Analysis and Optimization of Cooling Water System Operating Cost under Changes in Ambient Temperature and Working Medium Flow
Abstract
:1. Introduction
2. CCWS Superstructure
3. Numerical Simulation
3.1. Model Formula
- (1)
- The pressure drop in the common section of parallel branches is ignored.
- (2)
- The heat loss of the entire system is ignored.
- (3)
- The effect of make-up water on water supply temperature is ignored.
- (4)
- The load rates of all heat exchangers increase or decrease simultaneously at the same proportion.
3.1.1. Heat Exchanger Model Formula
3.1.2. Cooling Tower and Fan Model Formula
3.1.3. Pipe Network and Pump Model Formula
3.2. Objective Function
3.3. Numerical Method
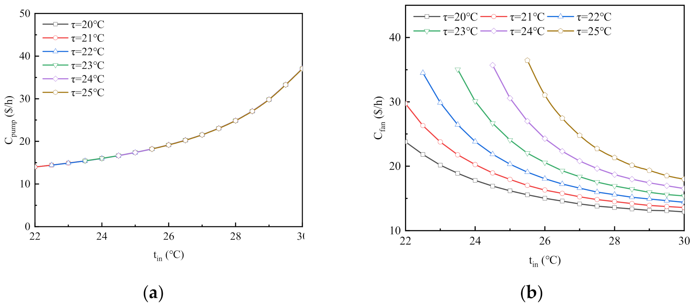
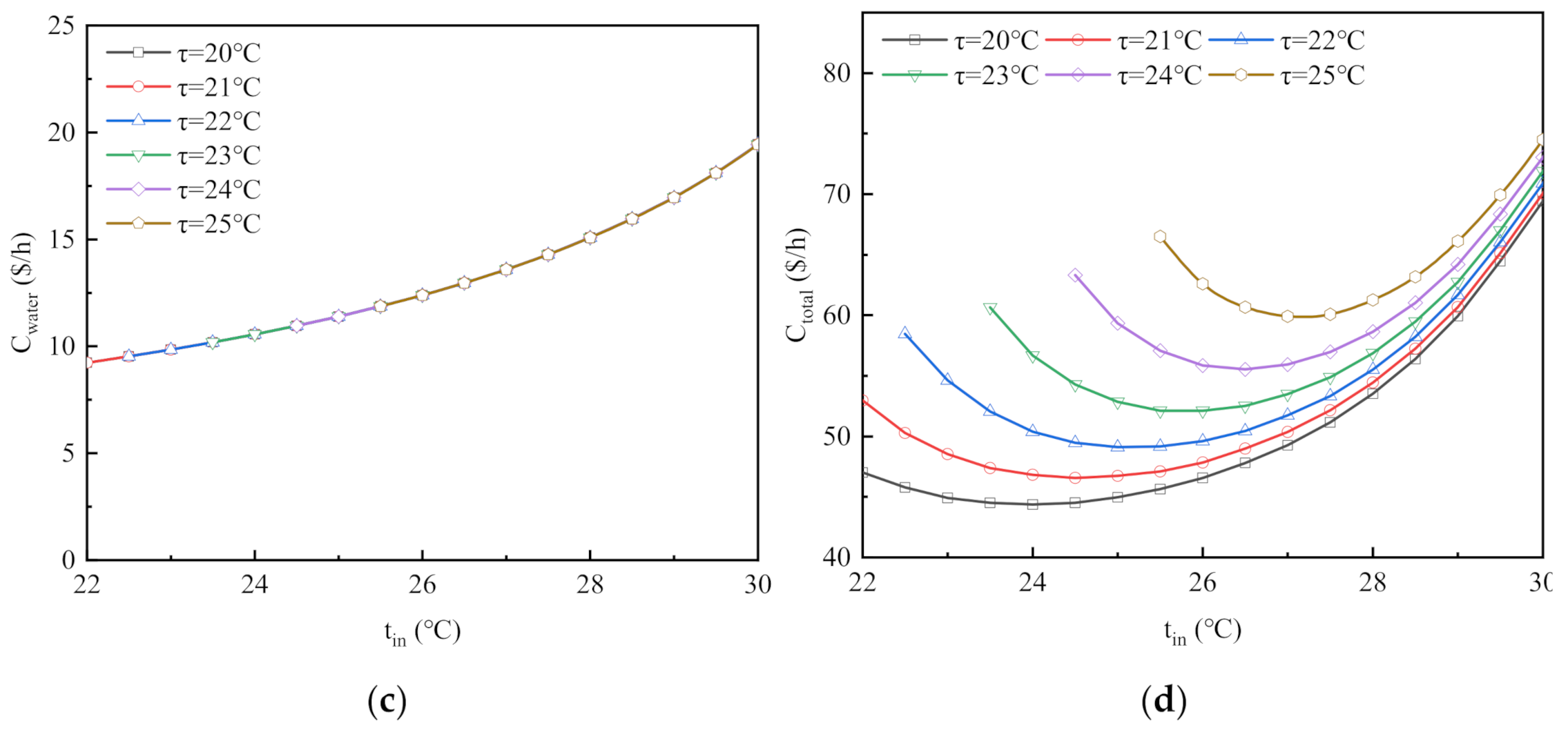
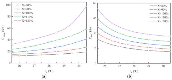
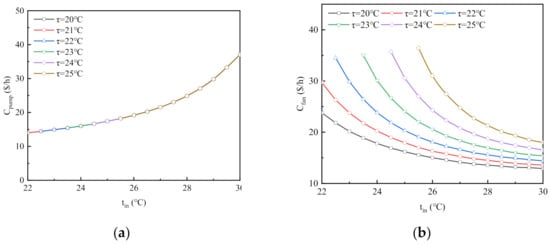
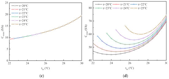
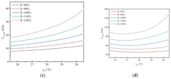
4. Sensitivity of Operation Cost to Ambient Temperature and Working Medium Flow
5. Operation Optimization
5.1. Optimal Water Supply Temperature
5.2. Correlation of Optimal Water Supply Temperature with Ambient Wet Bulb Temperature and Load Rate
5.3. Method Validation
5.4. Optimization Effect
6. Conclusions
- (1)
- The effect of ambient dry bulb temperature on the total system operation cost is extremely small and can be ignored. The operating costs of the cooling tower fan, water pump, and make-up pump are highly sensitive to ambient wet bulb temperature and working medium flow. They increase rapidly with the increase in ambient wet bulb temperature or load rate.
- (2)
- With the increase in water supply temperature, the total operation cost of the system initially decreases then increases. An extremely low or extremely high water supply temperature causes a significant increase in operation cost. With the increase in wet bulb temperature or load rate, the total operation cost of the system becomes increasingly sensitive to water supply temperature.
- (3)
- The optimal water supply temperature and ambient wet bulb temperature increase and decrease at the same time, and a high load rate strengthens the effect of ambient wet bulb temperature on the optimal water supply temperature. The optimal water supply temperature decreases slightly with the increase in load rate, and a high ambient wet bulb temperature weakens the effect of load rate on the optimal water supply temperature.
- (4)
- The optimization results show that considering the changes in ambient wet bulb temperature and working medium flow can effectively reduce the operation cost of the system. The control equation for the optimal water supply temperature can guide the system to adapt to the current working conditions for operation optimization and can facilitate the planning of future working conditions. It can also help evaluate the capability of the system to deal with extreme wet bulb temperature or extreme load rate. A control equation for optimal water supply temperature that is similar to Equation (24) should be customized for all systems.
Author Contributions
Funding
Conflicts of Interest
Nomenclature
| CCWS | Circulating cooling water system |
| VFD | Variable frequency drive |
| List of Symbols | |
| Heat transfer area | |
| Test factor of filler | |
| Specific heat of the working medium | |
| Specific heat of cooling water | |
| Fan operational cost | |
| Pump operational cost | |
| Total operating cost | |
| Cost of make-up water | |
| d | Tube inner diameter |
| Air enthalpy | |
| Enthalpy of saturated air | |
| Acceleration of gravity | |
| Total air flow | |
| Height of the heat exchanger | |
| Liquid level height | |
| Head loss from node 0 to node 2 (Figure 1) | |
| Head loss on branch i | |
| Operating head of the pump | |
| Heat coefficient taken away by evaporated water | |
| Convective heat transfer coefficient of the shell side in reference state | |
| Convective heat transfer coefficient of the tube side in reference state | |
| L | Tube length |
| Working medium flow | |
| Flow of working medium in reference state | |
| Number of tubes in a heat exchanger | |
| Number of concentration cycles | |
| Number of tube passes of a heat exchanger | |
| Atmospheric pressure | |
| Instantaneous power of the pump | |
| Instantaneous power of the fan | |
| Electricity price | |
| Water price | |
| Saturated water vapor pressure | |
| Water flowrate lost by entrainment | |
| Water flowrate lost by evaporation | |
| Flow of cooling water in reference state | |
| Flow of cooling water on branch i | |
| Water flowrate lost by leakage | |
| Make-up water flow | |
| Purged water flowrate | |
| Total flow of cooling water | |
| Dirt thermal resistance | |
| Cooling water outlet temperature | |
| System supply water temperature | |
| Optimal water supply temperature | |
| System return water temperature | |
| Working medium inlet temperature | |
| Working medium outlet temperature | |
| Production load rate | |
| Cooling water flow ratio | |
| Heat exchange | |
| Relative humidity | |
| Correction coefficient of make-up water flow | |
| Test factor of filler | |
| Air–water ratio | |
| Environmental dry bulb temperature | |
| Environmental wet bulb temperature | |
| Density of cooling water | |
| Density of air | |
| Pump operation efficiency | |
| Pump motor operating efficiency | |
| Constants related to a fan | |
| Large temperature difference between both sides | |
| Small temperature difference between both sides | |
| Pressure loss of a heat exchanger | |
| Pressure loss of a branch pipeline |
References
- Huang, M.-T.; Zhai, P.-M. Achieving Paris Agreement temperature goals requires carbon neutrality by middle century with far-reaching transitions in the whole society. Adv. Clim. Chang. Res. 2021, 12, 281–286. [Google Scholar] [CrossRef]
- Zhu, X.; Wang, F.; Niu, D. Energy-saving transformation of circulating cooling water system based on energy-saving bottleneck diagnosis. Control Decis. China 2019, 35, 8. [Google Scholar]
- Suo, R.; Wang, Y.; Feng, X. Optimization of circulating water network considering heat transfer enhancement. Comput. Appl. Chem. 2015, 32, 1439–1442. [Google Scholar]
- Chen, L. Energy Saving and Emission Reduction Technology in Industrial Circulating Water System; Anhui Jianzhu University: Hefei, China, 2017. [Google Scholar]
- Linnhoff, B.; Hindmarsh, E. The pinch design method for heat exchanger networks. Chem. Eng. Sci. 1983, 38, 745–763. [Google Scholar] [CrossRef]
- Polley, G.T.; Shahi, M.H. Interfacing Heat Exchanger Network Synthesis and Detailed Heat Exchanger Design. Chem. Eng. Res. Des. 1991, 69, 445–457. [Google Scholar]
- Panjeshahi, M.; Tahouni, N. Pressure drop optimisation in debottlenecking of heat exchanger networks. Energy 2008, 33, 942–951. [Google Scholar] [CrossRef]
- Jiang, N.; Lin, L.; Wang, L. Heat exchanger network integration considering pressure drops and multiple shells. CIESC J. 2013, 64, 4128–4136. [Google Scholar]
- Torkfar, F.; Avami, A. A simultaneous methodology for the optimal design of integrated water and energy networks considering pressure drops in process industries. Process. Saf. Environ. Prot. 2016, 103, 442–454. [Google Scholar]
- Sun, J.; Feng, X.; Wang, Y.; Deng, C.; Chu, K.H. Pump network optimization for a cooling water system. Energy 2014, 67, 506–512. [Google Scholar] [CrossRef]
- Ma, J.; Wang, Y.; Feng, X. Simultaneous optimization of pump and cooler networks in a cooling water system. Appl. Therm. Eng. Des. Process. Equip. Econ. 2017, 125, 377–385. [Google Scholar] [CrossRef]
- Zhang, H.; Feng, X.; Wang, Y.; Zhang, Z. Sequential optimization of cooler and pump networks with different types of cooling. Energy 2019, 179, 815–822. [Google Scholar] [CrossRef]
- Ma, J.; Wang, Y.; Feng, X. Energy recovery in cooling water system by hydro turbines. Energy 2017, 139, 329–340. [Google Scholar] [CrossRef]
- Gao, W.; Feng, X. The power target of a fluid machinery network in a circulating water system. Appl. Energy 2017, 205, 847–854. [Google Scholar] [CrossRef]
- Gao, W.; Feng, X. Synthesis of the fluid machinery network in a circulating water system. Chin. J. Chem. Eng. 2019, 27, 114–124. [Google Scholar] [CrossRef]
- Lee, H.; Teo, K.; Cai, X. An optimal control approach to nonlinear mixed integer programming problems. Comput. Math. Appl. 1998, 36, 87–105. [Google Scholar] [CrossRef] [Green Version]
- Kim, J.-K.; Smith, R. Automated retrofit design of cooling-water systems. AIChE J. 2003, 49, 1712–1730. [Google Scholar] [CrossRef]
- Panjeshahi, M.H.; Ataei, A. Application of an environmentally optimum cooling water system design in water and energy conservation. Int. J. Environ. Sci. Technol. 2008, 5, 251–262. [Google Scholar]
- Ma, J. Simultaneous Optimization of Cooler Network, Pump Network, and Cooling Tower. In Proceedings of the 27th European Symposium on Computer Aided Process Engineering, Part A, Barcelona, Spain, 1–5 October 2017; pp. 763–768. [Google Scholar]
- Zhu, X.; Wang, F.; Niu, D.; Zhao, L. Integrated Modeling and Operation Optimization of Circulating Cooling Water System Based on Superstructure. Appl. Therm. Eng. 2017, 127, 1382–1390. [Google Scholar] [CrossRef]
- Zhao, S. The Principle of Cooling Tower Technology; China Construction Industry Press: Beijing, China, 2015. [Google Scholar]
- Muangnoi, T.; Asvapoositkul, W.; Wongwises, S. Effects of inlet relative humidity and inlet temperature on the performance of counterflow wet cooling tower based on exergy analysis. Energy Convers. Manag. 2008, 49, 2795–2800. [Google Scholar] [CrossRef]
- Hajidavalloo, E.; Shakeri, R.; Mehrabian, M.A. Thermal performance of cross flow cooling towers in variable wet bulb temperature. Energy Convers. Manag. 2010, 51, 1298–1303. [Google Scholar] [CrossRef]
- Papaefthimiou, V.; Rogdakis, E.; Koronaki, I.; Zannis, T. Thermodynamic study of the effects of ambient air conditions on the thermal performance characteristics of a closed wet cooling tower. Appl. Therm. Eng. 2012, 33–34, 199–207. [Google Scholar] [CrossRef]
- Pontes, R.F.; Yamauchi, W.M.; Silva, E.K. Analysis of the Effect of Seasonal Climate Changes on Cooling Tower Efficiency, and Strategies for Reducing Cooling Tower Power Consumption. Appl. Therm. Eng. 2019, 161, 114148. [Google Scholar] [CrossRef]
- Castro, M.M.; Song, T.W.; Pinto, J.M. Minimization of Operational Costs in Cooling Water Systems. Chem. Eng. Res. Des. 2000, 78, 192–201. [Google Scholar] [CrossRef]
- Liao, J.; Xie, X.; Nemer, H.; Claridge, D.E.; Culp, C.H. A simplified methodology to optimize the cooling tower approach temperature control schedule in a cooling system. Energy Convers. Manag. 2019, 199, 111950.1–111950.9. [Google Scholar] [CrossRef]
- Liu, W. Handbook of Process Calculation for Cold Exchange Equipment; China Petrochemical Press: Beijing, China, 2003. [Google Scholar]
- Yu, J.Z. Principle and Design of Heat Exchanger; Beijing University of Aeronautics and Astronautics Press: Beijing, China, 2006. [Google Scholar]
- Merkel, F. Verdunstungskühlung; No. 275, Verdunstungskuhlung; VDI Forschungsarbeiten: Berlin, Germany, 1925. [Google Scholar]
- Chen, X.Z.; Cai, Z.Y.; Hu, W.M. Chemical Engineering Thermodynamics, 2nd ed.; Chemical Industry Press: Beijing, China, 2008. [Google Scholar]
- Guan, X.F. Modern Pump Theory and Design; China Aerospace Press: Beijing, China, 2011. [Google Scholar]
- Perry, R.H.; Green, D. Perry’s Chemical Engineers’ Handbook; McGraw Hill: New York, NY, USA, 1997. [Google Scholar]
- The Mathworks Matlabs Optimization Toolbox. USA. 2017. Available online: https://www.mathworks.com/ (accessed on 25 August 2021).












| Unit | Performance Parameter | ||||||
|---|---|---|---|---|---|---|---|
| Pump | |||||||
| (= 43.84, = 8.70.10−3, = 3.33.10−6, = 0.34, = 4.22.10−4, = 7.77.10−8) | |||||||
| Heat Exchanger | Ei | d (m) | L (m) | n | Np | A (m2) | (m) |
| E1 | 0.019 | 12.9 | 1930 | 1 | 1602 | 26 | |
| E2 | 0.019 | 12.6 | 1750 | 1 | 1413 | 11 | |
| E3 | 0.019 | 11.0 | 1391 | 1 | 980 | 9 | |
| E4 | 0.019 | 10.8 | 923 | 1 | 639 | 9 | |
| E5 | 0.020 | 6.0 | 872 | 1 | 399 | 5 | |
| Cooling Tower | , , | ||||||
| = 110% | = 120% | ||||
|---|---|---|---|---|---|
| τ = 15 °C | 22 | 21.5 | 21 | 20.5 | 20 |
| τ = 18 °C | 23.7 | 23.4 | 22.8 | 22.3 | 21.8 |
| τ = 21 °C | 25.5 | 25 | 24.5 | 24 | 23.6 |
| τ = 24 °C | 27.5 | 27 | 26.5 | 26 | 25.5 |
| τ = 27 °C | 29.3 | 29 | 28.6 | 28.2 | 28 |
| τ = 30 °C | 31.1 | 31 | 30.9 | 30.7 | 30.5 |
| Coefficient | Optimal Value | Unit |
|---|---|---|
| 28.79 | °C | |
| −1.08 | [-] | |
| −8.131 | °C | |
| 0.1266 | °C−1 | |
| 0.7711 | [-] | |
| −0.004387 | °C−2 | |
| −0.05576 | °C−1 | |
| 4.999 × 10-5 | °C−3 | |
| 0.001247 | °C−2 |
| Working Conditions | 1 | 2 | 3 | 4 | 5 | 6 | 7 |
|---|---|---|---|---|---|---|---|
| τ (°C) | 16.0 | 21.5 | 23.7 | 18.5 | 26.8 | 25.7 | 20.8 |
| X (%) | 110 | 105 | 100 | 110 | 90 | 95 | 110 |
| Model calculation Ctotal ($/h) | 39.2 | 46.6 | 49.6 | 43.0 | 52.1 | 53.2 | 50.5 |
| Actual operation Ctotal ($/h) | 40.5 | 47.6 | 52.0 | 45.3 | 51.5 | 51.7 | 52.4 |
| Error rate (%) | 3.3 | 2.2 | 4.6 | 5.1 | −1.2 | −2.9 | 3.6 |
| Time | 0 | 1 | 2 | 3 | 4 | 5 | 6 | 7 | 8 | 9 | 10 | 11 |
|---|---|---|---|---|---|---|---|---|---|---|---|---|
| τ (°C) | 17.1 | 16.2 | 16.5 | 16.2 | 15.7 | 16.8 | 15.7 | 16.3 | 16.9 | 16.6 | 17 | 18 |
| X (%) | 110 | 110 | 110 | 110 | 110 | 110 | 110 | 100 | 100 | 100 | 100 | 100 |
| tin (°C) | 26 | 26 | 26 | 26 | 26 | 26 | 26 | 26.5 | 26.5 | 26.5 | 27 | 27 |
| Time | 12 | 13 | 14 | 15 | 16 | 17 | 18 | 19 | 20 | 21 | 22 | 23 |
| τ (°C) | 19.1 | 18.8 | 19.4 | 19.2 | 19 | 18 | 17.1 | 17.1 | 16.9 | 17.1 | 17.3 | 17 |
| X (%) | 100 | 100 | 100 | 100 | 100 | 100 | 100 | 100 | 110 | 110 | 110 | 110 |
| tin (°C) | 27 | 28 | 28 | 28 | 28 | 28 | 27.5 | 27.5 | 26 | 26 | 26 | 26 |
Publisher’s Note: MDPI stays neutral with regard to jurisdictional claims in published maps and institutional affiliations. |
© 2021 by the authors. Licensee MDPI, Basel, Switzerland. This article is an open access article distributed under the terms and conditions of the Creative Commons Attribution (CC BY) license (https://creativecommons.org/licenses/by/4.0/).
Share and Cite
Wang, P.; Lu, J.; Cai, Q.; Chen, S.; Luo, X. Analysis and Optimization of Cooling Water System Operating Cost under Changes in Ambient Temperature and Working Medium Flow. Energies 2021, 14, 6903. https://doi.org/10.3390/en14216903
Wang P, Lu J, Cai Q, Chen S, Luo X. Analysis and Optimization of Cooling Water System Operating Cost under Changes in Ambient Temperature and Working Medium Flow. Energies. 2021; 14(21):6903. https://doi.org/10.3390/en14216903
Chicago/Turabian StyleWang, Peng, Jinling Lu, Qingsen Cai, Senlin Chen, and Xingqi Luo. 2021. "Analysis and Optimization of Cooling Water System Operating Cost under Changes in Ambient Temperature and Working Medium Flow" Energies 14, no. 21: 6903. https://doi.org/10.3390/en14216903
APA StyleWang, P., Lu, J., Cai, Q., Chen, S., & Luo, X. (2021). Analysis and Optimization of Cooling Water System Operating Cost under Changes in Ambient Temperature and Working Medium Flow. Energies, 14(21), 6903. https://doi.org/10.3390/en14216903
