Identification of Grid Impedance by Broadband Signals in Power Systems with High Harmonics
Abstract
:1. Introduction
2. Method for Compensation of Disturbing Influences on Impedance Identification
2.1. General Procedure for Impedance Measurement
2.2. Design of an Excitation Sequence Based on the MLBS
- The change in signal level is predetermined, so that the MLBS is deterministic, and experiments are repeatable.
- The excitation sequence is periodic with period → no leakage
- Most of the signal power in the Effective Frequency Band (EFB) below frequencies of → Optimal choice of the clock frequency , with as the maximum frequency of the EFB
- Flat spectrum (drop of 3 dB) up to
- Frequency spectrum drops to zero at integer multiples of
2.3. Influence of Harmonics on Broadband AC Grid Impedance Identification
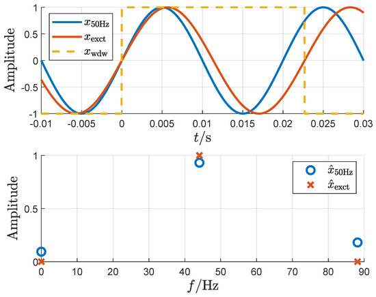
2.3.1. Harmonic Leakage from Harmonics Due to Improper Window Size
- The absence of third harmonics, which corresponds to zeros sequence components.
- The presence of harmonics of orders for integer values of k.
- The harmonics of orders are of positive sequence and the harmonics of orders are of negative sequence.
2.3.2. MLBS Impedance Measurement in Power Grid without System Harmonics
2.3.3. MLBS Impedance Measurement in Power Grid with Harmonics
2.3.4. Distortion of Estimated Impedance
2.4. Method for Compensating the Disturbing Effects of Harmonics on Broadband Measurement
2.4.1. Response Quality Evaluation
2.4.2. Harmonic Neighborhood Cancelation
2.4.3. Data Thinning
3. Results
3.1. Simulative Validation of Compensation Method
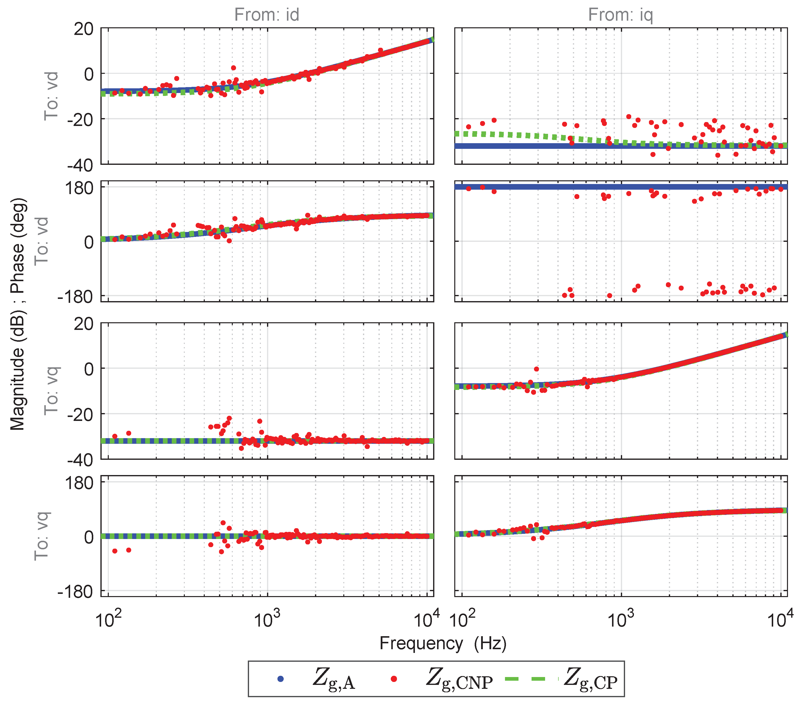
3.2. Identification of Industrial Power Grid Impedance
4. Discussion
5. Conclusions
Author Contributions
Funding
Conflicts of Interest
References
- Kroposki, B.; Johnson, B.; Zhang, Y.; Gevorgian, V.; Denholm, P.; Hodge, B.M.; Hannegan, B. Achieving a 100% Renewable Grid: Operating Electric Power Systems with Extremely High Levels of Variable Renewable Energy. IEEE Power Energy Mag. 2017, 15, 61–73. [Google Scholar] [CrossRef]
- Wang, X.; Blaabjerg, F. Harmonic Stability in Power Electronic-Based Power Systems: Concept, Modeling, and Analysis. IEEE Trans. Smart Grid 2019, 10, 2858–2870. [Google Scholar] [CrossRef] [Green Version]
- Cespedes, M.; Sun, J. Impedance modeling and analysis of grid-connected voltage-source converters. IEEE Trans. Power Electron. 2013, 29, 1254–1261. [Google Scholar] [CrossRef]
- Sun, J. Impedance-based stability criterion for grid-connected inverters. IEEE Trans. Power Electron. 2011, 26, 3075–3078. [Google Scholar] [CrossRef]
- Middlebrook, R.D.D. Input filter consideration in design and application of switching regulators. In Proceedings of the IEEE Industry Applications Society Annual Meeting, Chicago, IL, USA, 11–14 October 1976; pp. 366–382. [Google Scholar]
- Shen, Z.; Jaksic, M.; Mattavelli, P.; Boroyevich, D.; Verhulst, J.; Belkhayat, M. Three-phase AC system impedance measurement unit (IMU) using chirp signal injection. In Proceedings of the Twenty-Eighth Annual IEEE Applied Power Electronics Conference and Exposition (APEC), Long Beach, CA, USA, 17–21 March 2013. [Google Scholar]
- Roinila, T.; Vilkko, M.; Sun, J. Online grid impedance measurement using discrete-interval binary sequence injection. IEEE J. Emerg. Sel. Top. Power Electron. 2014, 2, 985–993. [Google Scholar] [CrossRef]
- Riccobono, A.; Mirz, M.; Monti, A. Noninvasive Online Parametric Identification of Three-Phase AC Power Impedances to Assess the Stability of Grid-Tied Power Electronic Inverters in LV Networks. IEEE J. Emerg. Sel. Top. Power Electron. 2017, 6, 629–647. [Google Scholar] [CrossRef] [Green Version]
- Buchner, M.; Rudion, K. Influence of Harmonics on Broadband AC Grid Impedance Identification for Stability Studies. In Proceedings of the IEEE PES ISGT Europe 2021, Espoo, Finland, 18–21 October 2021. [Google Scholar]
- Günter, S.; Fuchs, F.W.; Hinrichs, H.J. A method to measure the network harmonic impedance. In Proceedings of the PCIM Europe Conference, Nuremberg, Germany, 14–16 May 2013. [Google Scholar]
- Suntio, T.; Messo, T.; Berg, M.; Alenius, H.; Reinikka, T.; Luhtala, R.; Zenger, K. Impedance-Based Interactions in Grid-Tied Three-Phase Inverters in Renewable Energy Applications. Energies 2019, 12, 464. [Google Scholar] [CrossRef] [Green Version]
- Gong, H.; Wang, X.; Yang, D. DQ-Frame Impedance Measurement of Three-Phase Converters Using Time-Domain MIMO Parametric Identification. IEEE Trans. Power Electron. 2021, 36, 2131–2142. [Google Scholar] [CrossRef]
- Francis, G.; Burgos, R.; Boroyevich, D.; Wang, F.; Karimi, K. An algorithm and implementation system for measuring impedance in the D-Q domain. In Proceedings of the IEEE Energy Conversion Congress and Exposition: Energy Conversion Innovation for a Clean Energy Future, ECCE 2011, Phoenix, AZ, USA, 11–22 September 2011. [Google Scholar]
- Rygg, A.; Molinas, M.; Zhang, C.; Cai, X. A Modified Sequence-Domain Impedance Definition and Its Equivalence to the dq-Domain Impedance Definition for the Stability Analysis of AC Power Electronic Systems. IEEE J. Emerg. Sel. Power Electron. 2016, 4, 1383–1396. [Google Scholar] [CrossRef] [Green Version]
- Cespedes, M.; Sun, J. Three-phase impedance measurement for system stability analysis. In Proceedings of the IEEE 14th Workshop on Control and Modeling for Power Electronics, COMPEL 2013, Salt Lake City, UT, USA, 23–26 June 2013. [Google Scholar]
- Jessen, L.; Fuchs, F.W. Modeling of inverter output impedance for stability analysis in combination with measured grid impedances. In Proceedings of the IEEE 6th International Symposium on Power Electronics for Distributed Generation Systems, PEDG 2015, Salt Lake City, UT, USA, 23–26 June 2015. [Google Scholar]
- Roinila, T.; Vilkko, M.; Sun, J. Broadband methods for online grid impedance measurement. In Proceedings of the IEEE Energy Conversion Congress and Exposition, ECCE 2013, Denver, CO, USA, 15–19 September 2013. [Google Scholar]
- Simpkins, A. System Identification: Theory for the User, 2nd Edition (Ljung, L.; 1999) [On the Shelf]. IEEE Robot. Autom. 2012, 19, 95–96. [Google Scholar] [CrossRef]
- Roinila, T. Fast Frequency Response Measurement Techniques in Analyzing the Dynamics of Switched-Mode Power Supplies. Ph.D. Thesis, Tampere University of Technology, Hervanta, Finland, 2010. [Google Scholar]
- Pintelon, R.; Schoukens, J. System Identification: A Frequency Domain Approach, 2nd ed.; John Wiley & Sons: Hoboken, NJ, USA, 2012. [Google Scholar]
- Cespedes, M.; Sun, J. Adaptive control of grid-connected inverters based on online grid impedance measurements. IEEE Trans. Sustain. Energy 2014, 5, 516–523. [Google Scholar] [CrossRef]
- Schoukens, J.; Pintelon, R.; Der Ouderaa, E.V.; Renneboog, J. Survey of Excitation Signals for FFT Based Signal Analyzers. IEEE Trans. Instrum. Meas. 1988, 37, 342–352. [Google Scholar] [CrossRef]
- Landon, V.D. A Study of the Characteristics of Noise. Proc. Inst. Radio Eng. 1936, 24, 1514–1521. [Google Scholar] [CrossRef]
- Alenius, H.; Roinila, T. Impedance-Based Stability Analysis of Paralleled Grid-Connected Rectifiers: Experimental Case Study in a Data Center. Energies 2020, 13, 2109. [Google Scholar] [CrossRef]
- Stoica, P.; Moses, R. Spectral Analysis of Signals; Pearson Prentice Hall: Hoboken, NJ, USA, 2005. [Google Scholar]
- Harris, F.J. On the Use of Windows for Harmonic Analysis with the Discrete Fourier Transform. Proc. IEEE 1978, 66, 51–83. [Google Scholar] [CrossRef]
- Li, C.; Qoria, T.; Colas, F.; Liang, J.; Ming, W.; Gruson, F.; Guillaud, X. Coupling Influence on the dq Impedance Stability Analysis for the Three-Phase Grid-Connected Inverter. Energies 2019, 12, 3676. [Google Scholar] [CrossRef] [Green Version]
- Arrillaga, J.; Smith, B.C.; Neville, R.W.; Wood, A.R. Chapter 1: Introduction. In Power System Harmonic Analysis; John Wiley & Sons Ltd.: Hoboken, NJ, USA, 1997. [Google Scholar] [CrossRef]
- Rygg, A. Impedance-Based Methods for Small-Signal Analysis of Systems Dominated by Power Electronics. Ph.D. Thesis, NTNU, Trondheim, Norway, 2018. [Google Scholar]
- Rodríguez, P.; Luna, A.; Ciobotaru, M.; Teodorescu, R.; Blaabjerg, F. Advanced grid synchronization system for power converters under unbalanced and distorted operating conditions. In Proceedings of the IECON 2006—32nd Annual Conference on IEEE Industrial Electronics, Paris, France, 6–10 November 2006. [Google Scholar]




























| Parameter | Description | Value |
|---|---|---|
| n | Bits of shift register | 11 |
| Effective frequency band | ||
| Repetition of MLBS | 4 | |
| Frequency resolution of MLBS | ||
| Frequency resolution of measurement sequence | ||
| Measurement window length |
| Harmonics | 300 | 600 | 900 |
|---|---|---|---|
| Closest multiple | 301.18 | 598.29 | 899.47 |
| Order | 74 | 147 | 221 |
| Parameter | Descrition | Value |
|---|---|---|
| Minimum quality of the system response | 1.25 | |
| Number of neighboring nonexcited frequencies | 1 | |
| Neglected neighborhood of integers of the grid frequency | ||
| Number frequency bins after thinning | 150 |
| Parameter | Descrition | Value |
|---|---|---|
| Minimum quality of the system response | 1.75 | |
| Number of neighboring nonexcited frequencies | 1 | |
| Neglected neighborhood of integers of the grid frequency | ||
| Number frequency bins after thinning | 150 |
Publisher’s Note: MDPI stays neutral with regard to jurisdictional claims in published maps and institutional affiliations. |
© 2021 by the authors. Licensee MDPI, Basel, Switzerland. This article is an open access article distributed under the terms and conditions of the Creative Commons Attribution (CC BY) license (https://creativecommons.org/licenses/by/4.0/).
Share and Cite
Buchner, M.; Rudion, K. Identification of Grid Impedance by Broadband Signals in Power Systems with High Harmonics. Energies 2021, 14, 7398. https://doi.org/10.3390/en14217398
Buchner M, Rudion K. Identification of Grid Impedance by Broadband Signals in Power Systems with High Harmonics. Energies. 2021; 14(21):7398. https://doi.org/10.3390/en14217398
Chicago/Turabian StyleBuchner, Matthias, and Krzysztof Rudion. 2021. "Identification of Grid Impedance by Broadband Signals in Power Systems with High Harmonics" Energies 14, no. 21: 7398. https://doi.org/10.3390/en14217398
APA StyleBuchner, M., & Rudion, K. (2021). Identification of Grid Impedance by Broadband Signals in Power Systems with High Harmonics. Energies, 14(21), 7398. https://doi.org/10.3390/en14217398

