Transient Analysis of Multiphase Transmission Lines Located above Frequency-Dependent Soils
Abstract
:1. Introduction
2. Multiphase Overhead Transmission Line Modeling
2.1. Internal Impedance
2.2. External Impedance
2.3. Ground-Return Impedance
2.4. External Admittance
2.5. Ground-Return Admittance
3. Frequency-Dependent Soil Electrical Parameters
- < 300 Ω·m, the recommendation is to ignore the frequency-dependency of soil;
- 300 ≤ < 700 Ω·m, it is recommended to include the frequency-dependency of soil;
- ≥ 700 Ω·m, it is mandatory to consider the frequency-dependency of soil for a precise transient analysis.
4. Lightning Modeling
4.1. Subsequent Return Stroke
4.2. Gaussian Pulse
5. Methodology
- the parameters computed by MatLab using the powersys/power_lineparam routine, that uses Carson’s Equations (8) and (9). In this Matlab tool, the ground-return admittance is neglected, resulting in = . Furthermore, the Carson’s approach considers that the soil is modeled by frequency-independent parameters and the displacement currents are ignored.
6. Numerical Results and Discussion
- Section 6.1 shows the longitudinal impedance and transversal admittance of a single-circuit three-phase TL and a double-circuit three-phase TL, including the ground wires at the top, located above four homogeneous soils.
- Section 6.2 shows the transient responses of the single-circuit three-phase TL with ground wires subject to lightning currents modeled as the subsequent return stroke of Section 4.1 and the Gaussian pulse of Section 4.2.
- Section 6.3 shows the transient responses of the double-circuit three-phase TL with ground wires, subject to lightning currents modeled as the subsequent return stroke of Section 4.1 and the Gaussian pulse of Section 4.2.
6.1. Longitudinal Impedance and Transversal Admittance
- Carson’s approach–frequency constant soil parameters: Equations (5)–(7) allow the calculation of the internal and external impedances in (3). MatLab’s powersys/power_lineparam routine estimates the ground-return impedance by solving Carson’s Formula (8) and (9) considering frequency-constant resistivities of 500 Ω·m, 1000 Ω·m, 5000 Ω·m and 10,000 Ω·m. Carson’s approach considers the soil as a perfect conductor for the calculation of the shunt admittance. This approach neglects the displacement currents dispersed in the ground. Therefore is neglected ( = ).
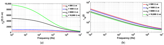
- Nakagawa’s approach—frequency dependent soil parameters: Equations (5)–(7) allow the calculation of the internal and external impedances in (3). Nakagawa’s Formulae (10), (11), (18) and (19) in combination with Alípio and Visacro’s Equation (23) and (24) allow the calculation of and matrices considering frequency-dependent soil electrical parameters. The frequency-dependent soil resistivity and permittivity are computed for soils that have a 100 Hz resistivity of 500 Ω·m, 1000 Ω·m, 5000 Ω·m and 10,000 Ω·m.
6.2. Single-Circuit Transmission Line
- the subsequent return stroke of Section 4.1, and
- the 1-MHz FWHM Gaussian pulse of Section 4.2,
6.3. Double-Circuit Transmission Line
7. Conclusions
Author Contributions
Funding
Institutional Review Board Statement
Informed Consent Statement
Data Availability Statement
Conflicts of Interest
References
- Silveira, F.H.; Visacro, S.; Alipio, R.; De Conti, A. Lightning-induced voltages over lossy ground: The effect of frequency dependence of electrical parameters of soil. IEEE Trans. Electromagn. Compat. 2014, 56, 1129–1136. [Google Scholar] [CrossRef]
- Visacro, S.; Silveira, F.H. The impact of the frequency dependence of soil parameters on the lightning performance of transmission lines. IEEE Trans. Electromagn. Compat. 2015, 57, 434–441. [Google Scholar] [CrossRef]
- Pascoalato, T.; de Araújo, A.; Kurokawa, S.; Pissolato Filho, J. Analysis of transient voltages and currents in short transmission lines on frequency-dependent soils. Electr. Power Syst. Res. 2021, 194, 107103. [Google Scholar] [CrossRef]
- Salarieh, B.; Kordi, B. Full-wave black-box transmission line tower model for the assessment of lightning backflashover. Electr. Power Syst. Res. 2021, 199, 107399. [Google Scholar] [CrossRef]
- Cavka, D.; Mora, N.; Rachidi, F. A comparison of frequency-dependent soil models: Application to the analysis of grounding systems. IEEE Trans. Electromagn. Compat. 2013, 56, 177–187. [Google Scholar] [CrossRef]
- Ratcliffe, J.; White, F. LXIII. The electrical properties of the soil at radio frequencies. Lond. Edinb. Dublin Philos. Mag. J. Sci. 1930, 10, 667–680. [Google Scholar] [CrossRef]
- Smith-Rose, R. The electrical properties of soil for alternating currents at radio frequencies. Proc. R. Soc. Lond. Ser. Contain. Pap. Math. Phys. Character 1933, 140, 359–377. [Google Scholar]
- Scott, J.; Carroll, R.; Cunningham, D. Dielectric Constant and Electrical Conductivity of Moist Rock from Laboratory Measurements. US Dept. of Interior Geological Survey Technical Letter, Special Projects-12. August 1964; Volume 17. Available online: http://ece-research.unm.edu/summa/notes/SSN/note116.pdf (accessed on 17 August 2021).
- Longmire, C.L.; Smith, K.S. A Universal Impedance for Soils; Technical Report; Mission Research Corp.: Santa Barbara, CA, USA, 1975; Available online: https://apps.dtic.mil/sti/pdfs/ADA025759.pdf (accessed on 17 August 2021).
- Messier, M. The Propagation of an Electromagnetic Impulse through Soil: Influence of Frequency Dependent Parameters; Technical Report MRC-N-415; Mission Research Corp.: Santa Barbara, CA, USA, 1980. [Google Scholar]
- Visacro, S.; Portela, C. Soil permittivity and conductivity behavior on frequency range of transient phenomena in electric power systems. In Proceedings of the International Symposium on High Voltage Engineering, Stadthalle, Germany, 24–28 August 1987. [Google Scholar]
- Portela, C. Measurement and modeling of soil electromagnetic behavior. In Proceedings of the IEEE International Symposium on Electromagnetic Compatability, Seattle, WA, USA, 2–6 August 1999; Volume 2, pp. 1004–1009. [Google Scholar]
- Visacro, S.; Alipio, R.; Vale, M.H.M.; Pereira, C. The response of grounding electrodes to lightning currents: The effect of frequency-dependent soil resistivity and permittivity. IEEE Trans. Electromagn. Compat. 2011, 53, 401–406. [Google Scholar] [CrossRef]
- Visacro, S.; Alipio, R. Frequency dependence of soil parameters: Experimental results, predicting formula and influence on the lightning response of grounding electrodes. IEEE Trans. Power Deliv. 2012, 27, 927–935. [Google Scholar] [CrossRef]
- Alipio, R.; Visacro, S. Modeling the frequency dependence of electrical parameters of soil. IEEE Trans. Electromagn. Compat. 2014, 56, 1163–1171. [Google Scholar] [CrossRef]
- Cigré, W.G. Impact of Soil-Parameter Frequency Dependence on the Response of Grounding Electrodes and on the Lightning Performance of Electrical Systems (C4.33). Technical Brochure 781. 2019. Available online: https://e-cigre.org/publication/781-impact-of-soil-parameter-frequency-dependence-on-the-response-of-grounding-electrodes-and-on-the-lightning-performance-of-electrical-systems (accessed on 17 August 2021).
- Wedepohl, L.; Efthymiadis, A.E. Wave propagation in transmission lines over lossy ground: A new, complete field solution. Proc. Inst. Electr. Eng. 1978, 125, 505–510. [Google Scholar] [CrossRef]
- De Lima, A.C.S.; Portela, C.M. Inclusion of frequency-dependent soil parameters in transmission-line modeling. IEEE Trans. Power Deliv. 2007, 22, 492–499. [Google Scholar] [CrossRef]
- Gertrudes, J.B.; Tavares, M.C.; Portela, C. Transient analysis on overhead transmission line considering the frequency dependent soil representation. In Proceedings of the 2011 IEEE Electrical Power and Energy Conference, Detroit, MI, USA, 24–28 July 2011; pp. 362–367. [Google Scholar] [CrossRef]
- Portela, C.M.; Tavares, M.C.; Filho, J.P. Accurate representation of soil behaviour for transient studies. IEE Proc. Gener. Transm. Distrib. 2003, 150, 736–744. [Google Scholar] [CrossRef]
- De Conti, A.; Emídio, M.P.S. Simulation of transients with a modal-domain based transmission line model considering ground as a dispersive medium. In Proceedings of the IPST’2015—International Conference on Power Systems Transients, Cavtat, Croatia, 15–18 June 2015. [Google Scholar]
- De Conti, A.; Emídio, M.P.S. Extension of a modal-domain transmission line model to include frequency-dependent ground parameters. Electr. Power Syst. Res. 2016, 138, 120–130. [Google Scholar] [CrossRef]
- Moura, R.A.; Schroeder, M.A.; Menezes, P.H.; Nascimento, L.C.; Lobato, A.T. Influence of the soil and frequency effects to evaluate atmospheric overvoltages in overhead transmission lines—Part I: The influence of the soil in the transmission lines parameters. In Proceedings of the XV International Conference on Atmospheric Electricity, Norman, OK, USA, 15–20 June 2014; pp. 15–20. [Google Scholar]
- Li, Z.; He, J.; Zhang, B.; Yu, Z. Influence of frequency characteristics of soil parameters on ground-return transmission line parameters. Electr. Power Syst. Res. 2016, 139, 127–132. [Google Scholar] [CrossRef]
- Papadopoulos, T.A.; Chrysochos, A.I.; Traianos, C.K.; Papagiannis, G. Closed-Form Expressions for the Analysis of Wave Propagation in Overhead Distribution Lines. Energies 2020, 13, 4519. [Google Scholar] [CrossRef]
- Piantini, A. Lightning Interaction with Power Systems, Vol.1-Fundamental and Modelling, 1st ed.; IET Institution of Engineering and Technology: London, UK, 2020; Volume 1, ISBN 978-1-83953-091-3. [Google Scholar]
- Hofmann, L. Series expansions for line series impedances considering different specific resistances, magnetic permeabilities, and dielectric permittivities of conductors, air, and ground. IEEE Trans. Power Deliv. 2003, 18, 564–570. [Google Scholar] [CrossRef]
- Mingli, W.; Yu, F. Numerical calculations of internal impedance of solid and tubular cylindrical conductors under large parameters. IEE Proc. Gener. Transm. Distrib. 2004, 151, 67–72. [Google Scholar] [CrossRef]
- Dommel, H.W. Overhead Line Parameters From Handbook Formulas And Computer Programs. IEEE Trans. Power Appar. Syst. 1985, PAS-104, 366–372. [Google Scholar] [CrossRef]
- Martinez-Velasco, J.A. Power System Transients: Parameter Determination; CRC Press: Boca Raton, FL, USA, 2009; p. 644. [Google Scholar]
- Carson, J.R. Wave propagation in overhead wires with ground return. Bell Syst. Tech. J. 1926, 5, 539–554. [Google Scholar] [CrossRef]
- Nakagawa, M. Admittance correction effects of a single overhead line. IEEE Trans. Power Appar. Syst. 1981, 3, 1154–1161. [Google Scholar] [CrossRef]
- Papadopoulos, T.A.; Papagiannis, G.K.; Labridis, D.P. A generalized model for the calculation of the impedances and admittances of overhead power lines above stratified earth. Electr. Power Syst. Res. 2010, 80, 1160–1170. [Google Scholar] [CrossRef]
- Martins-Britto, A.G.; Moraes, C.M.; Lopes, F.V. Transient electromagnetic interferences between a power line and a pipeline due to a lightning discharge: An EMTP-based approach. Electr. Power Syst. Res. 2021, 197, 107321. [Google Scholar] [CrossRef]
- Ametani, A.; Miyamoto, Y.; Baba, Y.; Nagaoka, N. Wave propagation on an overhead multiconductor in a high-frequency region. IEEE Trans. Electromagn. Compat. 2014, 56, 1638–1648. [Google Scholar] [CrossRef]
- Wise, W.H. Potential coefficients for ground return circuits. Bell Syst. Tech. J. 1948, 27, 365–371. [Google Scholar] [CrossRef]
- Akbari, M.; Sheshyekani, K.; Pirayesh, A.; Rachidi, F.; Paolone, M.; Borghetti, A.; Nucci, C.A. Evaluation of Lightning Electromagnetic Fields and Their Induced Voltages on Overhead Lines Considering the Frequency Dependence of Soil Electrical Parameters. IEEE Trans. Electromagn. Compat. 2013, 55, 1210–1219. [Google Scholar] [CrossRef]
- Salarieh, B.; De Silva, H.J.; Kordi, B. Electromagnetic transient modeling of grounding electrodes buried in frequency dependent soil with variable water content. Electr. Power Syst. Res. 2020, 189, 106595. [Google Scholar] [CrossRef]
- Nazari, M.; Moini, R.; Fortin, S.; Dawalibi, F.P.; Rachidi, F. Impact of Frequency-Dependent Soil Models on Grounding System Performance for Direct and Indirect Lightning Strikes. IEEE Trans. Electromagn. Compat. 2021, 63, 134–144. [Google Scholar] [CrossRef]
- Salvador, J.P.L.; Alipio, R.; Lima, A.C.S.; Correia de Barros, M.T. A Concise Approach of Soil Models for Time-Domain Analysis. IEEE Trans. Electromagn. Compat. 2020, 62, 1772–1779. [Google Scholar] [CrossRef]
- Friedman, S.P. Soil properties influencing apparent electrical conductivity: A review. Comput. Electron. Agric. 2005, 46, 45–70. [Google Scholar] [CrossRef]
- Smith-Rose, R. Electrical measurements on soil with alternating currents. J. Inst. Electr. Eng. 1934, 75, 221–237. [Google Scholar]
- Alipio, R.; Conceição, D.; De Conti, A.; Yamamoto, K.; Dias, R.N.; Visacro, S. A comprehensive analysis of the effect of frequency-dependent soil electrical parameters on the lightning response of wind-turbine grounding systems. Electr. Power Syst. Res. 2019, 175, 105927. [Google Scholar] [CrossRef]
- Mestriner, D.; Ribeiro de Moura, R.A.; Procopio, R.; de Oliveira Schroeder, M.A. Impact of Grounding Modeling on Lightning-Induced Voltages Evaluation in Distribution Lines. Appl. Sci. 2021, 11, 2931. [Google Scholar] [CrossRef]
- Cigré, W.G. Procedures for Estimating the Lightning Performance of Transmission Lines—New Aspects (C4.23). Technical Brochure 839. 2021. Available online: https://e-cigre.org/publication/839-procedures-for-estimating-the-lightning-performance-of-transmission-lines–new-aspects (accessed on 17 August 2021).
- Alipio, R.; De Conti, A.; Duarte, N.; de Barros, M.T.C. Bare versus insulated conductors for improving the lightning response of interconnected wind turbine grounding systems. Electr. Power Syst. Res. 2021, 197, 107320. [Google Scholar] [CrossRef]
- Formisano, A.; Petrarca, C.; Hernández, J.C.; Muñoz-Rodríguez, F.J. Assessment of induced voltages in common and differential-mode for a PV module due to nearby lightning strikes. IET Renew. Power Gener. 2019, 13, 1369–1378. [Google Scholar] [CrossRef]
- Serra, F.M.; Fernández, L.M.; Montoya, O.D.; Gil-González, W.; Hernández, J.C. Nonlinear Voltage Control for Three-Phase DC-AC Converters in Hybrid Systems: An Application of the PI-PBC Method. Electronics 2020, 9, 847. [Google Scholar] [CrossRef]
- Karami, H.; Sheshyekani, K. Harmonic impedance of grounding electrodes buried in a horizontally stratified multilayer ground: A full-wave approach. IEEE Trans. Electromagn. Compat. 2017, 60, 899–906. [Google Scholar] [CrossRef]
- Heidler, F.; Cvetic, J.; Stanic, B. Calculation of lightning current parameters. IEEE Trans. Power Deliv. 1999, 14, 399–404. [Google Scholar] [CrossRef]
- De Conti, A.; Alipio, R. Single-Port Equivalent Circuit Representation of Grounding Systems Based on Impedance Fitting. IEEE Trans. Electromagn. Compat. 2019, 61, 1683–1685. [Google Scholar] [CrossRef]
- Rachidi, F.; Janischewskyj, W.; Hussein, A.M.; Nucci, C.A.; Guerrieri, S.; Kordi, B.; Chang, J.S. Current and electromagnetic field associated with lightning-return strokes to tall towers. IEEE Trans. Electromagn. Compat. 2001, 43, 356–367. [Google Scholar] [CrossRef]
- Colqui, J.S.; Kurokawa, S.; Pissolato, J. An alternative procedure to obtain the ABCD matrix of multiphase transmission lines: Validation and applications. Electr. Power Syst. Res. 2020, 180, 106161. [Google Scholar] [CrossRef]
- Moreno, P.; Ramirez, A. Implementation of the numerical Laplace transform: A review task force on frequency domain methods for EMT studies, working group on modeling and analysis of system transients using digital simulation, general systems subcommittee, IEEE Power Engineering Society. IEEE Trans. Power Deliv. 2008, 23, 2599–2609. [Google Scholar]
- Aggarwal, R. 36-Electromagnetic Transients. In Electrical Engineer’s Reference Book, 6th ed.; Laughton, M., Warne, D., Eds.; Newnes: Oxford, UK, 2003; pp. 36-1–36-16. [Google Scholar]














| Impulsive Current | (kA) | (μs) | (μs) | n | η | (kA) |
|---|---|---|---|---|---|---|
| Subsequent stroke () | 10.7 | 0.25 | 2.5 | 2 | 0.6394 | 12.09 |
| Subsequent stroke () | 6.5 | 2.1 | 230 | 2 | 0.8765 |
| Impulsive Current | (kA) | (ns) | |
|---|---|---|---|
| Gaussian Pulse | 1.6 | 440 | 1.1774 |
| Lightning Current | Soil Resistivity (Ω·m) | TL Length | |
|---|---|---|---|
| 5 km | 50 km | ||
| Subsequent stroke | 500 | Figure 10a | Figure 10b |
| 1000 | Figure 10c | Figure 10d | |
| 5000 | Figure 10e | Figure 10f | |
| 10,000 | Figure 10g | Figure 10h | |
| Gaussian Pulse | 500 | Figure 11a | Figure 11b |
| 1000 | Figure 11c | Figure 11d | |
| 5000 | Figure 11e | Figure 11f | |
| 10,000 | Figure 11g | Figure 11h | |
| Peaks | LT length | Soil Resistivity (Ω·m) | Subsequent Stroke | Gaussian Pulse |
|---|---|---|---|---|
| First peak | 5 km | 500 | 1.59 | 1.50 |
| 1000 | 1.61 | 0.99 | ||
| 5000 | 5.47 | 1.41 | ||
| 10,000 | 6.26 | 1.75 | ||
| 50 km | 500 | 6.01 | −0.57 | |
| 1000 | 5.39 | −0.70 | ||
| 5000 | 3.77 | 10.72 | ||
| 10,000 | 3.91 | 10.74 | ||
| Second peak | 5 km | 500 | 2.49 | 2.71 |
| 1000 | 2.08 | 2.25 | ||
| 5000 | 0.82 | 4.19 | ||
| 10,000 | 0.89 | 4.32 | ||
| 50 km | 500 | 4.97 | −14.89 | |
| 1000 | 4.90 | −9.39 | ||
| 5000 | 4.26 | 18.07 | ||
| 10,000 | 4.31 | 18.65 | ||
| Third peak | 5 km | 500 | 1.70 | 2.46 |
| 1000 | 1.36 | 2.53 | ||
| 5000 | 0.49 | 5.97 | ||
| 10,000 | 0.58 | 6.12 | ||
| 50 km | 500 | 4.69 | −24.09 | |
| 1000 | 4.68 | −15.66 | ||
| 5000 | 4.42 | 26.15 | ||
| 10,000 | 4.43 | 25.83 |
| Lightning Current | Soil Resistivity (Ω·m) | TL Length | |
|---|---|---|---|
| 5 km | 50 km | ||
| Subsequent stroke | 500 | Figure 13a | Figure 13b |
| 1000 | Figure 13c | Figure 13d | |
| 5000 | Figure 13e | Figure 13f | |
| 10,000 | Figure 13g | Figure 13h | |
| Gaussian Pulse | 500 | Figure 14a | Figure 14b |
| 1000 | Figure 14c | Figure 14d | |
| 5000 | Figure 14e | Figure 14f | |
| 10,000 | Figure 14g | Figure 14h | |
| Peaks | LT Length | Soil Resistivity (Ω·m) | Subsequent Stroke | Gaussian Pulse |
|---|---|---|---|---|
| First peak | 5 km | 500 | 2.43 | −7.00 |
| 1000 | 3.41 | −6.12 | ||
| 5000 | 6.53 | −0.98 | ||
| 10,000 | 7.75 | −0.24 | ||
| 50 km | 500 | 1.20 | 8.93 | |
| 1000 | 1.74 | 13.36 | ||
| 5000 | 2.33 | 19.67 | ||
| 10,000 | 2.34 | 21.09 | ||
| Second peak | 5 km | 500 | −0.14 | 3.42 |
| 1000 | −0.02 | 5.62 | ||
| 5000 | 0.34 | 9.45 | ||
| 10,000 | 0.54 | 10.48 | ||
| 50 km | 500 | 0.93 | 16.95 | |
| 1000 | 1.48 | 21.99 | ||
| 5000 | 2.05 | 33.82 | ||
| 10,000 | 2.14 | 36.75 | ||
| Third peak | 5 km | 500 | −0.10 | 4.74 |
| 1000 | 0.03 | 6.84 | ||
| 5000 | 0.64 | 12.34 | ||
| 10,000 | 1.11 | 13.27 | ||
| 50 km | 500 | 1.14 | 18.60 | |
| 1000 | 1.43 | 24.53 | ||
| 5000 | 2.22 | 39.15 | ||
| 10,000 | 2.52 | 42.75 |
Publisher’s Note: MDPI stays neutral with regard to jurisdictional claims in published maps and institutional affiliations. |
© 2021 by the authors. Licensee MDPI, Basel, Switzerland. This article is an open access article distributed under the terms and conditions of the Creative Commons Attribution (CC BY) license (https://creativecommons.org/licenses/by/4.0/).
Share and Cite
Garbelim Pascoalato, T.F.; Justo de Araújo, A.R.; Caballero, P.T.; Leon Colqui, J.S.; Kurokawa, S. Transient Analysis of Multiphase Transmission Lines Located above Frequency-Dependent Soils. Energies 2021, 14, 5252. https://doi.org/10.3390/en14175252
Garbelim Pascoalato TF, Justo de Araújo AR, Caballero PT, Leon Colqui JS, Kurokawa S. Transient Analysis of Multiphase Transmission Lines Located above Frequency-Dependent Soils. Energies. 2021; 14(17):5252. https://doi.org/10.3390/en14175252
Chicago/Turabian StyleGarbelim Pascoalato, Tainá Fernanda, Anderson Ricardo Justo de Araújo, Pablo Torrez Caballero, Jaimis Sajid Leon Colqui, and Sérgio Kurokawa. 2021. "Transient Analysis of Multiphase Transmission Lines Located above Frequency-Dependent Soils" Energies 14, no. 17: 5252. https://doi.org/10.3390/en14175252
APA StyleGarbelim Pascoalato, T. F., Justo de Araújo, A. R., Caballero, P. T., Leon Colqui, J. S., & Kurokawa, S. (2021). Transient Analysis of Multiphase Transmission Lines Located above Frequency-Dependent Soils. Energies, 14(17), 5252. https://doi.org/10.3390/en14175252

