Study on the Efficiency and Dynamic Characteristics of an Energy Harvester Based on Flexible Structure Galloping
Abstract
:1. Introduction
2. Design and Modeling of the Energy Harvester
2.1. Configuration
2.2. CFD Mathematical Model
2.3. Piezoelectric Performance Equation
3. CFD Simulation Method
3.1. Numerical Methods
3.2. Computational Fluid Domain and Grid
3.3. Solving Method
3.4. Validation of Numerical Model
4. Experimental Method
5. Results and Discussion
5.1. Performance Analysis of the Harvester
5.2. Dynamic Characteristics Analysis
6. Conclusions
- The flexible structure experienced four FIM stages. The wind speed increased to 8 m/s in the transition zone between vortex-induced resonance and galloping. When the wind speed reached 10 m/s, it started to gallop completely, and the harvester system experienced low-frequency and high-amplitude vibration.
- Within the studied wind speed range of 3–10 m/s, it was found that as the wind speed increased, the vortex-induced shedding frequency of the flexible structure first increased and then decreased, but the associated displacement increased consistently.
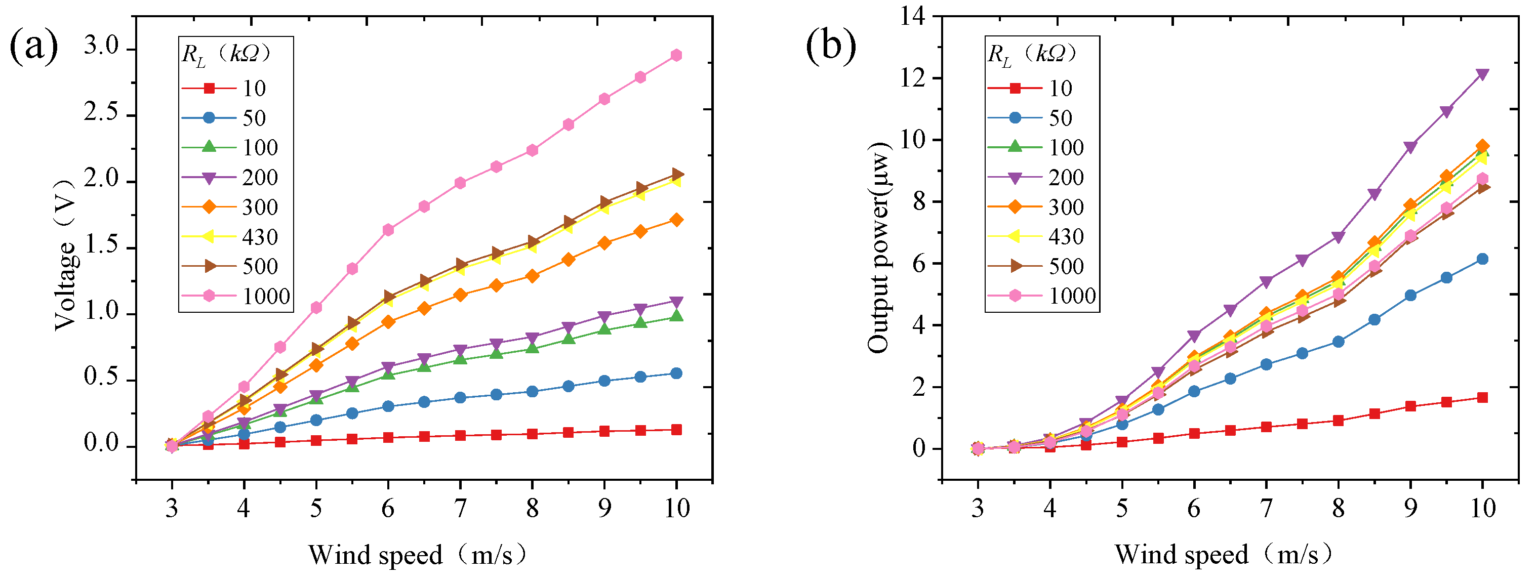
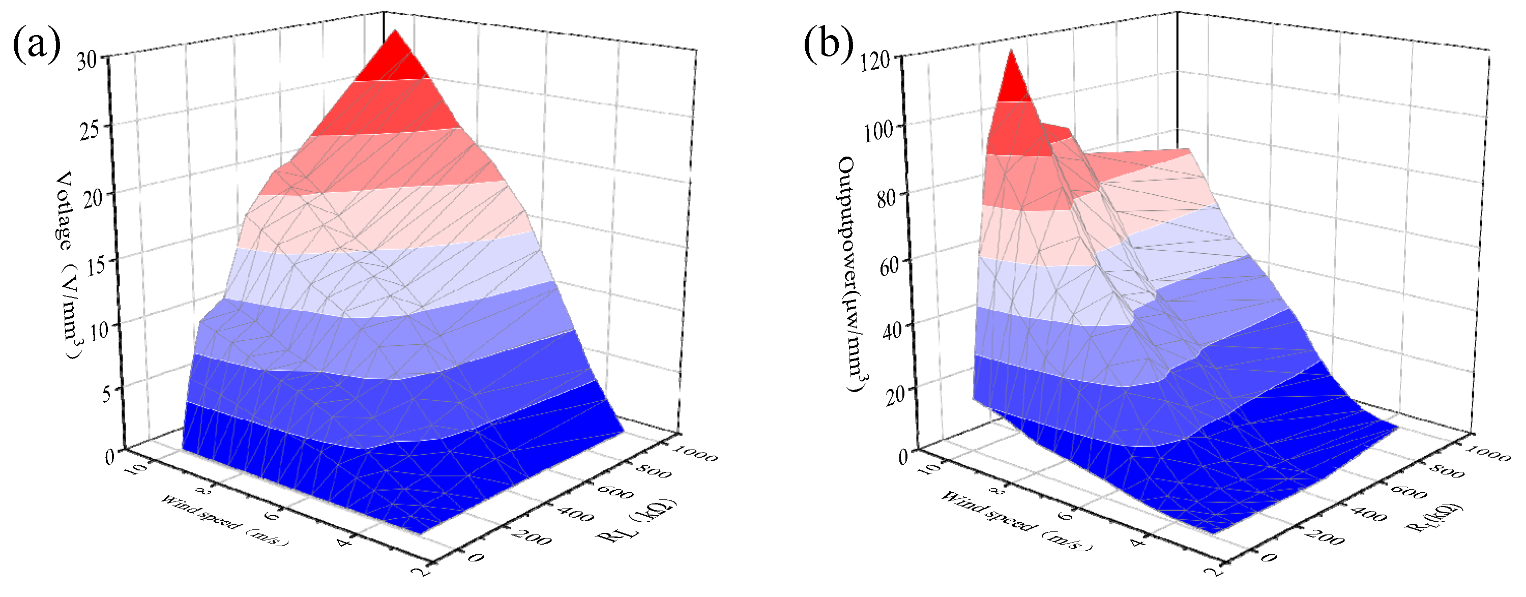
- When the resistance was constant, the output voltage and power of the harvester increased with the increase of wind speed. When the wind speed was constant, the output voltage increased consistently with increasing resistance. By contrast, the output electric power first increased and then decreased with the resistance, and there was optimal resistance at around 100 kΩ. The maximum output power of the energy harvester was 119.7 μW/mm3.
Author Contributions
Funding
Data Availability Statement
Conflicts of Interest
Appendix A
References
- Kabir, E.; Kumar, P.; Kumar, S.; Adelodun, A.A.; Kim, K.-H. Solar energy: Potential and future prospects. Renew. Sustain. Energy Rev. 2018, 82, 894–900. [Google Scholar] [CrossRef]
- Sarpkaya, T. A critical review of the intrinsic nature of vortex-induced vibrations. J. Fluids Struct. 2004, 19, 389–447. [Google Scholar] [CrossRef]
- Wang, J.; Geng, L.; Ding, L.; Zhu, H.; Yurchenko, D. The state-of-the-art review on energy harvesting from flow-induced vibrations. Appl. Energy 2020, 267, 114902. [Google Scholar] [CrossRef]
- Wang, J.; Zhao, G.; Zhang, M.; Zhang, Z. Efficient study of a coarse structure number on the bluff body during the harvesting of wind energy. Energy Sources Part A Recovery Util. Environ. Eff. 2018, 40, 1788–1797. [Google Scholar] [CrossRef]
- Khalak, A.; Williamson, C. Fluid forces and dynamics of a hydroelastic structure with very low mass and damping. J. Fluids Struct. 1997, 11, 973–982. [Google Scholar] [CrossRef]
- Khalak, A.; Williamson, C.H. Motions, forces and mode transitions in vortex-induced vibrations at low mass-damping. J. Fluids Struct. 1999, 13, 813–851. [Google Scholar] [CrossRef]
- An, X.; Song, B.; Tian, W.; Ma, C. Design and CFD simulations of a vortex-induced piezoelectric energy converter (VIPEC) for underwater environment. Energies 2018, 11, 330. [Google Scholar] [CrossRef] [Green Version]
- Zhang, B.; Mao, Z.; Song, B.; Tian, W.; Ding, W. Numerical investigation on VIV energy harvesting of four cylinders in close staggered formation. Ocean. Eng. 2018, 165, 55–68. [Google Scholar] [CrossRef]
- Akaydin, H.; Elvin, N.; Andreopoulos, Y. The performance of a self-excited fluidic energy harvester. Smart Mater. Struct. 2012, 21, 025007. [Google Scholar] [CrossRef]
- Bashir, M.; Rajendran, P.; Khan, S. Energy harvesting from aerodynamic instabilities: Current prospect and future trends. In IOP Conference Series: Materials Science and Engineering; IOP Publishing: Bristol, UK, 2018; p. 012054. [Google Scholar]
- Jung, H.-J.; Lee, S.-W.; Jang, D.-D. Feasibility study on a new energy harvesting electromagnetic device using aerodynamic instability. IEEE Trans. Magn. 2009, 45, 4376–4379. [Google Scholar] [CrossRef]
- Barrero-Gil, A.; Alonso, G.; Sanz-Andres, A. Energy harvesting from transverse galloping. J. Sound Vib. 2010, 329, 2873–2883. [Google Scholar] [CrossRef] [Green Version]
- Wang, J.; Tang, L.; Zhao, L.; Zhang, Z. Efficiency investigation on energy harvesting from airflows in HVAC system based on galloping of isosceles triangle sectioned bluff bodies. Energy 2019, 172, 1066–1078. [Google Scholar] [CrossRef]
- Javed, U.; Abdelkefi, A. Impacts of the aerodynamic force representation on the stability and performance of a galloping-based energy harvester. J. Sound Vib. 2017, 400, 213–226. [Google Scholar] [CrossRef]
- Zhao, L.; Tang, L.; Yang, Y. Comparison of modeling methods and parametric study for a piezoelectric wind energy harvester. Smart Mater. Struct. 2013, 22, 125003. [Google Scholar] [CrossRef]
- Hu, G.; Tse, K.T.; Kwok, K.C.S.; Song, J.; Lyu, Y. Aerodynamic modification to a circular cylinder to enhance the piezoelectric wind energy harvesting. Appl. Phys. Lett. 2016, 109, 193902. [Google Scholar] [CrossRef]
- Sirohi, J.; Mahadik, R. Piezoelectric wind energy harvester for low-power sensors. J. Intell. Mater. Syst. Struct. 2011, 22, 2215–2228. [Google Scholar] [CrossRef]
- Novak, M. Galloping oscillations of prismatic structures. J. Eng. Mech. Div. 1972, 98, 27–46. [Google Scholar] [CrossRef]
- Ma, G.-M.; Li, Y.-B.; Mao, N.-Q.; Shi, C.; Li, C.-R.; Zhang, B. A fiber Bragg grating-based dynamic tension detection system for overhead transmission line galloping. Sensors 2018, 18, 365. [Google Scholar] [CrossRef] [Green Version]
- Okajima, A. Strouhal numbers of rectangular cylinders. J. Fluid Mech. 1982, 123, 379–398. [Google Scholar] [CrossRef] [Green Version]
- Den Hartog, J.P. Mechanical Vibrations; Courier Corporation: Honolulu, HI, USA, 1985. [Google Scholar]
- Zhu, M.; Worthington, E.; Njuguna, J. Analyses of power output of piezoelectric energy-harvesting devices directly connected to a load resistor using a coupled piezoelectric-circuit finite element method. IEEE Trans. Ultrason. Ferroelectr. Freq. Control. 2009, 56, 1309–1317. [Google Scholar] [CrossRef] [Green Version]
- Barrero-Gil, A.; Sanz-Andres, A.; Roura, M. Transverse galloping at low Reynolds numbers. J. Fluids Struct. 2009, 25, 1236–1242. [Google Scholar] [CrossRef] [Green Version]
- De Langre, E. Fluides et Solides; Editions Ecole Polytechnique: Palaiseau, France, 2001. [Google Scholar]
- Priya, S.; Uchino, K.; Viehland, D. IEEE Standard on Piezoelectricity; American National Standards Institute: Washington, DC, USA, 1976. [Google Scholar]
- Menter, F.R. Two-equation eddy-viscosity turbulence models for engineering applications. AIAA J. 1994, 32, 1598–1605. [Google Scholar] [CrossRef] [Green Version]
- Ding, L.; Zhang, L.; Bernitsas, M.M.; Chang, C.-C. Numerical simulation and experimental validation for energy harvesting of single-cylinder VIVACE converter with passive turbulence control. Renew. Energy 2016, 85, 1246–1259. [Google Scholar] [CrossRef] [Green Version]
- Park, K.; Underwood, P. A variable-step central difference method for structural dynamics analysis—Part 1. Theoretical aspects. Comput. Methods Appl. Mech. Eng. 1980, 22, 241–258. [Google Scholar] [CrossRef]
- Chan, W.M. Overset grid technology development at NASA Ames Research Center. Comput. Fluids 2009, 38, 496–503. [Google Scholar] [CrossRef]
- Shih, T. Overset grids: Fundamental and practical issues. In Proceedings of the 20th AIAA Applied Aerodynamics Conference, St. Louis, MO, USA, 24–26 June 2002; p. 3259. [Google Scholar]
- Salim, S.M.; Cheah, S. Wall Y strategy for dealing with wall-bounded turbulent flows. In Proceedings of the International Multiconference of Engineers and Computer Scientists, Hong Kong, China, 18–20 March 2009; pp. 2165–2170. [Google Scholar]
- Moukalled, F.; Mangani, L.; Darwish, M. The Finite Volume Method in Computational Fluid Dynamics; Springer: Berlin/Heidelberg, Germany, 2016; Volume 113. [Google Scholar]
- Patankar, S.V. Numerical Heat Transfer and Fluid Flow; CRC Press: Boca Raton, FL, USA, 2018. [Google Scholar]
- Cao, Y.; Tamura, T. Large-eddy simulations of flow past a square cylinder using structured and unstructured grids. Comput. Fluids 2016, 137, 36–54. [Google Scholar] [CrossRef]
- Trias, F.; Gorobets, A.; Oliva, A. Turbulent flow around a square cylinder at Reynolds number 22,000: A DNS study. Comput. Fluids 2015, 123, 87–98. [Google Scholar] [CrossRef] [Green Version]
- Li, S.; Lipson, H. Vertical-stalk flapping-leaf generator for wind energy harvesting, Smart materials, adaptive structures and intelligent systems. In Proceedings of the ASME 2009 Conference on Smart Materials, Adaptive Structures and Intelligent Systems, Oxnard, CA, USA, 21–23 September 2009; pp. 611–619. [Google Scholar]
- Li, X.; Lyu, Z.; Kou, J.; Zhang, W. Mode competition in galloping of a square cylinder at low Reynolds number. J. Fluid Mech. 2019, 867, 516–555. [Google Scholar] [CrossRef]
- Ding, L.; Zhang, L.; Wu, C.; Mao, X.; Jiang, D. Flow induced motion and energy harvesting of bluff bodies with different cross sections. Energy Convers. Manag. 2015, 91, 416–426. [Google Scholar] [CrossRef]
- Zhang, B.; Mao, Z.; Song, B.; Ding, W.; Tian, W. Numerical investigation on effect of damping-ratio and mass-ratio on energy harnessing of a square cylinder in FIM. Energy 2018, 144, 218–231. [Google Scholar] [CrossRef]
- Sun, H.; Kim, E.S.; Nowakowski, G.; Mauer, E.; Bernitsas, M.M. Effect of mass-ratio, damping, and stiffness on optimal hydrokinetic energy conversion of a single, rough cylinder in flow induced motions. Renew. Energy 2016, 99, 936–959. [Google Scholar] [CrossRef] [Green Version]
- Wang, J.; Sun, S.; Hu, G.; Yang, Y.; Tang, L.; Li, P.; Zhang, G. Exploring the potential benefits of using metasurface for galloping energy harvesting. Energy Convers. Manag. 2021, 243, 114414. [Google Scholar] [CrossRef]
















| Item | Symbol | Value |
|---|---|---|
| Mass(g) | M | 0.144 |
| Diameter(mm) | D | 30 |
| Stiffness (N/m) | K | 30.2 |
| Damping ratio | 0.0018 | |
| Air density(Kg/m³) | 1.225 | |
| Motion viscosity (m2·s−1) | v | 1.41 × 10−6 |
| Grid Density | CD | CL | St |
|---|---|---|---|
| Coarse (32,414) | 2.20 | 1.44 | 0.128 |
| Medium (43,954) | 2.25 (2.27%) | 1.41 (2.08%) | 0.127 (0.78%) |
| Fine (96,153) | 2.26 (2.65%) | 1.45 (0.90%) | 0.127 (0.78%) |
Publisher’s Note: MDPI stays neutral with regard to jurisdictional claims in published maps and institutional affiliations. |
© 2021 by the authors. Licensee MDPI, Basel, Switzerland. This article is an open access article distributed under the terms and conditions of the Creative Commons Attribution (CC BY) license (https://creativecommons.org/licenses/by/4.0/).
Share and Cite
Liao, P.; Fu, J.; Ma, W.; Cai, Y.; He, Y. Study on the Efficiency and Dynamic Characteristics of an Energy Harvester Based on Flexible Structure Galloping. Energies 2021, 14, 6548. https://doi.org/10.3390/en14206548
Liao P, Fu J, Ma W, Cai Y, He Y. Study on the Efficiency and Dynamic Characteristics of an Energy Harvester Based on Flexible Structure Galloping. Energies. 2021; 14(20):6548. https://doi.org/10.3390/en14206548
Chicago/Turabian StyleLiao, Peng, Jiyang Fu, Wenyong Ma, Yuan Cai, and Yuncheng He. 2021. "Study on the Efficiency and Dynamic Characteristics of an Energy Harvester Based on Flexible Structure Galloping" Energies 14, no. 20: 6548. https://doi.org/10.3390/en14206548
APA StyleLiao, P., Fu, J., Ma, W., Cai, Y., & He, Y. (2021). Study on the Efficiency and Dynamic Characteristics of an Energy Harvester Based on Flexible Structure Galloping. Energies, 14(20), 6548. https://doi.org/10.3390/en14206548
