The Icing Distribution Characteristics Research of Tower Cross Beam of Long-Span Bridge by Numerical Simulation
Abstract
:1. Introduction
2. Study on the Influence of Wind and Temperature on the Icing Simulation Results of Cross Beam
2.1. Establishment of the Model
2.2. Effects of Wind
2.3. Effects of Ambient Temperature
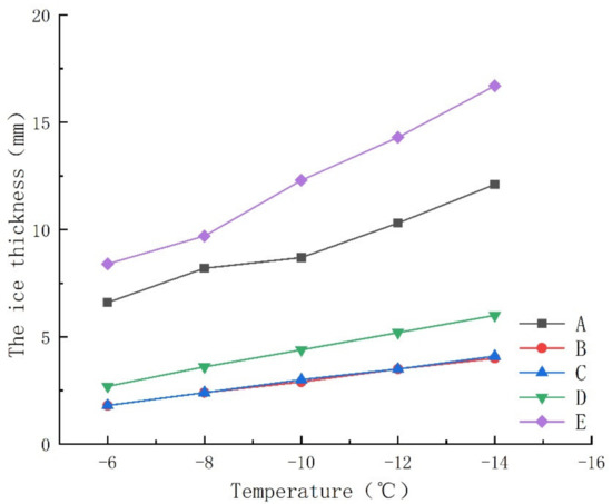
2.4. Validation of Numerical Simulation Method
2.5. Verification of Mesh Independence and Time Steps Independence
3. Study of Ice-Melting Measure
3.1. Effects of Heating Module Layout Position on Ice Simulation
3.2. Effects of Geometrical Dimension of Heating Module on Icing Simulation
4. Conclusions
- (1)
- In the ice accretions simulation of the cross beam of a bridge tower, the total ice mass and wind speed are positively correlated quadratic functions. The total ice mass and temperature show a negatively linear relationship. In addition, the influence of wind on the icing process is greater than temperature within the given range of wind speed and temperature.
- (2)
- When the wind attack angle is positive, the ice near the bottom edge of the windward surface will be thicker than top edge, and the bottom ice thickness increases faster than top ice with the increase of wind speed, and negative wind attack angle is the opposite.
- (3)
- After the modules were set, the changes of ice distribution show that using heating modules to melt ice is reasonable and effective. To prevent the melted water from flowing to the bottom surface of the cross beam and freezing again, a heating module should be arranged on the bottom surface. Adjusting the geometrical dimension of the heating module reasonably can reduce heat loss, improve the efficiency of ice melting, and save energy.
- (4)
- This ice accretion numerical simulation method has good serviceability, and the results of the method conform to reality. Additionally, the method has good mesh independence and time steps independence.
- (5)
- The size and the location of the actual cross beam are not convenient to study ice-melting schemes through field tests. Therefore, when designing the ice-melting scheme of an actual cross beam, the numerical simulation method proposed in this paper can be used to study the size and layout position of a heating module that is suitable for the actual cross beam.
Author Contributions
Funding
Conflicts of Interest
References
- Cao, S.; Jalali, H.H.; Dragomirescu, E. Wind-induced response of inclined and yawed ice-accreted stay cable models. Shock. Vib. 2018, 2018, 6853047. [Google Scholar] [CrossRef]
- Andre, J.; Kiremidjian, A.; Georgakis, C.T. Statistical mdeling of time series for ice accretion detection on bridge cables. J. Cold Reg. Eng. 2018, 32, 04018004. [Google Scholar] [CrossRef]
- Lyu, W.; Pu, H.; Chen, J.N.; Gao, Z. Numerical study on optimal scheme of the geothermally heated bridge deck system. Energies 2020, 13, 6633. [Google Scholar] [CrossRef]
- Ozsoy, A.; Yildirim, R. Prevention of icing with ground source heat pipe: A theoretical analysis for Turkey’s climatic conditions. Cold Reg. Sci. Technol. 2016, 125, 65–71. [Google Scholar] [CrossRef]
- Yiqiu, T.; Chi, Z.; Huijie, L.; Hao, S.; Huining, X. Experimental and numerical analysis of the critical heating strategy for hydronic heated snow melting airfield runway. Appl. Therm. Eng. 2020, 178, 115508. [Google Scholar] [CrossRef]
- Lei, G.; Yu, X.B.; Li, T.; Habibzadeh-Bigdarvish, O.; Wang, X.; Mrinal, M.; Luo, C. Feasibility study of a new attached multi-loop CO2 heat pipe for bridge deck de-icing using geothermal energy. J. Clean. Prod. 2020, 275, 123160. [Google Scholar] [CrossRef]
- Mirzanamadi, R.; Hagentoft, C.E.; Johansson, P. An analysis of hydronic heating pavement to optimize the required energy for anti-icing. Appl. Therm. Eng. 2018, 144, 278–290. [Google Scholar] [CrossRef]
- Yu, X.; Hurley, M.T.; Li, T.; Lei, G.; Pedarla, A.; Puppala, A.J. Experimental feasibility study of a new attached hydronic loop design for geothermal heating of bridge decks. Appl. Therm. Eng. 2019, 164, 114507. [Google Scholar] [CrossRef]
- Habibzadeh-Bigdarvish, O.; Yu, X.B.; Li, T.; Lei, G.; Banerjee, A.; Puppala, A.J. A novel full-scale external geothermal heating system for bridge deck de-icing. Appl. Therm. Eng. 2020, 185, 116365. [Google Scholar] [CrossRef]
- Tuan, C.Y. Roca Spur Bridge: The implementation of an innovative deicing technology. J. Cold Reg. Eng. 2008, 22, 6853047. [Google Scholar] [CrossRef]
- Dehghanpour, H.; Yilmaz, K. Heat behavior of electrically conductive concretes with and without rebar reinforcement. J. Mater. Sci. 2020, 26, 471–476. [Google Scholar] [CrossRef]
- Sassani, A.; Arabzadeh, A.; Ceylan, H.; Kim, S.; Sadati, S.S.M.; Gopalakrishnan, K.; Taylor, P.C.; Abdualla, H. Carbon fiber-based electrically conductive concrete for salt-free deicing of pavements. J. Clean. Prod. 2018, 203, 799–809. [Google Scholar] [CrossRef]
- Xie, X.M.; Su, J.F.; Guo, Y.D.; Wang, L.Q. Evaluation of a cleaner de-icing production of bituminous material blending with graphene by electrothermal energy conversion. J. Clean. Prod. 2020, 274, 122947. [Google Scholar] [CrossRef]
- Lai, J.X.; Liu, C.; Gong, C.B. Research situation and prospect for highway snowmelt deicing technology with electric heat tracing. Appl. Mech. Mater. 2011, 71–78. [Google Scholar] [CrossRef]
- Mohammed, A.G.; Ozgur, G.; Sevkat, E. Electrical resistance heating for deicing and snow melting applications: Experimental study. Cold Reg. Sci. Technol. 2019, 160, 128–138. [Google Scholar] [CrossRef]
- Liu, X.; Rees, S.J.; Spitler, J.D. Modeling snow melting on heated pavement surfaces. Part I: Model development. Appl. Therm. Eng. 2007, 27, 1115–1124. [Google Scholar] [CrossRef]
- Kim, H.S.; Ban, H.; Park, W.J. Deicing concrete pavements and roads with Carbon Nanotubes (CNTs) as heating elements. Materials 2020, 13, 2504. [Google Scholar] [CrossRef]
- Liu, K.; Huang, S.; Xie, H.; Wang, F. Multi-objective optimization of the design and operation for snow-melting pavement with electric heating pipes. Appl. Therm. Eng. 2017, 122, 359–367. [Google Scholar] [CrossRef]
- Lai, Y.; Liu, Y.; Ma, D.X.; Wang, P.; Su, X. The influence of wind speed on melting ice on concrete pavement with carbon fiber heating wire. Int. Workshop Mater. Chem. Eng. 2018, 2018, 313–318. [Google Scholar]
- Wu, J.; Yang, F.; Liu, J. Research on carbon fiber heating wire for pavement deicing. J. Test. Eval. 2015, 43, 574–581. [Google Scholar] [CrossRef]
- Ypa, B.; Rv, B.; Yang, L.B.; Xhac, D. An experimental study on dynamic ice accretion and its effects on the aerodynamic characteristics of stay cables with and without helical fillets. J. Wind Eng. Ind. Aerodyn. 2020, 205, 104326. [Google Scholar] [CrossRef]
- Demartino, C.; Koss, H.H.; Georgakis, C.T.; Ricciardelli, F. Effects of ice accretion on the aerodynamics of bridge cables. J. Wind Eng. Ind. Aerodyn. 2015, 138, 98–119. [Google Scholar] [CrossRef]
- Guo, P.; Li, S.; Wang, D. Effects of aerodynamic interference on the iced straddling hangers of suspension bridges by wind tunnel tests. J. Wind Eng. Ind. Aerodyn. 2019, 184, 162–173. [Google Scholar] [CrossRef]
- Xu, F.Y.; Yu, H.Y. Effect of ice accretion on the aerodynamic responses of a pipeline suspension bridge. J. Bridge Eng. 2020, 25, 04020091. [Google Scholar] [CrossRef]
- Zhang, M.J.; Xu, F.Y.; Han, Y. Assessment of wind-induced nonlinear post-critical performance of bridge decks. J. Wind Eng. Ind. Aerodyn. 2020, 203, 104251. [Google Scholar] [CrossRef]
- Zhang, X.; Sun, X.F.; Zhou, W.S.; Zhang, Y.X. Monitoring of stay-cable icing based on electro-mechanical impedance and principal component analysis. J. Harbin Eng. Univ. 2020. [Google Scholar] [CrossRef]
- Zhao, H.; Dai, J.; Wu, K.; Kong, F. Experimental and modeling analysis of thermal characteristics in carbon fiber wires. Heat Trans. 2020, 49, 1863–1876. [Google Scholar] [CrossRef]


















| Wind Speed (m/s) | Total Mass of Ice (kg) |
|---|---|
| 5 | 0.2405 |
| 10 | 0.7054 |
| 15 | 1.334 |
| 20 | 2.275 |
| 25 | 3.55 |
| Temperature (°C) | Total Mass of Ice (kg) |
|---|---|
| −6 | 0.433 |
| −8 | 0.5709 |
| −10 | 0.7054 |
| −12 | 0.8367 |
| −14 | 0.965 |
Publisher’s Note: MDPI stays neutral with regard to jurisdictional claims in published maps and institutional affiliations. |
© 2021 by the authors. Licensee MDPI, Basel, Switzerland. This article is an open access article distributed under the terms and conditions of the Creative Commons Attribution (CC BY) license (https://creativecommons.org/licenses/by/4.0/).
Share and Cite
Yang, Z.-Y.; Zhan, X.; Zhou, X.-L.; Xiao, H.-L.; Pei, Y.-Y. The Icing Distribution Characteristics Research of Tower Cross Beam of Long-Span Bridge by Numerical Simulation. Energies 2021, 14, 5584. https://doi.org/10.3390/en14175584
Yang Z-Y, Zhan X, Zhou X-L, Xiao H-L, Pei Y-Y. The Icing Distribution Characteristics Research of Tower Cross Beam of Long-Span Bridge by Numerical Simulation. Energies. 2021; 14(17):5584. https://doi.org/10.3390/en14175584
Chicago/Turabian StyleYang, Zhi-Yong, Xiang Zhan, Xin-Long Zhou, Heng-Lin Xiao, and Yao-Yao Pei. 2021. "The Icing Distribution Characteristics Research of Tower Cross Beam of Long-Span Bridge by Numerical Simulation" Energies 14, no. 17: 5584. https://doi.org/10.3390/en14175584
APA StyleYang, Z.-Y., Zhan, X., Zhou, X.-L., Xiao, H.-L., & Pei, Y.-Y. (2021). The Icing Distribution Characteristics Research of Tower Cross Beam of Long-Span Bridge by Numerical Simulation. Energies, 14(17), 5584. https://doi.org/10.3390/en14175584

