Optical Diagnostic Characterization of the Local Arc on Contaminated Insulation Surface at Low Pressure †
Abstract
:1. Introduction
2. Experimental Arrangements and Methods
2.1. Test Facilities
2.2. Specimen and Test Methods
2.3. Calculation of Plasma Parameters
- (1)
- Electron temperature
- (2)
- Electron density
- (3)
- Electric conductivity
3. Typical Emission Spectrograms of the Local Arc
- (1)
- The initial stage
- (2)
- Development stage
- (3)
- Critical flashover stage
- (4)
- Flashover stage
4. Parameters of the Local Arc under Low Pressures
4.1. Electron Temperature of the Local Arc
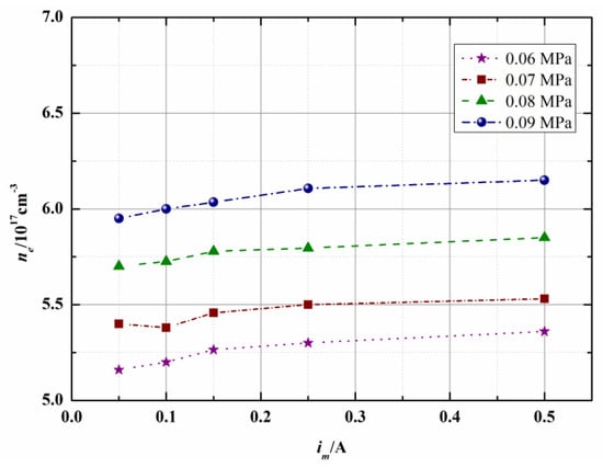
4.2. Electron Density of the Local Arc
4.3. Conductivity of the Local Arc
5. Conclusions
- (1)
- The spectra of the local arc are quite similar, even though the air pressure is different. The spectral characteristics of the different development stages of the local arc can be easily distinguished.
- (2)
- Thermodynamic parameters of the local arc (including electron temperature and electron density) are obtained by analyzing the spectra. Electron temperature increases significantly with the increase in leakage current and air pressure, while, the electron density does not change much with the increase in leakage current, but it increases significantly with the increase in air pressure.
- (3)
- The conductivity of the local arc is also calculated by employing the value of electron temperature and electron density in this paper. The conductivity increases with the increase in leakage current and air pressure. The deviation of conductivity between the true value and the calculated value is trivial.
Author Contributions
Funding
Institutional Review Board Statement
Informed Consent Statement
Data Availability Statement
Conflicts of Interest
References
- Tan, S.; Wang, P.; Zhao, J.; Yang, H.; Wen, R. Study on the Typical Optical Emission Spectrograms of AC Arc Discharge over the Polluted Insulation Surface. In Proceedings of the 2020 IEEE International Conference on High Voltage Engineering and Application (ICHVE), Beijing, China, 6–10 September 2020; pp. 1–4. [Google Scholar] [CrossRef]
- Zhang, C.; Wang, L. Experimental Investigation on Pollution Flashover Performance of Multiple Parallel Suspension Insulators. IEEE Trans. Dielectr. Electr. Insul. 2016, 23, 2840–2849. [Google Scholar] [CrossRef]
- Yang, Z.; Jiang, X.; Han, X.; Zhang, Z.; Hu, J. Influence of Pollution Chemical Components on Ac Flashover Performance of Various Types of Insulators. High Volt. 2019, 4, 105–112. [Google Scholar] [CrossRef]
- He, J.; Gorur, R. Flashover of Insulators in a Wet Environment. IEEE Trans. Dielectr. Electr. Insul. 2017, 24, 1038–1044. [Google Scholar] [CrossRef]
- Yang, L.; Zhang, F.; Wang, Z.; Jiang, X.; Hao, Y.; Li, L.; Liao, Y.; Zhang, F. Evaluation of Wetting Condition and Its Effects on contamination flashover Voltage of Aerodynamic Insulators. IEEE Trans. Dielectr. Electr. Insul. 2016, 23, 2875–2882. [Google Scholar] [CrossRef]
- Shu, L.; Liu, Y.; Jiang, X.; Hu, Q.; He, G.; Yu, Z.; Xiao, L. Three-Dimensional Electric Field Simulation and Flashover Path Analysis of Ice-Covered Suspension Insulators. High Volt. 2020, 5, 327–333. [Google Scholar] [CrossRef]
- Slama, M.E.A.; Albano, M.; Haddad, A.M.; Waters, R.T.; Cwikowski, O.; Iddrissu, I.; Knapper, J.; Scopes, O. Monitoring of Dry Bands and Discharge Activities at the Surface of Textured Insulators with AC Clean Fog Test Conditions. Energies 2021, 14, 2914. [Google Scholar] [CrossRef]
- Shariatinasab, R.; Saghafi, S.; Khorashadizadeh, M.; Ghayedi, M. Probabilistic Assessment of Insulator Failure under Contaminated Conditions. IET Sci. Meas. Technol. 2020, 14, 557–563. [Google Scholar] [CrossRef]
- Savadkoohi, E.M.; Mirzaie, M.; Seyyedbarzegar, S.; Mohammadi, M.; Khodsuz, M.; Pashakolae, M.G.; Ghadikolaei, M.B. Experimental Investigation on Composite Insulators AC Flashover Performance with Fan-Shaped Non-Uniform Pollution under Electro-Thermal Stress. Int. J. Electr. Power Energy Syst. 2020, 121, 106142. [Google Scholar] [CrossRef]
- Lan, L.; Zhang, G.; Wang, Y.; Wen, X.; Wang, W.; Pei, H. The Influence of Natural Contamination on Pollution Flashover Voltage Waveform of Porcelain Insulators in Heavily Polluted Area. IEEE Access 2019, 7, 121395–121406. [Google Scholar] [CrossRef]
- Zhang, Z.; Zhang, W.; You, J.; Jiang, X.; Zhang, D.; Bi, M.; Wu, B.; Wu, J. Influence Factors in Contamination Process of XP-160 Insulators based on Computational Fluid Mechanics. IET Gener. Transm. Distrib. 2016, 10, 4140–4148. [Google Scholar] [CrossRef]
- Qiao, X.; Zhang, Z.; Jiang, X.; Liang, T. Influence of DC Electric Fields on Pollution of HVDC Composite Insulator Short Samples with Different Environmental Parameters. Energies 2019, 12, 2304. [Google Scholar] [CrossRef] [Green Version]
- Zhang, C.; Wang, L.; Guan, Z.; Zhang, F. Pollution Flashover Performance of Full-Scale ±800 KV Converter Station Post Insulators at High Altitude Area. IEEE Trans. Dielectr. Electr. Insul. 2013, 20, 717–726. [Google Scholar] [CrossRef]
- Huang, D.; Ruan, J.; Cai, W.; Li, T.; Wei, Y.; Liu, J. Flashover Prevention on High-Altitude H Transmission Line Insulator Strings. IEEE Trans. Dielectr. Electr. Insul. 2009, 16, 88–98. [Google Scholar] [CrossRef]
- Rudakova, V.; Tikhodeev, N. Influence of Low Air Pressure on Flashover Voltages of Polluted Insulators: Test Data, Generalization Attempts and Some Recommendations. IEEE Trans. Power Deliv. 1989, 4, 607–613. [Google Scholar] [CrossRef]
- Liao, Y.; Wang, Q.; Yang, L.; Kuang, Z.; Hao, Y.; Zhang, C. Discharge Behavior and Morphological Characteristics of Suspended Water-Drop on Shed Edge during Rain Flashover of Polluted Large-Diameter Post Insulator. Energies 2021, 14, 1652. [Google Scholar] [CrossRef]
- Mei, H.; Guan, X.; Fu, X.; Zhao, C.; Wang, L. Influence of Tower Anticorrosion Coating as Contaminant on Operation Characteristics of Composite Insulator. High Volt. 2018, 3, 193–198. [Google Scholar] [CrossRef]
- Michelarakis, M.; Widger, P.; Beroual, A.; Haddad, A. Electrical Detection of Creeping Discharges over Insulator Surfaces in Atmospheric Gases Under AC Voltage Application. Energies 2019, 12, 2970. [Google Scholar] [CrossRef] [Green Version]
- Slama, M.E.A.; Beroual, A.; Hadi, H. Analytical Computation of Discharge Characteristic Constants and Critical Parameters of Flashover of Polluted Insulators. IEEE Trans. Dielectr. Electr. Insul. 2010, 17, 1764–1771. [Google Scholar] [CrossRef]
- Sima, W.; Guo, F.; Yang, Q.; Yuan, T. Calculation of the Arc Velocity Along the Polluted Surface of Short Glass Plates Considering the Air Effect. Energies 2012, 5, 815–834. [Google Scholar] [CrossRef] [Green Version]
- Nekahi, A.; Farokhi, S.; Farzaneh, M.; Stewart, B.G. Arc Energy and Temperature during Its Propagation Over Ice-Covered Surfaces. IEEE Trans. Plasma Sci. 2014, 42, 114–119. [Google Scholar] [CrossRef]
- Nekahi, A.; Farzaneh, M. Excitation Temperature Determination of an Arc Formed over An Ice Surface Using Optical Emission Spectroscopy. IEEE Trans. Dielectr. Electr. Insul. 2011, 18, 1829–1834. [Google Scholar] [CrossRef]
- Li, S.; Zhang, R.; Tan, K. Measurement of the Temperature of A the local arc Propagating along A Polluted Dielectric Surface. Proc. CSEE 1990, 10, 1–9. [Google Scholar] [CrossRef]
- IEC. Artificial Pollution Tests on High-Voltage Ceramic and Glass Insulators to Be Used on A.C. Systems; IEC 60507; International Electrotechnical Commission: Geneva, Switzerland, 2013. [Google Scholar]
- Griem, H.R. Principles of Plasma Spectroscopy; Cambridge University Press: Cambridge, UK, 1997; pp. 259–265. [Google Scholar]
- Zollweg, R.J.; Liebermann, R.W. Electrical Conductivity of Nonideal Plasmas. J. Appl. Phys. 1987, 62, 3621. [Google Scholar] [CrossRef]
- Li, X.; Liu, X.; Zeng, F.; Yang, H.; Zhang, Q. Study on Resistance and Energy Deposition of Spark Channel under the Oscillatory Current Pulse. IEEE Trans. Plasma Sci. 2014, 42, 2259–2265. [Google Scholar] [CrossRef]
- Yang, H.; Ren, Y.; Wen, R.; Zhang, L.; Chen, Y. Study on the time-varying characteristics of AC local arc over the contaminated insulation surface. AIP Adv. 2021, 11, 025028. [Google Scholar] [CrossRef]
- Rizk, F.M.; Rezazada, A.Q. Modeling of Altitude Effects on Ac Flashover of Polluted High Voltage Insulators. IEEE Trans. Power Deliv. 1997, 12, 810–822. [Google Scholar] [CrossRef]
- Wilkins, R. Flashover voltage of high-voltage insulators with uniform surface-pollution films. Proc. Inst. Electr. Eng. 1969, 116, 457–465. [Google Scholar] [CrossRef]









Publisher’s Note: MDPI stays neutral with regard to jurisdictional claims in published maps and institutional affiliations. |
© 2021 by the authors. Licensee MDPI, Basel, Switzerland. This article is an open access article distributed under the terms and conditions of the Creative Commons Attribution (CC BY) license (https://creativecommons.org/licenses/by/4.0/).
Share and Cite
Yang, H.; Zhang, H.; Cao, W.; Zhao, X.; Wen, R.; Zhao, J.; Tan, S.; Wang, P. Optical Diagnostic Characterization of the Local Arc on Contaminated Insulation Surface at Low Pressure. Energies 2021, 14, 6116. https://doi.org/10.3390/en14196116
Yang H, Zhang H, Cao W, Zhao X, Wen R, Zhao J, Tan S, Wang P. Optical Diagnostic Characterization of the Local Arc on Contaminated Insulation Surface at Low Pressure. Energies. 2021; 14(19):6116. https://doi.org/10.3390/en14196116
Chicago/Turabian StyleYang, Hao, Haotian Zhang, Wen Cao, Xuanxiang Zhao, Ran Wen, Junping Zhao, Shengwu Tan, and Pengchao Wang. 2021. "Optical Diagnostic Characterization of the Local Arc on Contaminated Insulation Surface at Low Pressure" Energies 14, no. 19: 6116. https://doi.org/10.3390/en14196116
APA StyleYang, H., Zhang, H., Cao, W., Zhao, X., Wen, R., Zhao, J., Tan, S., & Wang, P. (2021). Optical Diagnostic Characterization of the Local Arc on Contaminated Insulation Surface at Low Pressure. Energies, 14(19), 6116. https://doi.org/10.3390/en14196116

