Analysis of Expected Skin Burns from Accepted Process Flare Heat Radiation Levels to Public Passersby
Abstract
1. Introduction
2. Heat Transfer and Damage Integral
2.1. Radiant and Convective Heat to Exposed Skin
2.2. Skin Heat Transfer Modeling
2.3. Skin Damage Modeling
2.4. The Flaring Scenarios Analyzed
3. Results and Discussion
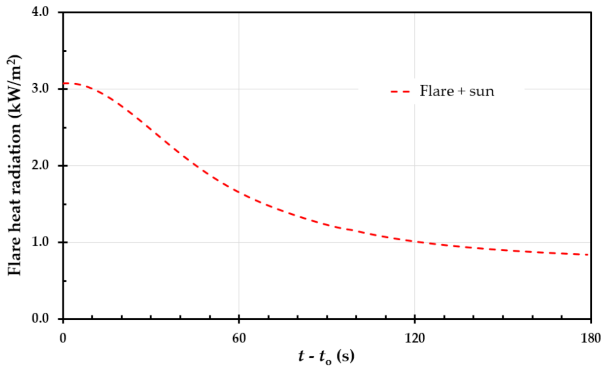
3.1. Flare Heat Radiation along the Pavement
3.2. Skin Damage Modeling
4. Conclusions
Funding
Institutional Review Board Statement
Informed Consent Statement
Data Availability Statement
Acknowledgments
Conflicts of Interest
References
- Henriques, F.C.; Moritz, A.R. Studies of thermal injury: I. The conduction of heat to and through skin and the temperatures attained therein. A theoretical and an experimental investigation. Am. J. Pathol. 1947, 23, 530–549. [Google Scholar]
- Moritz, A.; Henriques, F.C. Studies of thermal injury: II. The relative importance of time and surface temperature in the causation of cutaneous burns. Am. J. Pathol. 1947, 23, 695–720. [Google Scholar]
- Moritz, A.R. Studies of thermal injury: III. The pathology and pathogenesis of cutaneous burns: An experimental study. Am. J. Pathol. 1947, 23, 915–941. [Google Scholar]
- Fu, M.; Weng, W.G.; Yuan, H.Y. Numerical simulation of the effects of blood perfusion, water diffusion, and vaporization on the skin temperature and burn injuries. Numer. Heat Transf. Part A Appl. 2014, 65, 1187–1203. [Google Scholar] [CrossRef]
- Tobalem, M.; Harder, Y.; Tschanz, E.; Speidel, V.; Pittet-Cuénod, B.; Wettstein, R. First-aid with warm water delays burn progression and increases skin survival. J. Plast. Reconstr. Aesthet. Surg. 2013, 66, 260–266. [Google Scholar] [CrossRef] [PubMed]
- Johnson, N.N.; Abraham, J.P.; Helgeson, Z.I.; Minkowycz, W.J.; Sparrow, E.M. An archive of skin-layer thicknesses and properties and calculations of scald burns with comparisons to experimental observations. J. Therm. Sci. Eng. Appl. 2011, 3. [Google Scholar] [CrossRef]
- Monds, J.R.; McDonald, A.G. Determination of skin temperature distribution and heat flux during simulated fires using Green’s functions over finite-length scales. Appl. Therm. Eng. 2013, 50, 593–603. [Google Scholar] [CrossRef]
- Buettner, K. Effects of extreme heat and cold on human skin, II. Surface temperature, pain and heat conductivity in experiments with radiant heat. J. Appl. Physiol. 1951, 3, 703–713. [Google Scholar] [CrossRef] [PubMed]
- Lawrence, J.C.; Bull, J.P. Thermal conditions which cause skin burns. Eng. Med. 1976, 5, 61–63. [Google Scholar] [CrossRef]
- Log, T. Skin temperatures of a pre-cooled wet person exposed to engulfing flames. Fire Saf. J. 2017, 89, 1–6. [Google Scholar] [CrossRef]
- Abraham, J.P.; Plourde, B.; Vallez, L.; Stark, J.; Diller, K.R. Estimating the time and temperature relationship for causation of deep-partial thickness skin burns. Burns 2015, 41, 1741–1747. [Google Scholar] [CrossRef]
- Abraham, J.P.; Nelson-Cheeseman, B.B.; Sparrow, E.; Wentz, J.E.; Gorman, J.M.; Wolf, S.E. Comprehensive method to predict and quantify scald burns from beverage spills. Int. J. Hyperth. 2016, 32, 900–910. [Google Scholar] [CrossRef]
- Abraham, J.P.; Hennessey, M.P.; Minkowycz, W.J. A simple algebraic model to predict burn depth and injury. Int. Commun. Heat Mass Transf. 2011, 38, 1169–1171. [Google Scholar] [CrossRef]
- Yang, J.; Su, Y.; Song, G.; Li, R.; Xiang, C. A new approach to predict heat stress and skin burn of firefighter under low-level thermal radiation. Int. J. Therm. Sci. 2019, 145, 106021. [Google Scholar] [CrossRef]
- Zhang, S.; Zhu, N.; Lv, S. Human response and productivity in hot environments with directed thermal radiation. Build. Environ. 2021, 187, 107408. [Google Scholar] [CrossRef]
- Log, T. Modeling Burns for Pre-Cooled Skin Flame Exposure. Int. J. Environ. Res. Public Health 2017, 14, 1024. [Google Scholar] [CrossRef]
- Ng, E.Y.K.; Chua, L.T. Prediction of skin burn injury, Part 2: Parametric and sensitivity analysis. Proc. Inst. Mech. Eng. Part H J. Eng. Med. 2002, 216, 171–183. [Google Scholar] [CrossRef]
- Lipkin, M.; Hardy, J.D. Measurement of some thermal properties of human tissues. J. Appl. Physiol. 1954, 7, 212–217. [Google Scholar] [CrossRef]
- Rai, K.N.; Rai, S.K. Heat transfer inside the tissues with a supplying vessel for the case when metabolic heat generation and blood perfusion are temperature dependent. Heat Mass Transf. 1999, 35, 345–350. [Google Scholar] [CrossRef]
- Soerensen, D.D.; Clausen, S.; Mercer, J.B.; Pedersen, L.J. Determining the emissivity of pig skin for accurate infrared thermography. Comput. Electron. Agric. 2014, 109, 52–58. [Google Scholar] [CrossRef]
- Shitzer, A. Wind-chill-equivalent temperatures: Regarding the impact due to the variability of the environmental convective heat transfer coefficient. Int. J. Biometeorol. 2006, 50, 224–232. [Google Scholar] [CrossRef]
- Osczevski, R.J. The basis of wind chill. Arctic 1995, 48, 372–382. [Google Scholar] [CrossRef]
- Log, T.; Gustafsson, S.E. Transient Plane Source (TPS) technique for measuring thermal transport properties of building materials. Fire Mater. 1995, 19, 43–49. [Google Scholar] [CrossRef]
- Millington, P.F.; Wilkinson, R. Skin; Cambridge University Press: New York, NY, USA, 1983. [Google Scholar]
- Viglianti, B.L.; Dewhirst, M.W.; Abraham, J.P.; Gorman, J.-M.; Sparrow, E.M. Rationalization of thermal injury quantification methods: Application to skin burns. Burns 2014, 40, 896–902. [Google Scholar] [CrossRef] [PubMed]
- Henriques, F.C.; Moritz, A. Studies of thermal injury, V: The predictability and the significance of thermal induced rate processes leading to irreversible epidermal injury. Arch. Pathol. 1947, 44, 489–502. [Google Scholar]
- Ye, H.; De, S. Thermal injury of skin and subcutaneous tissues: A review of experimental approaches and numerical models. Burns 2017, 43, 909–932. [Google Scholar] [CrossRef]
- Vembe, B.E.; Lilleheie, N.I.; Holen, J.; Magnussen, B.F.; Velde, B.; Linke, G.; Genillon, P. Kameleon FireExd—A simulator for gas dispersion and fires. In Proceedings of the International Gas Research Conference, San Diego, CA, USA, 8–11 November 1998. [Google Scholar]
- ComputIT. Kameleon FireEx 2000 Theory Manual; ComputIT: Trondheim, Norway, 2001. [Google Scholar]
- Magnussen, B.F.; Evanger, T.; Vembe, B.E.; Lilleheie, N.I.; Grimsmo, B.; Velde, B.; Holen, J.; Linke, G.; Genillon, P.; Tonda, H.; et al. Kameleon FireEx in Safety Applications; SPE International: Stavanger, Norway, 2000. [Google Scholar]
- Evanger, T.; Holmås, T. Kameleon FireExdan Advanced Computational System for Calculation of Fire Structure Interaction; Fabig Technical Newsletter, Issue 41; The Steel Construction Institute: Chicago, IL, USA, 2005. [Google Scholar]
- Jang, C.B.; Choi, S.W. Simulation and Damage Analysis of an Accidental Jet Fire in a High-Pressure Compressed Pump Shelter. Saf. Health Work 2017, 8, 42–48. [Google Scholar] [CrossRef][Green Version]
- Rothmana, L.S.; Gordona, I.E.; Babikovb, Y.; Barbec, A.; Chris, B.D.; Bernathe, P.F.; Birkf, M.; Bizzocchig, L.; Boudonh, V.; Browni, L.R.; et al. The HITRAN2012 Molecular Spectroscopic Database. J. Quant. Spectrosc. Radiat. Transf. 2013, 130, 4–50. [Google Scholar] [CrossRef]
- Mikhailenko, S.N.; Babikov, Y.L.; Golovko, V.F. Information-calculating system Spectroscopy of Atmospheric Gases. The structure and main functions. Inst. Atmos. Opt. 2005, 18, 685–695. [Google Scholar]
- Browning, R.C.; Baker, E.A.; Herron, J.A.; Kram, R. Effects of obesity and sex on the energetic cost and preferred speed of walking. J. Appl. Physiol. 2006, 100, 390–398. [Google Scholar] [CrossRef] [PubMed]
- Mandal, S.; Mazumder, N.U.S.; Agnew, R.J.; Grover, I.B.; Song, G.; Li, R. Using Artificial Neural Network Modeling to Analyze the Thermal Protective and Thermo-Physiological Comfort Performance of Textile Fabrics Used in Oilfield Workers’ Clothing. Int. J. Environ. Res. Public Health 2021, 18, 6991. [Google Scholar] [CrossRef] [PubMed]
- Mandal, S.; Mazumder, N.U.S.; Agnew, R.J.; Song, G.; Li, R. Characterization and Modeling of Thermal Protective and Thermo-Physiological Comfort Performance of Polymeric Textile Materials—A Review. Materials 2021, 14, 2397. [Google Scholar] [CrossRef] [PubMed]
- Gibson, A.L.F.; Carney, B.C.; Cuttle, L.; Andrews, C.J.; Kowalczewski, C.J.; Liu, A.; Powell, H.M.; Stone, R.; Supp, D.M.; Singer, A.J.; et al. Coming to Consensus: What Defines Deep Partial Thickness Burn Injuries in Porcine Models? J. Burn. Care Res. 2020, 42, 98–109. [Google Scholar] [CrossRef] [PubMed]









| Skin Layer | Thickness (m) | ||||
|---|---|---|---|---|---|
| Epidermis | 0.22 | 1200 | 3600 | 5.1 × 10−8 | 60 & 80 × 10−6 |
| Dermis | 0.40 | 1200 | 3600 | 9.3 × 10−8 | 0.002 |
| Sub cutaneous | 0.20 | 1000 | 2500 | 8.0 × 10−8 | 0.010 |
| Muscle | 0.45 | 1000 | 3800 | 1.2 × 10−7 | 0.005 |
| Constants | Case 1 | Case 2 | Case 3 | Case 4 |
|---|---|---|---|---|
| Rate (ton/h) | 175 | 300 | - | - |
| Wind (m/s) | 20 | 10 | 10 | 10 |
| RH | 60% | 60% | - | - |
| a | 2.370 | 2.850 | 3.16 | 4.0 |
| b | 1.9551 × 10−3 | 2.0025 × 10−3 | 2.2203 × 10−3 | 2.8105 × 10−3 |
| c | −3.0078 × 10−4 | −2.8279 × 10−4 | −3.1355 × 10−4 | −3.9690 × 10−4 |
| d | 1.5213 × 10−6 | 1.1118 × 10−6 | 1.2327 × 10−6 | 1.5604 × 10−6 |
| e | 6.3191 × 10−9 | 7.3854 × 10−9 | 8.1887 × 10−9 | 1.0365 × 10−8 |
| f | −6.7819 × 10−11 | −6.0525 × 10−11 | −6.7108 × 10−11 | −8.4947 × 10−11 |
| g | 1.4289 × 10−13 | 1.1527 × 10−13 | 1.2708 × 10−13 | 1.6178 × 10−13 |
| R2 | 0.99987 | 0.99993 | - | - |
| ξ (kW) | 17,901 | 26,147 | 28,991 | 36,697 |
| Sun (kW/m2) | 700 | 700 | 700 | 700 |
Publisher’s Note: MDPI stays neutral with regard to jurisdictional claims in published maps and institutional affiliations. |
© 2021 by the author. Licensee MDPI, Basel, Switzerland. This article is an open access article distributed under the terms and conditions of the Creative Commons Attribution (CC BY) license (https://creativecommons.org/licenses/by/4.0/).
Share and Cite
Log, T. Analysis of Expected Skin Burns from Accepted Process Flare Heat Radiation Levels to Public Passersby. Energies 2021, 14, 5474. https://doi.org/10.3390/en14175474
Log T. Analysis of Expected Skin Burns from Accepted Process Flare Heat Radiation Levels to Public Passersby. Energies. 2021; 14(17):5474. https://doi.org/10.3390/en14175474
Chicago/Turabian StyleLog, Torgrim. 2021. "Analysis of Expected Skin Burns from Accepted Process Flare Heat Radiation Levels to Public Passersby" Energies 14, no. 17: 5474. https://doi.org/10.3390/en14175474
APA StyleLog, T. (2021). Analysis of Expected Skin Burns from Accepted Process Flare Heat Radiation Levels to Public Passersby. Energies, 14(17), 5474. https://doi.org/10.3390/en14175474
