Piezoelectric Power Generation from the Vortex-Induced Vibrations of a Semi-Cylinder Exposed to Water Flow
Abstract
1. Introduction
2. Materials and Methods
2.1. The System
2.2. Modelling
2.2.1. Mathematical Approach
Finding the First Mode Shape at and the First Modal Frequency
Finding the Onset Velocity
Defining the Constants
2.2.2. Numerical Simulation
Constraints
2.3. Optimization
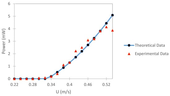
3. Verification of Mathematical Model and MATLAB Codes
4. Optimization Results
4.1. Optimal Design Parameters
4.2. Optimal Model Specifications
4.3. Comparing the Performance of Different Piezoelectric Materials in the Optimal Setup
5. Computational Fluid Dynamics (CFD)
5.1. Mesh Convergence
5.2. Domain Convergence
5.3. CFD Results
6. Conclusions
Author Contributions
Funding
Institutional Review Board Statement
Informed Consent Statement
Data Availability Statement
Conflicts of Interest
References
- Arcadia. 15 Key Facts & Statistics about Power Plant Pollution. 2017. Available online: https://blog.arcadia.com/15-key-facts-statistics-power-plant-pollution/ (accessed on 14 October 2021).
- UCS USA. Coal and Air Pollution. 2017. Available online: https://www.ucsusa.org/resources/coal-and-air-pollution#:~:text=Air%20pollution%20from%20coal%2Dfired,environmental%20and%20public%20health%20impacts (accessed on 12 October 2021).
- The Switch. Hydropower Generation in the UK: In Depth Guide. 2020. Available online: https://theswitch.co.uk/energy/guides/renewables/hydroelectric-power (accessed on 6 June 2021).
- The Nature Conservancy. The Power of Rivers Finding Balance between Energy and Conservation in Hydropower Development. 2015. Available online: https://www.nature.org/media/freshwater/power-of-rivers-report.pdf (accessed on 6 June 2021).
- Barrero-Gil, A.; Pindado, S.; Avila, S. Extracting energy from Vortex-Induced Vibrations: A parametric study. Appl. Math. Model. 2011, 36, 3153–3160. [Google Scholar] [CrossRef]
- Harvard Natural Sciences Lecture Demonstrations. Vortex Shedding in Water. Available online: https://sciencedemonstrations.fas.harvard.edu/presentations/vortex-shedding (accessed on 6 March 2021).
- Al Jamal, H.; Dalton, C. The Contrast in Phase Angles between Forced and Self-Excited Oscillations of a Circular Cylinder. J. Fluids Struct. 2005, 20, 467–482. [Google Scholar] [CrossRef]
- Xu, W.; Qin, W.; Gao, X. Experimental Study on Streamwise Vortex-Induced Vibration of a Flexible, Slender Cylinder. Appl. Sci. 2018, 8, 311. [Google Scholar] [CrossRef]
- Leclercq, T.; De Langre, E. Vortex-induced vibrations of cylinders bent by the flow. J. Fluids Struct. 2018, 80, 77–93. [Google Scholar] [CrossRef]
- Soti, A.K.; Thompson, M.C.; Sheridan, J.; Bhardwaj, R. Electrical power generation from vortex-induced vibrations of a circular cylinder. In Proceedings of the 20th Australasian Fluid Mechanics Conference, AFMC 2016 Australasian Fluid Mechanics Society, Perth, Australia, 5–8 December 2016. [Google Scholar]
- Bernitsas, M.M.; Raghavan, K.; Ben-Simon, Y.; Garcia, E.M.H. Vortex induced vibration aquatic clean energy: A new concept in generation of clean and renewable energy from fluid flow. J. Offshore Mech. Arct. Eng. 2008, 130, 041101. [Google Scholar] [CrossRef]
- Hall-Stinson, A.; Lehrman, C.; Tripp, E. Energy Generation from Vortex Induced Vibrations. Bachelor’s Thesis, Worcester Polytechnic Institute, San Francisco, CA, USA, 2011. [Google Scholar]
- Sun, W.; Zhao, D.; Tan, T.; Yan, Z.; Guo, P.; Luo, X. Low velocity water flow energy harvesting using vortex induced vibration and galloping. Appl. Energy 2019, 251, 113392. [Google Scholar] [CrossRef]
- Qureshi, F.U.; Muhtaro, A.; Tuncay, K. Near-optimal design of scalable energy harvester for underwater pipeline monitoring applications with consideration of impact to pipeline performance. IEEE Sens. J. 2017, 17, 1981–1991. [Google Scholar] [CrossRef]
- The Green Age. Piezoelectric Materials. 2020. Available online: https://www.thegreenage.co.uk/tech/piezoelectric-materials/ (accessed on 10 June 2021).
- Woodford, C. Piezoelectricity. 2019. Available online: https://www.explainthatstuff.com/piezoelectricity.html (accessed on 12 May 2021).
- Yang, Z.; Zhou, S.; Zu, J.; Inman, D. High-Performance Piezoelectric Energy Harvesters and Their Applications. Joule 2018, 2, 642–697. [Google Scholar] [CrossRef]
- Roundy, S.; Wright, P.K. A piezoelectric vibration based generator for wireless electronics. Smart Mater. Struct. 2004, 13, 1131–1142. [Google Scholar] [CrossRef]
- Yang, Y.; Tang, L.; Li, H. Vibration energy harvesting using macro-fiber composites. Smart Mater. Struct. 2009, 18, 115025. [Google Scholar] [CrossRef]
- Shan, X.; Song, R.; Liu, B.; Xie, T. Novel energy harvesting: A macro fiber composite piezoelectric energy harvester in the water vortex. Ceram. Int. 2015, 41, S763–S767. [Google Scholar] [CrossRef]
- Mokhtari, F.; Latifi, M.; Shamshirsaz, M.; Khelghatdoost, M.; Rahmani, S. Modeling of electrospun PVDF/LiCl nanogenerator by the energy approach method: Determining piezoelectric constant. J. Text. Inst. 2017, 108, 1917–1925. [Google Scholar] [CrossRef]
- Javed, U.; Abdelkefi, A. Role of the galloping force and moment of inertia of inclined square cylinders on the performance of hybrid galloping energy harvesters. Appl. Energy 2018, 231, 259–276. [Google Scholar] [CrossRef]
- Sun, H.; Bernitsas, M.M. Bio-Inspired adaptive damping in hydrokinetic energy harnessing using flow-induced oscillations. Energy 2019, 176, 940–960. [Google Scholar] [CrossRef]
- Zhang, L.; Meng, B.; Xia, Y.; Deng, Z.; Dai, H.; Hagedorn, P.; Peng, Z.; Wang, L. Galloping triboelectric nanogenerator for energy harvesting under low wind speed. Nano Energy 2020, 70, 104477. [Google Scholar] [CrossRef]
- Zhu, H.; Zhao, Y.; Zhou, T. CFD analysis of energy harvesting from flow induced vibration of a circular cylinder with an attached free-to-rotate pentagram impeller. Appl. Energy 2018, 212, 304–321. [Google Scholar] [CrossRef]
- Zhu, H.; Tan, X.; Gao, Y.; Zhou, T.; Liu, W. Two-degree-of-freedom flow-induced vibration of two rigidly coupled tandem cylinders of unequal diameters. Ocean Eng. 2020, 216, 108142. [Google Scholar] [CrossRef]
- Hu, G.; Wang, J.; Su, Z.; Li, G.; Peng, H.; Kwok, K.C.S. Performance evaluation of twin piezoelectric wind energy harvesters under mutual interference. Appl. Phys. Lett. 2019, 115, 073901. [Google Scholar] [CrossRef]
- Shan, X.; Li, H.; Yang, Y.; Feng, J.; Wang, Y.; Xie, T. Enhancing the performance of an underwater piezoelectric energy harvester based on flow-induced vibration. Energy 2019, 172, 134–140. [Google Scholar] [CrossRef]
- Song, R.; Shan, X.; Lv, F.; Li, J.; Xie, T. A Novel Piezoelectric Energy Harvester Using the Macro Fiber Composite Cantilever with a Bicylinder in Water. Appl. Sci. 2015, 5, 1942–1954. [Google Scholar] [CrossRef]
- Wang, J.; Hu, G.; Su, Z.; Li, G.; Zhao, W.; Tang, L.; Zhao, L. A cross-coupled dual-beam for multi-directional energy harvesting from vortex induced vibrations. Smart Mater. Struct. 2019, 28, 12LT02. [Google Scholar] [CrossRef]
- Zhao, L.; Yang, Y. Enhanced aeroelastic energy harvesting with a beam stiffener. Smart Mater. Struct. 2015, 24. [Google Scholar] [CrossRef]
- Vocca, H.; Neri, I.; Travasso, F.; Gammaitoni, L. Kinetic energy harvesting with bistable oscillators. Appl. Energy 2012, 97, 771–776. [Google Scholar] [CrossRef]
- Zhang, L.; Abdelkefi, A.; Dai, H.; Naseer, R.; Wang, L. Design and experimental analysis of broadband energy harvesting from vortex-induced vibrations. J. Sound Vib. 2017, 408, 210–219. [Google Scholar] [CrossRef]
- Pan, D.; Ma, B.; Dai, F. Experimental investigation of broadband energy harvesting of a bi-stable composite piezoelectric plate. Smart Mater. Struct. 2017, 26, 035045. [Google Scholar] [CrossRef]
- Dai, H.L.; Abdelkefi, A.; Yang, Y.; Wang, L. Orientation of bluff body for designing efficient energy harvesters from vortex-induced vibrations. Appl. Phys. Lett. 2016, 108, 053902. [Google Scholar] [CrossRef]
- Shahruz, S. Design of mechanical band-pass filters for energy scavenging. J. Sound Vib. 2006, 292, 987–998. [Google Scholar] [CrossRef]
- Shahruz, S. Limits of performance of mechanical band-pass filters used in energy scavenging. J. Sound Vib. 2006, 293, 449–461. [Google Scholar] [CrossRef]
- Lai, Z.; Wang, S.; Zhu, L.; Zhang, G.; Wang, J.; Yang, K.; Yurchenko, D. A hybrid piezo-dielectric wind energy harvester for high-performance vortex-induced vibration energy harvesting. Mech. Syst. Signal Process. 2020, 150, 107212. [Google Scholar] [CrossRef]
- Bakhshandeh, A.; Rostami, M.; Armandei, M. Renewable energy harvesting by vortex-induced motions: Review and benchmarking of technologies. Renew. Sustain. Energy Rev. 2017, 70, 193–214. [Google Scholar]
- Moon, K.; Choe, J.; Kim, H.; Ahn, D.; Jeong, J. A method of broadening the bandwidth by tuning the proof mass in a piezoelectric energy harvesting cantilever. Sens. Actuators A Phys. 2018, 276, 17–25. [Google Scholar] [CrossRef]
- Zhu, H.J.; Wang, K.N. Wake adjustment and vortex-induced vibration of a circular cylinder with a C-shaped plate at a low Reynolds number of 100. Phys. Fluids 2019, 31, 103602. [Google Scholar]
- Abdelkefi, A.; Scanlon, J.M.; McDowell, E.; Hajj, M.R. Performance enhancement of piezoelectric energy harvesters from wake galloping. Appl. Phys. Lett. 2013, 103, 033903. [Google Scholar] [CrossRef]
- Blackburn, H.M.; Govardhan, R.N.; Williamson, C.H.K. A complementary numerical and physical investigation of vortex-induced vibration. J. Fluids Struct. 2001, 15, 481–488. [Google Scholar] [CrossRef]
- Sarpkaya, T. A critical review of the intrinsic nature of vortex-induced vibrations. J. Fluids Struct. 2004, 19, 389–447. [Google Scholar] [CrossRef]
- Williamson, C.H.K.; Govardhan, R. Vortex-induced vibrations. Annu. Rev. Fluids Mech. 2004, 36, 413–455. [Google Scholar] [CrossRef]
- Bearman, P.W. Circular cylinder wakes and vortex-induced vibrations. J. Fluids Struct. 2011, 27, 648–658. [Google Scholar] [CrossRef]
- Wu, X.; Ge, F.; Hong, Y. A review of recent studies on vortex-induced vibrations of long slender cylinders. J. Fluids Struct. 2012, 28, 292–308. [Google Scholar] [CrossRef]
- Lian, J.; Yan, X.; Liu, F.; Zhang, J. Analysis on Flow Induced Motion of Cylinders with Different Cross Sections and the Potential Capacity of Energy Transference from the Flow. Shock. Vib. 2017, 2017, 1–19. [Google Scholar] [CrossRef]
- Zhang, B.; Song, B.; Mao, Z.; Tian, W.; Li, B. Numerical investigation on VIV energy harvesting of bluff bodies with different cross sections in tandem arrangement. Energy 2017, 133, 723–736. [Google Scholar] [CrossRef]
- Ewere, F.; Wang, G.; Cain, B. Experimental investigation of galloping piezoelectric energy harvesters with square bluff bodies. Smart Mater. Struct. 2014, 23, 104012. [Google Scholar] [CrossRef]
- Zhang, M.; Zhao, G.; Wang, J. Study on Fluid-Induced Vibration Power Harvesting of Square Columns under Different Attack Angles. Geofluids 2017, 2017, 6439401. [Google Scholar] [CrossRef]
- Wang, J.; Tang, L.; Zhao, L.; Zhang, Z. Efficiency investigation on energy harvesting from airflows in HVAC system based on galloping of isosceles triangle sectioned bluff bodies. Energy 2019, 172, 1066–1078. [Google Scholar] [CrossRef]
- Zhu, H.; Tang, T.; Zhou, T.; Liu, H.; Zhong, J. Flow structures around trapezoidal cylinders and their hydrodynamic characteristics: Effects of the base length ratio and attack angle. Phys. Fluids 2020, 32, 103606. [Google Scholar] [CrossRef]
- Sirohi, J.; Mahadik, R. Harvesting Wind Energy Using a Galloping Piezoelectric Beam. J. Vib. Acoust. 2011, 134, 011009. [Google Scholar] [CrossRef]
- Liu, F.-R.; Zou, H.-X.; Zhang, W.-M.; Peng, Z.-K.; Meng, G. Y-type three-blade bluff body for wind energy harvesting. Appl. Phys. Lett. 2018, 112, 233903. [Google Scholar] [CrossRef]
- Liu, F.-R.; Zhang, W.-M.; Peng, Z.-K.; Meng, G. Fork-shaped bluff body for enhancing the performance of galloping-based wind energy harvester. Energy 2019, 183, 92–105. [Google Scholar] [CrossRef]
- Ewere, F.; Wang, G.; Frendi, A. Experimental Investigation of a Bioinspired Bluff-Body Effect on Galloping Piezoelectric Energy-Harvester Performance. AIAA J. 2018, 56, 1284–1287. [Google Scholar] [CrossRef]
- Kluger, J.; Moon, F.; Rand, R. Shape optimization of a blunt body Vibro-wind galloping oscillator. J. Fluids Struct. 2013, 40, 185–200. [Google Scholar] [CrossRef]
- Yang, Y.W.; Zhao, L.Y.; Tang, L.H. Comparative study of tip cross-sections for efficient galloping energy Shock and Vibration 17 harvesting. Appl. Phys. Lett. 2013, 102, 064105. [Google Scholar] [CrossRef]
- Amandolese, X.; Hemon, P. Vortex-induced vibration of a square cylinder in wind tunnel. Comptes Rendus Mécanique 2010, 338, 12–17. [Google Scholar] [CrossRef]
- Iungo, G.V.; Buresti, G. Experimental investigation on the aerodynamic loads and wake flow features of low aspect-ratio triangular prisms at different wind directions. J. Fluids Struct. 2009, 25, 1119–1135. [Google Scholar] [CrossRef]
- Sunden, B. A-to-Z Guide to Thermodynamics; Oxford University Press: Oxford, UK, 1998. [Google Scholar]
- Farshidianfar, A.; Dolatabadi, N. Modified higher-order wake oscillator model for vortex-induced vibration of circular cylinders. Acta Mech. 2013, 224, 1441–1456. [Google Scholar] [CrossRef]
- Diltz, N.; Gagnon, J.; O’Connor, J.; Wedell, J. Vortex Induced Vibration Energy Harvesting through Piezoelectric Transducers. Bachelor’s Thesis, Worcester Polytechnic Institute, San Francisco, CA, USA, 2017. [Google Scholar]
- Erturk, A. Electromechanical Modeling of Piezoelectric Energy Harvesters. Ph.D. Thesis, Virginia Polytechnic Institute and State University, Blacksburg, VA, USA, 2009. [Google Scholar]





















| Design Parametrs | Value |
|---|---|
| R | 2 × 106 Ω |
| D | 50 mm |
| U | VARIES |
| 160 mm | |
| L | 90 mm |
| 5 mm | |
| 70 mm | |
| 0.6 mm | |
| 34 mm | |
| 0.3 mm | |
| 28 mm |
| Design Parametrs | Optimal Value |
|---|---|
| R | 840 kΩ |
| D | 49 mm |
| U | 1 m/s |
| 160 mm | |
| L | 90 mm |
| 2.5 mm | |
| 70 mm | |
| 6 mm | |
| 34 mm | |
| 0.3 mm | |
| 31.5 mm |
| Piezoelectric Material | |||
|---|---|---|---|
| MFC | |||
| PZT-5A | |||
| PZT-5H | |||
| PMN-PT (30% PT) |
| Model | |||
|---|---|---|---|
| Optimal Model | |||
| Model A | |||
| Model B | |||
| Model C |
Publisher’s Note: MDPI stays neutral with regard to jurisdictional claims in published maps and institutional affiliations. |
© 2021 by the authors. Licensee MDPI, Basel, Switzerland. This article is an open access article distributed under the terms and conditions of the Creative Commons Attribution (CC BY) license (https://creativecommons.org/licenses/by/4.0/).
Share and Cite
Hamdan, C.; Allport, J.; Sajedin, A. Piezoelectric Power Generation from the Vortex-Induced Vibrations of a Semi-Cylinder Exposed to Water Flow. Energies 2021, 14, 6964. https://doi.org/10.3390/en14216964
Hamdan C, Allport J, Sajedin A. Piezoelectric Power Generation from the Vortex-Induced Vibrations of a Semi-Cylinder Exposed to Water Flow. Energies. 2021; 14(21):6964. https://doi.org/10.3390/en14216964
Chicago/Turabian StyleHamdan, Christina, John Allport, and Azadeh Sajedin. 2021. "Piezoelectric Power Generation from the Vortex-Induced Vibrations of a Semi-Cylinder Exposed to Water Flow" Energies 14, no. 21: 6964. https://doi.org/10.3390/en14216964
APA StyleHamdan, C., Allport, J., & Sajedin, A. (2021). Piezoelectric Power Generation from the Vortex-Induced Vibrations of a Semi-Cylinder Exposed to Water Flow. Energies, 14(21), 6964. https://doi.org/10.3390/en14216964

