Efficient Link Scheduling Based on Estimated Number of Packets in Queue on Industrial Wireless Sensor Networks
Abstract
:1. Introduction
2. Network Model
3. Proposed Scheduling Algorithm
- : the number of packets to be transmitted by the node in each slot frame;
- : parent node of node k; and
- : PRR value of link <k,>.
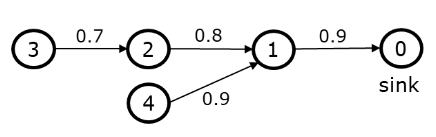
3.1. End-to-End Reliability in WSNs
- = 0.99, = 0.99499, = 0.99666;
- = {(p1, 1), (p2, 2), (p4, 2), (p3, 3)}; and
- = 0.99416.
3.2. Estimating Amount of Packets in Queue
- (QL of node k) is initialized to (100);
- (Minimum QL of node k) is set to 100 (1), which specifies the minimum QL of node k for a time slot to be assigned; and
- is a set of nodes that are in duplex-conflicting relationship with node k [7].
- 1.
- Determine a set of nodes that need to be scheduled, N, in the current time slot t (initially 0);
- 2.
- Prioritize the nodes in N based on , , and tree level of node k;
- 3.
- Choose the node with the highest priority, n, and assigns channel 0 of time slot t to node n;
- 4.
- Delete n and the nodes in from N;
- 5.
- Choose the next highest priority node, n, in N and assigns the next available channel to node n;
- 6.
- Repeat steps 4 and 5 until N becomes empty or there is no available channel; and
- 7.
- Adjust the QLs of nodes that are transmitting or receiving in time slot t considering the PRR values of the links and go to 1 for the next time slot (t + 1).
| Algorithm 1: QL-Based Scheduling Algorithm |
| // NCH: the number of available channels //: the number of packets that node k transmits in each slot frame //: the number of time slots that needs to be assigned to node k //: the per-hop link PRR of link <k,> //: a set of nodes that are duplex-conflicting with node k (1) Initialization:= 100 ;= 100(1–); (2) ts = 0; ch = 0; (3)N←a set of nodes which satisfiesand; (4) while (N is not empty) { (5) PRIORITIZE(N); // prioritize the nodes in N (6) M ← φ; (7) while (ch <) { (8) n ← N(0); (9) assign (ts, ch) to link <n,>; (10) M←M{<n,>}; (11) DLETE_DC(N, n); // delete n and nodes infrom N (12) if (N is empty) break; (13) ch ← ch + 1; (14) } (15) ADJUST_TS_QL(M); // adjust TS, QL of nodes in M (16) ts ← ts + 1; ch = 0; (17) N←a set of nodes which satisfiesand; (18) } (19) ASSIGN_ADDITIONAL_TS(); // check the QL of nodes and assign additional time slots when Function:PRIORITIZE(N) // N: a set of nodes to which a slot can be assigned (1) Sort the nodes in N in descending order of QL values; (2) In the case of a tie, sort the nodes in N in descending order of TS values; (3) In the case of a tie, sort the nodes in N in descending order of tree level; Function:DLETE_DC(N, n) // N: a set of nodes to which a slot can be assigned // n: selected node //: a set of duplex-conflicting nodes with node n (1) Delete n and all nodes in; Function: ADJUST_TS_QL(M) // M: a set of links with channels assigned //: PRR of link <k,> (1) for (each link <k,> in M) { (2) =–1; (3) if (> 100) then (4) tx_amount = 100; (5) else (6) tx_amount =; (7) = − (tx_amount ); (8) =+ (tx_amount ); (9) } |
4. Performance Evaluation
5. Conclusions
Funding
Institutional Review Board Statement
Informed Consent Statement
Conflicts of Interest
References
- Gungor, V.C.; Hancke, G. Industrial Wireless Sensor Networks: Challenges, Design Principles, and Technical Approaches. IEEE Trans. Ind. Electron. 2009, 56, 4258–4265. [Google Scholar] [CrossRef] [Green Version]
- Song, J.; Han, S.; Mok, A.; Chen, D.; Lucas, M.; Nixon, M.; Pratt, W. WirelessHART: Applying Wireless Technology in Real-Time Industrial Process Control. In Proceedings of the Real-Time and Embedded Technology and Applications Symposium (RTAS’08), St. Louis, MO, USA, 22–24 April 2008; pp. 377–386. [Google Scholar] [CrossRef] [Green Version]
- ISA. Wireless Systems for Industrial Automation: Process Control and Related Applications. Int. Soc. Autom. 2011, 1–792, ANSI/ISA-100.11a-2011. [Google Scholar]
- Gutierrez, J.A.; Callaway, E.H.; Barrett, R.L. IEEE Standard for Low-Rate Wireless Personal Area Networks (LR-WPANs). IEEE Standard 802.15.4–2015 (Revision of IEEE Std 802.15.4–2011); IEEE Standards Association: Piscataway, NJ, USA, 2016. [Google Scholar] [CrossRef]
- Sgora, A.; Vergados, D.D. A Survey of TDMA Scheduling Schemes in Wireless Multihop Networks. ACM Comput. Surv. 2015, 47, 1–39. [Google Scholar] [CrossRef]
- Saifullah, A.; Xu, Y.; Lu, C.; Chen, Y. Distributed Channel Allocation Protocols for Wireless Sensor Networks. IEEE Trans. Parallel Distrib. Syst. 2013, 25, 2264–2274. [Google Scholar] [CrossRef] [Green Version]
- Nobre, M.; Silva, I.; Guedes, L.A. Routing and Scheduling Algorithms for WirelessHARTNetworks: A Survey. Sensors 2015, 15, 9703–9740. [Google Scholar] [CrossRef] [PubMed] [Green Version]
- Palattella, M.R.; Accettura, N.; Dohler, M.; Grieco, L.A.; Boggia, G. Traffic aware scheduling algorithm for reliable low-power multi-hop IEEE 802.15.4e networks. In 15.4e networks. In Proceedings of the IEEE 23rd International Symposium on Personal Indoor and Mobile Radio Communications. (PIMRC’12), Sydney, Australia, 9–12 September 2012; pp. 327–332. [Google Scholar] [CrossRef]
- Mahmood, M.A.; Seah, W.K.; Welch, I. Reliability in wireless sensor networks: A survey and challenges ahead. Comput. Netw. 2015, 79, 166–187. [Google Scholar] [CrossRef]
- Yan, M.; Lam, K.-Y.; Han, S.; Chan, E.; Chen, Q.; Fan, P.; Chen, D.; Nixon, M. Hypergraph-based data link layer scheduling for reliable packet delivery in wireless sensing and control networks with end-to-end delay constraints. Inf. Sci. 2014, 278, 34–55. [Google Scholar] [CrossRef]
- Dobslaw, F.; Zhang, T.; Gidlund, M. End-to-End Reliability-Aware Scheduling for Wireless Sensor Networks. IEEE Trans. Ind. Inform. 2014, 12, 758–767. [Google Scholar] [CrossRef] [Green Version]
- Hashimoto, M.; Wakamiya, N.; Murata, M.; Kawamoto, Y.; Fukui, K. End-to-end reliability- and delay-aware scheduling with slot sharing for wireless sensor networks. In Proceedings of the 8th International Conference on Communication Systems and Networks (COMSNETS’16), Bangalore, India, 12–16 September 2016; pp. 1–8. [Google Scholar] [CrossRef]
- Baccour, N.; Koubaa, A.; Mottola, L.; Zúñiga, M.A.; Youssef, H.; Boano, C.A.; Alves, M. Radio link quality estimation in wireless sensor networks. ACM Trans. Sens. Netw. 2012, 8, 1–33. [Google Scholar] [CrossRef]
- Winter, T.; Thubert, P.; Brandt, A.; Hui, J.; Kelsey, R.; Levis, P.; Pister, K.; Struik, R.; Vasseur, J.; Alexander, R. RPL: IPv6 Routing Protocol for Low-Power and Lossy Networks. IETF RFC 6550. 2012. Available online: https://tools.ietf.org/html/rfc6550 (accessed on 15 September 2020).
- Contiki-NG: The OS for Next Generation IoT Devices. Available online: http://www.contiki-ng.org/ (accessed on 15 March 2020).







Publisher’s Note: MDPI stays neutral with regard to jurisdictional claims in published maps and institutional affiliations. |
© 2021 by the author. Licensee MDPI, Basel, Switzerland. This article is an open access article distributed under the terms and conditions of the Creative Commons Attribution (CC BY) license (https://creativecommons.org/licenses/by/4.0/).
Share and Cite
Kim, M.-K. Efficient Link Scheduling Based on Estimated Number of Packets in Queue on Industrial Wireless Sensor Networks. Energies 2021, 14, 6370. https://doi.org/10.3390/en14196370
Kim M-K. Efficient Link Scheduling Based on Estimated Number of Packets in Queue on Industrial Wireless Sensor Networks. Energies. 2021; 14(19):6370. https://doi.org/10.3390/en14196370
Chicago/Turabian StyleKim, Myung-Kyun. 2021. "Efficient Link Scheduling Based on Estimated Number of Packets in Queue on Industrial Wireless Sensor Networks" Energies 14, no. 19: 6370. https://doi.org/10.3390/en14196370
APA StyleKim, M.-K. (2021). Efficient Link Scheduling Based on Estimated Number of Packets in Queue on Industrial Wireless Sensor Networks. Energies, 14(19), 6370. https://doi.org/10.3390/en14196370
