tao, Y.; Wang, Z. Characterization of the Lower Silurian Longmaxi marine shale in Changning area in the south Sichuan Basin, China. Geol. J. 2018, 53, 1656–1664. [Google Scholar] [CrossRef]
- Nie, H.; Jin, Z.; Zhang, J. Characteristics of three organic matter pore types in the Wufeng-Longmaxi Shale of the Sichuan Basin, Southwest China. Sci. Rep. 2018, 8, 7014. [Google Scholar] [CrossRef] [PubMed]
- Wang, Q.; Lu, H.; Wang, T.; Liu, D.; Peng, P.; Zhan, X.; Li, X. Pore characterization of Lower Silurian shale gas reservoirs in the Middle Yangtze region, central China. Mar. Pet. Geol. 2018, 89, 14–26. [Google Scholar] [CrossRef]
- Xue, H.; Jiang, P.; Xu, R.; Zhao, B.; Shangwen, Z. Characterization of the reservoir in Lower Silurian and Lower Cambrian shale of south Sichuan Basin, China. J. Nat. Gas Sci. Eng. 2016, 29, 150–159. [Google Scholar] [CrossRef]
- Li, A.; Ding, W.; He, J.; Dai, P.; Yin, S.; Xie, F. Investigation of pore structure and fractal characteristics of organic-rich shale reservoirs: A case study of Lower Cambrian Qiongzhusi formation in Malong block of eastern Yunnan Province, South China. Mar. Pet. Geol. 2016, 70, 46–57. [Google Scholar] [CrossRef]
- Li, X.Q.; Li, Y.Y.; Li, J.H.; Zou, X.Y.; Guo, M.; Wang, Z.; Zhang, X.Q.; Wang, F.Y. Characteristics of pore structures from the Lower Paleozoic shale gas reservoirs in northern Guizhou, South China. J. Nat. Gas Sci. Eng. 2020, 5, 241–253. [Google Scholar] [CrossRef]
- Chen, S.B.; Han, Y.F.; Fu, C.Q.; Zhang, H.; Zhu, Y.M.; Zuo, Z.X. Micro and nano-size pores of clay minerals in shale reservoirs: Implication for the accumulation of shale gas. Sediment. Geol. 2016, 342, 180–190. [Google Scholar] [CrossRef]
- Khan, M.Z.; Feng, Q.; Zhang, K.; Guo, W. Biogenic silica and organic carbon fluxes provide evidence of enhanced marine productivity in the Upper Ordovician-Lower Silurian of South China. Palaeogeogr. Palaeoclimatol. Palaeoecol. 2019, 534, 109278. [Google Scholar] [CrossRef]
- Curtis, M.E.; Cardott, B.J.; Sondergeld, C.H.; Rai, C.S. Development of organic porosity in the Woodford Shale with increasing thermal maturity. Int. J. Coal Geol. 2012, 103, 26–31. [Google Scholar] [CrossRef]
- Yan, D.; Li, S.; Fu, H.; Jasper, D.M.; Zhou, S.; Yang, X.; Zhang, B.; Mangi, H.N. Mineralogy and geochemistry of Lower Silurian black shales from the Yangtze platform, South China. Int. J. Coal Geol. 2021, 237, 103706. [Google Scholar] [CrossRef]
- Chen, Q.; Zhang, J.; Tang, X.; Li, W.; Li, Z. Relationship between pore type and pore size of marine shale: An example from the Sinian-Cambrian formation, upper Yangtze region, South China. Int. J. Coal Geol. 2016, 158, 13–28. [Google Scholar] [CrossRef]
- Han, Y.; Ran, B.; Liu, S.; Li, Z.; Ye, Y.; Sun, W.; Yang, D.; Wang, S. Main controlling factors of organic-matter enrichment in the Ordovician-Silurian marine organic-rich mudrock in the Yangtze Block, South China. Mar. Pet. Geol. 2021, 127, 104959. [Google Scholar] [CrossRef]
- Liu, L.; Tang, S.H.; Xi, Z.D. Total Organic Carbon Enrichment and Its Impact on Pore Characteristics: A Case Study from the Niutitang Formation Shales in Northern Guizhou. Energies 2019, 12, 1480. [Google Scholar] [CrossRef]
- Zhao, W.; Li, J.; Yang, T.; Wang, S.; Huang, J. Geological difference and its significance of marine shale gases in South China. Pet. Explor. Dev. 2016, 43, 547–559. [Google Scholar] [CrossRef]
- Zhang, K.; Song, Y.; Jiang, S.; Jiang, Z.; Jia, C.; Huang, Y.; Liu, X.; Wen, M.; Wang, X.; Li, X.; et al. Shale gas accumulation mechanism in a syncline setting based on multiple geological factors: An example of southern Sichuan and the Xiuwu Basin in the Yangtze Region. Fuel 2019, 241, 468–476. [Google Scholar] [CrossRef]
- Li, Q.; Pang, X.; Tang, L.; Chen, G.; Shao, X.; Jia, N. Occurrence features and gas content analysis of marine and continental shales: A comparative study of Longmaxi Formation and Yanchang Formation. J. Nat. Gas Sci. Eng. 2018, 56, 504–522. [Google Scholar] [CrossRef]
- Li, Z.; Oyediran, I.A.; Huang, R.; Hu, F.; Du, T.; Hu, R.; Li, X. Study on pore structure characteristics of marine and continental shale in China. J. Nat. Gas Sci. Eng. 2016, 33, 143–152. [Google Scholar] [CrossRef]
- Wang, F.; Guan, J.; Feng, W.; Bao, L. Evolution of overmature marine shale porosity and implication to the free gas volume. Pet. Explor. Dev. 2013, 40, 819–824. [Google Scholar] [CrossRef]
- Dai, J.; Zou, C.; Liao, S.; Dong, D.; Ni, Y.; Huang, J.; Wu, W.; Gong, D.; Huang, S.; Hu, G. Geochemistry of the extremely high thermal maturity Longmaxi shale gas, southern Sichuan Basin. Org. Geochem. 2014, 74, 3–12. [Google Scholar] [CrossRef]
- Feng, Z.; Dong, D.; Tian, J.; Qiu, Z.; Wu, W.; Zhang, C. Geochemical characteristics of Longmaxi Formation shale gas in the Weiyuan area, Sichuan Basin, China. J. Pet. Sci. Eng. 2018, 167, 538–548. [Google Scholar] [CrossRef]
- Wei, G.Z.; Zhu, D.S.; Liu, W.X.; Li, X.W.; Wang, P.; Xie, Z.H.; Wang, W.Q.; Jin, J.C. The Oil and Gas Industry Standard of the People’s Republic of China: Analytical Method of Rock Sample by Scanning Electron Microscope (SY/T 5162–2014); Petroleum Industry Press: Beijing, China, 2014. [Google Scholar]
- Liu, C.; Shi, B.; Zhou, J.; Tang, C. Quantification and characterization of microporosity by image processing, geometric measurement and statistical methods: Application on SEM images of clay materials. Appl. Clay Sci. 2011, 54, 97–106. [Google Scholar] [CrossRef]
- Tan, L.X.; Liu, X.; Cai, Y.X.; Wang, L.; He, W.W.; Gao, Y.; Zhou, S.H.; Chen, J.M.; Gao, J.; Yan, X.Y.; et al. Determination of the Specific Surface Area of Solids by Gas Adsorption Using the BET Method (GB/T 19587–2017); Standards Press of China: Beijing, China, 2017. [Google Scholar]
- Liu, X.; Xiong, J.; Liang, L. Investigation of pore structure and fractal characteristics of organic-rich Yanchang formation shale in central China by nitrogen adsorption/desorption analysis. J. Nat. Gas Sci. Eng. 2015, 22, 62–72. [Google Scholar] [CrossRef]
- Wei, Q.; Li, X.Q.; Hu, B.L.; Zhang, X.Q.; Zhang, J.Z.; He, Y.K.; Zhang, Y.C.; Zhu, W.W. Reservoir characteristics and coalbed methane resource evaluation of deep-buried coals: A case study of the No.13−1 coal seam from the Panji Deep Area in Huainan Coalfield, Southern North China. J. Pet. Sci. Eng. 2019, 179, 867–884. [Google Scholar] [CrossRef]
- Zhang, Q.L.; Zhang, S.A. Experimental Method of High-Pressure Isothermal Adsorption to Coal (GB/T 19560–2008); Standards Press of China: Beijing, China, 2008. [Google Scholar]
- Sakhaee-Pour, A.; Li, W.F.; Li, W. Fractal dimensions of shale. J. Nat. Gas Sci. Eng. 2016, 30, 578–582. [Google Scholar] [CrossRef]
- Hazra, B.; Wood, D.A.; Vishal, V.; Varma, A.K.; Sakha, D.; Singh, A.K. Porosity controls and fractal disposition of organic-rich Permian shales using low-pressure adsorption techniques. Fuel 2018, 220, 837–848. [Google Scholar] [CrossRef]
- Simon, R.E.; Johnson, S.C.; Khatib, O.; Raschke, M.B.; Budd, D.A. Correlative nano-spectroscopic imaging of heterogeneity in migrated petroleum in unconventional reservoir pores. Fuel 2021, 300, 120836. [Google Scholar] [CrossRef]
- Shao, X.H.; Pang, X.Q.; Li, Q.W.; Wang, P.W.; Chen, D.; Shen, W.B.; Zhao, Z.F. Pore structure and fractal characteristics of organic-rich shales: A case study of the Lower Silurian Longmaxi shales in the Sichuan Basin, SW China. Mar. Pet. Geol. 2017, 80, 192–202. [Google Scholar] [CrossRef]
- Ding, W.; Li, C.; Li, C.; Xu, C.; Jiu, K.; Zeng, W.; Wu, L. Fracture development in shale and its relationship to gas accumulation. Geosci. Front. 2012, 3, 97–105. [Google Scholar] [CrossRef]
- Katz, B.J.; Arango, I. Organic porosity: A geochemist’s view of the current state of understanding. Org. Geochem. 2018, 123, 1–16. [Google Scholar] [CrossRef]
- Wei, Q.; Hu, B.L.; Li, X.Q.; Feng, S.B.; Xu, H.J.; Zheng, K.G.; Liu, H.H. Implications of geological conditions on gas content and geochemistry of deep coalbed methane reservoirs from the Panji Deep Area in the Huainan Coalfield, China. J. Nat. Gas Sci. Eng. 2021, 85, 103712. [Google Scholar] [CrossRef]
- Zhang, J.Z.; Li, X.Q.; Xie, Z.Y.; Li, J.; Zhang, X.Q.; Sun, K.X.; Wang, F.Y. Characterization of microscopic pore types and structures in marine shale: Examples from the Upper Permian Dalong formation, Northern Sichuan Basin, South China. J. Nat. Gas Sci. Eng. 2018, 59, 326–342. [Google Scholar] [CrossRef]
- Chen, J.; Xiao, X. Evolution of nanoporosity in organic-rich shales during thermal maturation. Fuel 2014, 129, 173–181. [Google Scholar] [CrossRef]
- Wang, P.F.; Jiang, Z.X.; Chen, L.; Yin, L.S.; Li, Z.; Zhang, C.; Tang, X.L.; Wang, G.Z. Pore structure characterization for the Longmaxi and Niutitang shales in the Upper Yangtze Platform, South China: Evidence from focused ion beameHe ion microscopy, nano–computerized tomography and gas adsorption analysis. Mar. Pet. Geol. 2016, 77, 1323–1337. [Google Scholar] [CrossRef]
- Chen, M.F.; He, S.Y.; Yi, J.Z.; Zhang, B.Q.; Shu, Z.G.; He, C.C.; Yang, R.; Dong, T. Development characteristics of organic pore in shale gas reservoir of Wufeng Formation–Member1 of Longmaxi Formation in Pingqiao block, Fuling shale gas field. Acta Pet. Sin. 2019, 40, 423–433. [Google Scholar]
- Zhang, Y.Y.; Jiang, S.; He, Z.L.; Li, Y.C.; Xiao, D.S.; Chen, G.H.; Zhao, J.H. Coupling between Source Rock and Reservoir of Shale Gas in Wufeng-Longmaxi Formation in Sichuan Basin, South China. Energies 2021, 14, 2679. [Google Scholar] [CrossRef]
- Wang, Y.M.; Dong, D.Z.; Cheng, X.Z.; Huang, J.L.; Wang, S.F.; Wang, S.Q. Electric property evidences of the carbonification of organic matters in marine shales and its geologic significance: A case of the Lower Cambrian Qiongzhusi Shale in southern Sichuan Basin. Nat. Gas Ind. 2014, 34, 1–7. [Google Scholar] [CrossRef][Green Version]
- Zhu, H.; Ju, Y.; Qi, Y.; Huang, C.; Zhang, L. Impact of tectonism on pore type and pore structure evolution in organic–rich shale: Implications for gas storage and migration pathways in naturally deformed rocks. Fuel 2018, 228, 272–289. [Google Scholar] [CrossRef]
- Ross, D.J.K.; Marc Bustin, R. The importance of shale composition and pore structure upon gas storage potential of shale gas reservoirs. Mar. Pet. Geol. 2009, 26, 916–927. [Google Scholar] [CrossRef]
- Cao, T.T.; Liu, G.X.; Cao, Q.G.; Deng, M. Influence of maceral composition on organic pore development in shale: A case study of transitional Longtan Formation shale in eastern Sichuan Basin. Oil Gas Geol. 2016, 37, 422–438. [Google Scholar]




















| Region | Strata | Well Name | Sample Number | Depth h/m | TOC/% | Ro/% | Porosity p/% | Content of Whole Rock Mineral/% | ||||||
|---|---|---|---|---|---|---|---|---|---|---|---|---|---|---|
| Qtz | Fel | Cal | Dol | Py | Others | Clay | ||||||||
| Southern Sichuan Basin | Longmaxi | SCL-03 | SCL-03-01 | 2100.8 | 0.15 | 2.21 | 2.35 | 17.4 | 12.4 | 23.9 | 11.2 | 1 | 11.2 | 34.1 |
| SCL-03-02 | 2156.7 | 0.2 | 2.27 | - | 20.1 | 4.3 | 31.6 | 5.7 | 0.8 | 5.7 | 37.5 | |||
| SCL-03-03 | 2208.2 | 0.34 | 2.35 | 2.54 | 14.7 | 6.1 | 35.7 | 9.1 | 1.5 | 9.1 | 32.9 | |||
| SCL-03-04 | 2268.9 | 1.11 | 2.21 | 3.1 | 17.3 | 3.5 | 36 | 8.7 | 1.8 | 8.7 | 32.7 | |||
| SCL-03-05 | 2291.8 | 0.75 | 2.36 | 4.43 | 19.4 | 4.3 | 11 | 0.0 | 0.5 | 19.9 | 44.9 | |||
| SCL-03-06 | 2317.1 | 1.03 | 2.28 | 4.58 | 23.6 | 6.7 | 14.9 | 10.2 | 1.3 | 10.2 | 43.3 | |||
| SCL-03-07 | 2341.3 | 1.41 | 2.34 | 6.36 | 29.9 | 9 | 11.8 | 5.3 | 3.5 | 5.3 | 40.5 | |||
| SCL-03-08 | 2362.3 | 1.5 | 2.42 | - | 26.8 | 7.5 | 13.1 | 9.4 | 2.6 | 9.4 | 40.6 | |||
| SCL-03-09 | 2380.6 | 4.38 | 2.40 | 6.87 | 28.5 | 4.1 | 16.3 | 17.4 | 4.4 | 17.4 | 29.3 | |||
| Qiongzhusi | SCQ-06 | SCQ-06-01 | 2564.0 | 0.34 | 2.39 | 1.35 | 40.1 | 26.7 | 2.4 | 4.7 | 0.0 | - | 26.1 | |
| SCQ-06-02 | 2684.0 | 2.06 | 2.22 | 2.82 | 32.1 | 20.9 | 1.8 | 11.0 | 9.2 | - | 25.0 | |||
| SCQ-04 | SCQ-04-03 | 4229.0 | 1.54 | 2.51 | 2.36 | 31.7 | 22.5 | 1.4 | 0.0 | 15.9 | - | 26.5 | ||
| SCQ-09 | SCQ-09-04 | 4966.4 | 4.71 | 2.42 | - | 28.4 | 10.9 | 7.2 | 13.1 | 9.3 | - | 27.9 | ||
| SCQ-01 | SCQ-01-05 | 5030.4 | 2.15 | 2.56 | 2.87 | 42 | 17.5 | 0.1 | 7.2 | 4.1 | - | 29.1 | ||
| SCQ-01-06 | 5032.5 | 1.30 | 2.42 | - | 40.7 | 10 | 8.5 | 7.5 | 4.7 | - | 28.6 | |||
| Northern Guizhou Province | Longmaxi | GYL-02 | GYL-02-01 | 54.0 | 0.80 | 2.89 | 8.08 | 26.66 | 5.37 | 8.7 | 2.49 | 0.9 | - | 55.85 |
| GYL-02-02 | 58.5 | 0.70 | 2.85 | 4.82 | 25.60 | 7.50 | 4.6 | 1.55 | 1.2 | - | 59.53 | |||
| GYL-02-03 | 66.0 | 0.85 | 2.79 | 5.76 | 29.94 | 6.48 | 3.2 | 1.52 | 1.3 | 0.28 | 57.25 | |||
| GYL-02-04 | 70.5 | 2.19 | 2.89 | 4.98 | 33.47 | 10.21 | 4.0 | 0.55 | 2.5 | - | 49.32 | |||
| GYL-02-05 | 76.2 | 3.13 | 2.93 | 2.86 | 46.40 | 6.79 | 9.2 | 4.02 | 3.8 | 0.42 | 29.39 | |||
| GYL-02-06 | 89.0 | 3.55 | 2.95 | 1.56 | 42.45 | 6.37 | 10.2 | 2.50 | 3.6 | - | 34.91 | |||
| Niutitang | GYN-01 | GYN-01-01 | 20.5 | 5.99 | 3.45 | 13.37 | 40.47 | 9.42 | - | - | 5.2 | 0.87 | 44.05 | |
| GYN-01-02 | 24.0 | 4.24 | 3.67 | 4.01 | 30.26 | 19.88 | - | 1.8 | 4.4 | 1.23 | 42.36 | |||
| GYN-01-03 | 29.2 | 5.39 | - | 2.29 | 39.63 | 19.38 | 0.5 | - | 4.0 | 4.1 | 32.37 | |||
| GYN-01-04 | 38.8 | 6.99 | - | 1.82 | 44.56 | 15.21 | - | 6.3 | 4.5 | 0.48 | 28.92 | |||
| GYN-01-05 | 43.2 | 6.19 | 3.90 | 1.30 | 36.58 | 22.36 | - | 5.5 | 5.6 | 1.00 | 29.01 | |||
| Sample | PV (cm3/g) | SSA (m2/g) | ||||||
|---|---|---|---|---|---|---|---|---|
| Micropore | Mesopore | Macropore | Total | Micropore | Mesopore | Macropore | Total | |
| SCL-03-01 | 0.0009 | 0.0081 | 0.0019 | 0.0109 | 3.64 | 6.60 | 0.00 | 10.24 |
| SCL-03-04 | 0.0017 | 0.0105 | 0.0018 | 0.0141 | 6.11 | 8.02 | 0.00 | 14.14 |
| SCL-03-07 | 0.0025 | 0.0102 | 0.0026 | 0.0153 | 8.35 | 7.84 | 0.00 | 16.19 |
| SCL-03-09 | 0.0047 | 0.0159 | 0.0043 | 0.0250 | 15.87 | 13.53 | 0.00 | 29.40 |
| SCQ-06-01 | 0.0005 | 0.0051 | 0.0014 | 0.0071 | 0.00 | 3.32 | 2.39 | 5.71 |
| SCQ-09-02 | 0.0040 | 0.0050 | 0.0039 | 0.0129 | 0.00 | 4.46 | 12.93 | 17.40 |
| SCQ-01-04 | 0.0012 | 0.0018 | 0.0011 | 0.0042 | 0.00 | 1.29 | 4.74 | 6.02 |
| SCQ-01-06 | 0.0013 | 0.0008 | 0.0000 | 0.0021 | 0.00 | 0.72 | 5.22 | 5.94 |
| GYL-02-01 | 0.0026 | 0.0163 | 0.0021 | 0.0210 | 8.74 | 10.30 | 0.00 | 19.04 |
| GYL-02-04 | 0.0032 | 0.0121 | 0.0024 | 0.0178 | 10.98 | 8.19 | 0.00 | 19.17 |
| GYL-02-05 | 0.0044 | 0.0141 | 0.0028 | 0.0213 | 14.81 | 9.82 | 0.00 | 24.63 |
| GYL-02-06 | 0.0048 | 0.0157 | 0.0060 | 0.0265 | 16.27 | 10.68 | 0.00 | 26.95 |
| GYN-01-02 | 0.0029 | 0.0066 | 0.0001 | 0.0096 | 11.11 | 4.93 | 0.00 | 16.04 |
| GYN-01-03 | 0.0038 | 0.0167 | 0.0000 | 0.0205 | 13.91 | 11.37 | 0.00 | 25.28 |
| GYN-01-04 | 0.0055 | 0.0086 | 0.0001 | 0.0142 | 19.31 | 7.89 | 0.00 | 27.21 |
| GYN-01-05 | 0.0052 | 0.0138 | 0.0001 | 0.0191 | 19.13 | 10.36 | 0.01 | 29.50 |
| Samples | P/P0: 0–0.5 | P/P0: 0.5–1.0 | ||||
|---|---|---|---|---|---|---|
| A1 | D1 | R12 | A2 | D2 | R22 | |
| SCL-03-01 | −0.3991 | 2.6009 | 0.9985 | −0.1379 | 2.8621 | 0.9149 |
| SCL-03-02 | −0.4652 | 2.5348 | 0.9711 | −0.1232 | 2.8767 | 0.9111 |
| SCL-03-03 | −0.4272 | 2.5728 | 0.9831 | −0.1154 | 2.8846 | 0.9088 |
| SCL-03-04 | −0.4017 | 2.5983 | 0.9827 | −0.1544 | 2.8456 | 0.962 |
| SCL03-05 | −0.3969 | 2.6031 | 0.9901 | −0.1335 | 2.8665 | 0.9614 |
| SCL-03-06 | −0.4085 | 2.5915 | 0.9944 | −0.1540 | 2.8460 | 0.9453 |
| SCL-03-07 | −0.4727 | 2.5273 | 0.9587 | −0.1369 | 2.8631 | 0.9536 |
| SCL-03-08 | −0.4361 | 2.5639 | 0.9601 | −0.1370 | 2.8630 | 0.9644 |
| SCL-03-09 | −0.3804 | 2.6196 | 0.9589 | −0.1191 | 2.8809 | 0.9496 |
| SCQ-06-01 | −0.3395 | 2.6605 | 0.9801 | −0.1794 | 2.8206 | 0.9779 |
| SCQ-09-04 | −0.4915 | 2.5085 | 0.9354 | −0.1076 | 2.8924 | 0.9481 |
| SCQ-01-05 | −0.6652 | 2.3348 | 0.9370 | −0.1456 | 2.8544 | 0.9771 |
| SCQ-01-06 | −0.6248 | 2.3752 | 0.9924 | −0.2897 | 2.7103 | 0.9861 |
| GYL-02-01 | −0.5100 | 2.4900 | 0.9986 | −0.1651 | 2.8349 | 0.9619 |
| GYL-02-04 | −0.3544 | 2.6456 | 0.9952 | −0.1490 | 2.8510 | 0.9729 |
| GYL-02-05 | −0.3257 | 2.6743 | 0.9801 | −0.1419 | 2.8581 | 0.9730 |
| GYL-02-06 | −0.3544 | 2.6456 | 0.9886 | −0.1606 | 2.8394 | 0.9781 |
| GYN-01-02 | −0.4426 | 2.5574 | 0.9984 | −0.2335 | 2.7665 | 0.9746 |
| GYN-01-03 | −0.6439 | 2.3561 | 0.9970 | −0.2074 | 2.7926 | 0.9316 |
| GYN-01-04 | −0.4320 | 2.5680 | 0.9759 | −0.1507 | 2.8493 | 0.9312 |
| GYN-01-05 | −0.6879 | 2.3121 | 0.9952 | −0.1859 | 2.8400 | 0.9128 |
| Sample | Total Region Area | Region Number | Region Percentage | Average Perimeter | Form Factor | Average Length | Average Width | Probability Entropy | Roundness |
|---|---|---|---|---|---|---|---|---|---|
| SCL-03-01 | 117,392 | 350 | 14.31 | 74.48 | 0.55 | 23.54 | 14.29 | 0.99 | 0.46 |
| SCL-03-04 | 69,592 | 354 | 7.76 | 63.92 | 0.52 | 20.53 | 12.93 | 0.97 | 0.53 |
| SCL-03-07 | 28,697 | 261 | 3.18 | 52.7 | 0.49 | 18.44 | 9.67 | 0.97 | 0.52 |
| SCL-03-09 | 19,169 | 114 | 2.15 | 55.58 | 0.62 | 20.25 | 11.06 | 0.95 | 0.55 |
| SCQ-01-05 | 4878 | 97 | 2.18 | 28.95 | 0.75 | 11.23 | 3.8 | 0.73 | 0.64 |
| SCQ-06-01 | 1212 | 44 | 2.47 | 30.5 | 0.78 | 13.3 | 3.49 | 0.80 | 0.76 |
| GYN-01-04 | 1776 | 108 | 1.21 | 15.98 | 0.72 | 5.75 | 3.67 | 0.93 | 0.64 |
| PY-01 [67] | / | 43 | 21.5 | / | 0.74 | / | 32.7 | 0.8 | / |
| PY-02 [67] | / | 90 | 12 | / | 0.79 | / | 22.7 | 0.91 | / |
| PY-03 [67] | / | 170 | 14.6 | / | 0.77 | / | 24 | 0.88 | / |
| PY-04 [67] | / | 110 | 13.1 | / | 0.73 | / | 29 | 0.89 | / |
| PY-05 [67] | / | 69 | 9.9 | / | 0.73 | / | 38.7 | 0.89 | / |
| PY-06 [67] | / | 89 | 5.6 | / | 0.77 | / | 32.6 | 0.93 | / |
| PY-07 [67] | / | 38 | 4 | / | 0.75 | / | 47.1 | 0.86 | / |
| PY-08 [67] | / | 116 | 12.5 | / | 0.73 | / | 111.9 | 0.93 | / |
| PY-09 [67] | / | 87 | 3.5 | / | 0.88 | / | 35.1 | 0.95 | / |
| PY-10 [67] | / | 94 | 1.9 | / | 0.75 | / | 33 | 0.9 | / |
| PY-11 [67] | / | 216 | 5.4 | / | 0.74 | / | 17.7 | 0.94 | / |
| PY-12 [67] | / | 478 | 17.4 | / | 0.67 | / | 36.8 | 0.97 | / |
| PY-13 [67] | / | 73 | 7 | / | 0.66 | / | 22.1 | 0.92 | / |
| PY-14 [67] | / | 71 | 19.7 | / | 0.68 | / | 57.8 | 0.85 | / |
Publisher’s Note: MDPI stays neutral with regard to jurisdictional claims in published maps and institutional affiliations. |
© 2021 by the authors. Licensee MDPI, Basel, Switzerland. This article is an open access article distributed under the terms and conditions of the Creative Commons Attribution (CC BY) license (https://creativecommons.org/licenses/by/4.0/).
Share and Cite
Zou, X.; Li, X.; Zhang, J.; Li, H.; Guo, M.; Zhao, P. Characteristics of Pore Structure and Gas Content of the Lower Paleozoic Shale from the Upper Yangtze Plate, South China. Energies 2021, 14, 7603. https://doi.org/10.3390/en14227603
Zou X, Li X, Zhang J, Li H, Guo M, Zhao P. Characteristics of Pore Structure and Gas Content of the Lower Paleozoic Shale from the Upper Yangtze Plate, South China. Energies. 2021; 14(22):7603. https://doi.org/10.3390/en14227603
Chicago/Turabian StyleZou, Xiaoyan, Xianqing Li, Jizhen Zhang, Huantong Li, Man Guo, and Pei Zhao. 2021. "Characteristics of Pore Structure and Gas Content of the Lower Paleozoic Shale from the Upper Yangtze Plate, South China" Energies 14, no. 22: 7603. https://doi.org/10.3390/en14227603
APA StyleZou, X., Li, X., Zhang, J., Li, H., Guo, M., & Zhao, P. (2021). Characteristics of Pore Structure and Gas Content of the Lower Paleozoic Shale from the Upper Yangtze Plate, South China. Energies, 14(22), 7603. https://doi.org/10.3390/en14227603

