Partial Discharge Simulation of Air Gap Defects in Oil-Paper Insulation Paperboard of Converter Transformer under Different Ratios of AC–DC Combined Voltage
Abstract
:1. Introduction
2. Model and Simulation
2.1. The Air Gap Model of Insulating Pressboard
2.2. The Introduction of the Model Simulation
2.2.1. The Ratio of Combined Voltage
2.2.2. Partial Discharge Numerical Simulation Model
3. Results
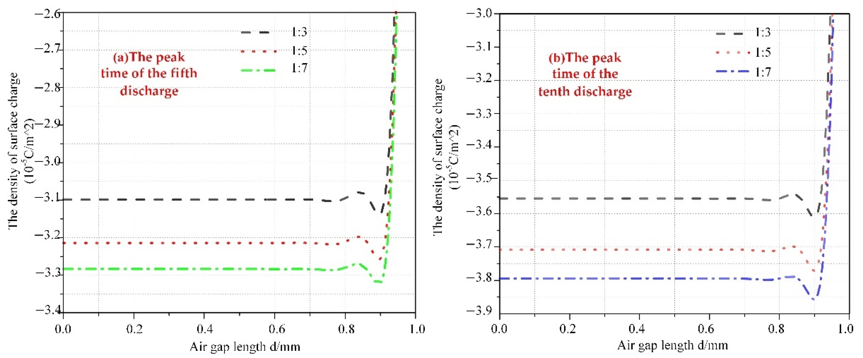
4. Analysis
5. Conclusions
Author Contributions
Funding
Institutional Review Board Statement
Informed Consent Statement
Conflicts of Interest
Appendix A
| Reaction No. | Reaction Equation | Rate Constant | Threshold (eV) | Ref. |
|---|---|---|---|---|
| 1 | e + N2 ⇒ e + N2 | (m3 s−1) | / | [46] |
| 2 | e + N2 ⇒ e + N2 (v = 1–4) | (m3 s−1) | 0.2889, 0.8559, 1.1342 1.4088 | [46] |
| 3 | e + N2 ⇒ e + N2(A) | (m3 s−1) | 6.1688 | [46] |
| 4 | e + N2 ⇒ e + N2(B) | (m3 s−1) | 11.03 | [46] |
| 5 | e + N2 ⇒ 2e + N2+ | (m3 s−1) | 15.6 | [46] |
| 6 | e + O2 ⇒ e + O2 | (m3 s−1) | / | [46] |
| 7 | e + O2 ⇒ e + O2 (v = 1–2) | (m3 s−1) | 0.57, 0.75 | [46] |
| 8 | e + O2 ⇒ e + O2(A) | (m3 s−1) | 0.977 | [46] |
| 9 | e + O2(A) ⇒ e + O2 | (m3 s−1) | −0.977 | [46] |
| 10 | e + O2 ⇒ e + O2(B) | (m3 s−1) | 1.627 | [46] |
| 11 | e + O2(B) ⇒ e + O2 | (m3 s−1) | −1.627 | [46] |
| 12 | e + O2 ⇒ e + O2(C) | (m3 s−1) | 4.5 | [46] |
| 13 | e + O2 ⇒ O + O− | (m3 s−1) | / | [46] |
| 14 | e + O2 ⇒ O2− | (m3 s−1) | / | [46] |
| 15 | e + O2 ⇒ e + O + O | (m3 s−1) | 5.58 | [46] |
| 16 | e + O2 ⇒ e + O + O(1D) | (m3 s−1) | 8.4 | [46] |
| 17 | e + O2 ⇒2e + O2+ | (m3 s−1) | 12.1 | [46] |
| 18 | e + N2 ⇒ e + N + N | 1 × 10−14 × Te−0.5exp(−16/Te) (m3 s−1) | 9.757 | [24] |
| 19 | e + N2+ ⇒ N + N | 4.8 × 10−13(Te/0.026)−0.5 (m3 s−1) | / | [25] |
| 20 | e + N4+ ⇒ 2N2 | 2 × 10−12(Te/0.026)−0.5 (m3 s−1) | / | [25] |
| 21 | e + O2+ ⇒ 2O | 1.2 × 10−14Te−0.7 (m3 s−1) | / | [24] |
| 22 | e + 2O2 ⇒ O2 + O2− | 5.17 × 10−43Te−1 (m6 s−1) | / | [24] |
| 23 | e + O2+ ⇒ O2 | 4 × 10−18 (m3 s−1) | / | [24] |
| 24 | e + O4+ ⇒ 2O2 | 2.25 × 10−13Te−0.5 (m3 s−1) | / | [24] |
| 25 | N2+ + 2N2 ⇒ N4+ + N2 | 1.9 × 10−41 (m6 s−1) | / | [25] |
| 26 | N4+ + N2 ⇒ N2+ + 2N2 | 2.5 × 10−21 (m3 s−1) | / | [25] |
| 27 | O− + O2+ ⇒ O + O2 | 1 × 10−13 (m3 s−1) | / | [47] |
| 28 | O2− + O2+ ⇒ 2O2 | 4.2 × 10−13 (m3 s−1) | / | [47] |
| 29 | O2− + O2+ + O2 ⇒ 3O2 | 2 × 10−37 (m6 s−1) | / | [47] |
| 30 | O2− + O2+ + N2 ⇒ 2O2 + N2 | 2 × 10−37 (m6 s−1) | / | [47] |
| 31 | O2− + O4+ + O2 ⇒ 4O2 | 2 × 10−37 (m6 s−1) | / | [48] |
| 32 | N2+ + N2 + O2 ⇒ N4+ + O2 | 5 × 10−41 (m6 s−1) | / | [48] |
| 33 | N4+ + O2 ⇒ O2+ + 2N2 | 2.5 × 10−16 (m3 s−1) | / | [48] |
| 34 | O2+ + 2O2 ⇒ O4+ + O2 | 2.4 × 10−42 (m6 s−1) | / | [48] |
| 35 | O2− + O4+ + N2 ⇒ 3O2 + N2 | 2 × 10−37 (m6 s−1) | / | [48] |
| 36 | O2 + N + N ⇒ O2 + N2 | 3.9 × 10−45(m6 s−1) | / | [25] |
| 37 | O + O + N ⇒ O2 + N | 3.2 × 10−45 (m6 s−1) | / | [25] |
| 38 | O + O2 + N2 ⇒ O3 + N2 | 6.2 × 10−46 (m6 s−1) | / | [48] |
| 39 | O + O2 + O2 ⇒ O3 + O2 | 6.9 × 10−46 (m6 s−1) | / | [48] |
| 40 | O− + O2+ + N2 ⇒ O3 + N2 | 2 × 10−37 (m6 s−1) | [35] | |
| 41 | O + O4+ ⇒ O3 + O2+ | 3 × 10−16 (m3 s−1) | / | [48] |
| 42 | O + O3 ⇒ O2 + O2 | 8 × 10−18 exp(−2060/300) (m3 s−1) | / | [24] |
| 43 | O− + O3 ⇒ O2 + O2 + e | 3 × 10−16 (m3 s−1) | / | [24] |
| 44 | N2+ + O3 ⇒ N2 + O + O2+ | 1 × 10−16 (m3 s−1) | / | [24] |
| 45 | e + O3 ⇒ O2 + O + e | 1.78 × 10−12 (3Te/2)−0.614 exp(−23/3Te) (m3 s−1) | / | [24] |
| 46 | e + O3 ⇒ O + O2− | 1 × 10−15 (m3 s−1) | / | [24] |
| 47 | e + O3 ⇒O2 + O− | 1 × 10−17 (m3 s−1) | / | [24] |
| Number | Surface Reaction | Reaction Probability | γi | Initial Electron Mean Energy |
|---|---|---|---|---|
| S1 | N2+ + Surface ⇒ N2 | 1 | 6.5 × 10−4 | 3 |
| S2 | N4+ + Surface ⇒ 2N2 | 1 | 6.5 × 10−4 | 3 |
| S3 | 2O− + Surface ⇒ O2 | 1 | 0 | 0 |
| S4 | O2− + Surface ⇒ O2 | 1 | 0 | 0 |
| S5 | O2+ + Surface ⇒ O2 | 1 | 6.5 × 10−4 | 3 |
| S6 | O4+ + Surface ⇒ 2O2 | 1 | 6.5 × 10−4 | 3 |
References
- Wang, W.Y.; Dou, F.; Cheng, J.M.; Yu, X.; Yang, M.M.; Huang, Q.X. Modelling and Simulation of ±800 kV HVDC Electromagnetic Transients. In Proceedings of the 2020 Asia Energy and Electrical Engineering Symposium, Chengdu, China, 29–31 May 2020. [Google Scholar]
- Zhao, L.Y.; Huankun Zheng, H.K. Voltage Stability Analysis for AC/DC System With VSC-HVDC. In Proceedings of the 2019 2nd International Conference on Electronics Technology, Chengdu, China, 10–13 May 2019. [Google Scholar]
- Arjen, A.; Meer, V.D.; Ndreko, M. The Effect of FRT Behavior of VSC-HVDCConnected Offshore Wind Power Plants on AC/DC System Dynamics. IEEE Trans. Power Deliv. 2016, 31, 878–887. [Google Scholar]
- Zhuo, R. Feature Optimization and Fault Diagnosis of GIS Based on Combined Detection; Chongqing University: Chongqing, China, 2014. [Google Scholar]
- Li, S.S.; Jin, X.; Dai, S. Overview on on-line Monitoring System for Transformer Partial Discharge. Northeast. Electr. Power Technol. 2009, 8, 37–40. [Google Scholar]
- Li, J. Study on Methods of Recognition Feature Extraction and Fractal Compression for Partial Discharge Gray Intensity Images; Chongqing University: Chongqing, China, 2001. [Google Scholar]
- Fu, T.J.; Wang, J.; Zhong, J.T.; Chen, X.H.; Dang, Y.Y.; Lu, J.Z. Insulation Structure Analysis of ±800kV Converter Transformer for DC Transmission. Transformer 2009, 46, 5–9. [Google Scholar]
- Fu, L.J.; Liu, W.W.; Zhang, L.; Guan, Y.L.; Jiang, Z.Q. Analysis of insulation material of oil-immersion transformer. Heilongjiang Electr. Power 2019, 41, 232–237. [Google Scholar]
- Wang, G.J.; Li, J.J.; Wu, Y.J.; Peng, X.S.; Li, L.; Liu, T.W. Random Forest Based Feature Selection for Partial Discharge Recognition of HV Cables. Power Syst. Technol. 2019, 43, 1329–1335. [Google Scholar]
- Zhao, Y.K.; Zhang, G.Q.; Han, D.; Yang, F.Y.; Liu, Y. Study on Surface Discharge Characteristics of Inter-Turn Insulation Materials in High-Frequency Transformers. Trans. China Electrotech. Soc. 2019, 34, 3464–3471. [Google Scholar]
- Qi, B.; Wei, Z.; Li, C.R.; Zhang, X.H.; Li, F.; Wang, H.B. Discharge Characteristics of the Typical Defects in Oil-paper Insulation Under AC-DC Compound Voltage. High Volt. Eng. 2015, 41, 639–646. [Google Scholar]
- Yang, J.; Du, J.P.; Zong, W. Analysis of Air Gap Partial Discharge in Transformer Insulation. Transformer 2011, 48, 25–29. [Google Scholar]
- Bo, Q.; Zhen, W.; Li, C.R. Creepage Discharge of Oil-pressboard Insulation in AC-DC Composite Field: Phenomenon and Characteristics. IEEE Trans. Dielectr. Electr. Insul. 2016, 23, 237–245. [Google Scholar]
- Li, P.H.; Du, H. Effects of Combined AC-DC Voltage on Breakdown Characteristics in Epoxy Resin Considering High Temperature Superconducting Insulation. In Proceedings of the 2018 IEEE International Conference on Applied Superconductivity and Electronmagnetic Devices, ASEMD, Tianjin, China, 15–18 April 2018. [Google Scholar]
- Mei, D.H.; Fang, Z.; Shao, T. Recent Progress on Characteristics and Applications of Atmospheric Pressure Low Temperature Plasmas. Proc. CSEE 2020, 40, 1339–1358. [Google Scholar]
- Li, L.C.; Rao, H.; Dong, X.Z.; Cheng, J.W.; Zhao, X.H.; Luo, B. Prospect of Computational High Voltage Engineering. High Volt. Eng. 2018, 44, 3441–3453. [Google Scholar]
- Qi, B.; Wei, Z. Influences of Different Ratios of AC-DC Combined Voltage on Internal Air-gap Discharge in Oil-pressboard Insulation. IEEE Trans. Power Deliv. 2016, 31, 1026–1033. [Google Scholar] [CrossRef]
- Wen, X.M. Characteristics Research on Surface Discharge of Oil-Paper Insulation Structure under Combined AC-DC Voltage; Dalian University of Technology: Dalian, China, 2018; pp. 4–25. [Google Scholar]
- Wang, Y.S.; Zhou, Y.X.; Li, G.F. Space Charge Phenomena in Oil-Paper Insulation Materials Under High Voltage Direct Current. High Volt. Eng. 2008, 5, 873–877. [Google Scholar]
- Sha, Y.C.; Zhou, Y.X. Partial Discharge Characteristics in Oil-paper Insulation under Combined AC-DC Voltage. IEEE Trans. Dielectr. Electr. Insul. 2014, 21, 1529–2539. [Google Scholar] [CrossRef]
- Callender, G.; Tanmaneeprasert, T.; Lewin, P.L. Simulating partial discharge activity in a cylindrical void using a model of plasma dynamics. J. Phys. D Appl. Phys. 2019, 52, 169501. [Google Scholar] [CrossRef]
- Callender, G.; Golosnoy, I.O.; Lewin, P.L. Critical Analysis of Partial Discharge Dynamics in Air Filled Spherical Voids. J. Phys. D Appl. Phys. 2018, 51, 125601. [Google Scholar] [CrossRef] [Green Version]
- Brauer, I. Simulation of self-organized filaments in a dielectric barrier glow discharge plasma. J. Appl. Phys. 1999, 85, 7569. [Google Scholar] [CrossRef]
- Ning, W.J.; Dai, D.; Zhang, Y.H. Simulation of Nonlinear Phenomena in Short-gap Atmospheric Helium Dielectric Barrier Discharge with One-dimensional Fluid Model. High Volt. Eng. 2017, 43, 1845–1853. [Google Scholar]
- Wang, Q.; Ning, W.J.; Dai, D.; Zhang, Y.H.; Ouyang, J.T. Characteristics and mechanisms of transition from filament to homogeneous glow in atmospheric helium dielectric barrier discharges under variation of the applied voltage amplitude. J. Phys. D Appl. Phys. 2019, 52, 205201. [Google Scholar] [CrossRef]
- Wan, J.; Ning, W.J.; Zhang, Y.H.; Dai, D. Influence of Gap Width on the Multipeak Characteristics of Atmospheric Pressure Helium Dielectric Barrier Discharges a Numerical Approach. Trans. China Electrotech. Soc. 2019, 34, 871–879. [Google Scholar]
- Bourdon, A.; Pasko, V.P.; Liu, N.Y.; Marode, E. Efficient models for photoionization produced by non-thermal gas discharges in air based on radiative transfer and the Helmholtz equations. Plasma Sources Sci. Technol. 2007, 16, 656–678. [Google Scholar] [CrossRef]
- Zhang, Y.H.; Dai, D. Influence of nitrogen impurities on the characteristics of a patterned helium dielectric barrier discharge at atmospheric pressure. Plasma Sci. Technol. 2019, 21, 074003. [Google Scholar] [CrossRef]
- Martens, T.; Bogaerts, A.; Brok, W.J.M. The dominant role of impurities in the composition of high pressure noble gas plasmas. Appl. Phys. Lett. 2008, 92, 041504. [Google Scholar] [CrossRef] [Green Version]
- Sakiyama, Y.; Graves, D.B.; Chang, H.W. Plasma chemistry model of surface microdischarge in humid air and dynamics of reactive neutral species. J. Phys. D Appl. Phys. 2012, 45, 425201. [Google Scholar] [CrossRef]
- Gao, F.; Wang, Q.; Dai, D. Numerical study on partial discharge in a dry air cavity with a two-dimensional fluid model considering practical reactions. J. Phys. D Appl. Phys. 2020, 53, 345202. [Google Scholar] [CrossRef]
- Hagelaar, G.J.M.; Pitchford, L.C. Solving the Boltzmann equation to obtain electron transport coefficients and rate coefficients for fluid models. Plasma Sources Sci. Technol. 2005, 14, 722–733. [Google Scholar] [CrossRef]
- Purwins, H.G.; Stollenwerk, L. Synergetic aspects of gas-discharge: Lateral patterns in dc systems with a high ohmic barrier. Plasma Phys. Control. Fusion 2014, 56, 123001. [Google Scholar] [CrossRef]
- Lazarou, C.; Belmonte, T.; Chiper, A.S. Numerical modelling of the effect of dry air traces in a helium parallel plate dielectric barrier discharge. Plasma Sources Sci. Technol. 2016, 25, 055023. [Google Scholar] [CrossRef] [Green Version]
- Lazarou, C.; Koukounis, D.; Chiper, A.S. Numerical modeling of the effect of the level of nitrogen impurities in a helium parallel plate dielectric barrier discharge. Plasma Sources Sci. Technol. 2015, 24, 035012. [Google Scholar] [CrossRef]
- Zhang, Y.H.; Ning, W.J.; Dai, D. Numerical investigation on the dynamics and evolution mechanisms of multiple-current-pulse behavior in homogeneous helium dielectric-barrier discharges at atmospheric pressure. AIP Adv. 2018, 8, 035008. [Google Scholar] [CrossRef] [Green Version]
- Yan, W.; Xia, Y.; Bi, Z.H. Numerical and experimental study on atmospheric pressure ionization waves propagating through a U-shape channel. J. Phys. D Appl. Phys. 2017, 50, 345201. [Google Scholar] [CrossRef]
- Morshuis, P.H.F.; Smit, J.J. Partial discharges at DC voltage: Their mechanism, detection and analysis. IEEE Trans. Dielectr. Electr. Insul. 2005, 12, 328–340. [Google Scholar] [CrossRef] [Green Version]
- Huang, Z.; Hao, Y.; Yang, L. Two-dimensional simulation of spatiotemporal generation of dielectric barrier columnar discharges in atmospheric helium. Phys. Plasmas 2015, 22, 123509. [Google Scholar] [CrossRef]
- MAI, H.; Jin, X.C.; Li, J.H.; Li, Y.M. PD Characteristic Research of Air Gap Defect in Oil-Paper Insulation under AC/DC Composite Voltage. Transformer 2014, 51, 54–59. [Google Scholar]
- Zhou, Y.X.; Sha, Y.C. Partial Discharge Initiating Process of Transformer Oil Under Combined AC and DC Voltage. High. Volt. Eng. 2012, 38, 1163–1171. [Google Scholar]
- Tang, Z.G.; Tang, M.Z.; Li, J.Z. Review on Partial Discharge Pattern Recognition of Electrical Equipment. High. Volt. Eng. 2017, 43, 173–187. [Google Scholar]
- Kang, Q.; Gu, X.; Xu, Y. Review of Partial Discharge Detection Under DC Voltage. South. Power Syst. Technol. 2015, 65, 75–83. [Google Scholar]
- Yang, Z.; Song, H.M.; Wang, W.L.; Jia, M.; Jin, D. Thermal characterisation of dielectric barrier discharge plasma actuation driven by radio frequency voltage at low pressure. High. Volt. 2018, 3, 154–160. [Google Scholar]
- Li, J.H.; Han, H.T.; Liu, Z.H.; Yao, X.; Li, Y.M. PD Characteristics of oil-pressboard Insulation under AC and DC Mixed Voltage. IEEE Trans. Dielectr. Electr. Insul. 2016, 23, 444–450. [Google Scholar] [CrossRef]
- Lxcat Program. Biagi Database [DB]. Available online: https://www.lxcat.net/ (accessed on 27 March 2019).
- Kossyi, I.A.; Kostinsky, A.Y.; Matveyev, A.A. Kinetic scheme of the non-equilibrium discharge in nitrogen-oxygen mixtures. Plasma Sources Sci. Technol. 1992, 1, 207–220. [Google Scholar] [CrossRef]
- Lxcat Program. TRINITI Database [DB]. Available online: https://www.lxcat.net/ (accessed on 27 March 2019).








Publisher’s Note: MDPI stays neutral with regard to jurisdictional claims in published maps and institutional affiliations. |
© 2021 by the authors. Licensee MDPI, Basel, Switzerland. This article is an open access article distributed under the terms and conditions of the Creative Commons Attribution (CC BY) license (https://creativecommons.org/licenses/by/4.0/).
Share and Cite
Luo, B.; Wang, J.; Dai, D.; Jia, L.; Li, L.; Wang, T. Partial Discharge Simulation of Air Gap Defects in Oil-Paper Insulation Paperboard of Converter Transformer under Different Ratios of AC–DC Combined Voltage. Energies 2021, 14, 6995. https://doi.org/10.3390/en14216995
Luo B, Wang J, Dai D, Jia L, Li L, Wang T. Partial Discharge Simulation of Air Gap Defects in Oil-Paper Insulation Paperboard of Converter Transformer under Different Ratios of AC–DC Combined Voltage. Energies. 2021; 14(21):6995. https://doi.org/10.3390/en14216995
Chicago/Turabian StyleLuo, Bing, Jian Wang, Dong Dai, Lei Jia, Licheng Li, and Tingting Wang. 2021. "Partial Discharge Simulation of Air Gap Defects in Oil-Paper Insulation Paperboard of Converter Transformer under Different Ratios of AC–DC Combined Voltage" Energies 14, no. 21: 6995. https://doi.org/10.3390/en14216995
APA StyleLuo, B., Wang, J., Dai, D., Jia, L., Li, L., & Wang, T. (2021). Partial Discharge Simulation of Air Gap Defects in Oil-Paper Insulation Paperboard of Converter Transformer under Different Ratios of AC–DC Combined Voltage. Energies, 14(21), 6995. https://doi.org/10.3390/en14216995

