A Voltage Sag Severity Evaluation Method for the System Side Which Considers the Influence of the Voltage Tolerance Curve and Sag Type
Abstract
:1. Introduction
2. Improved Energy Index of Voltage Sag Combined with Voltage Tolerance Curve
2.1. Voltage Sag Energy Index
2.2. Voltage Tolerance Curve
2.3. Problems with Energy Index and Voltage Tolerance Curve
2.4. Sag Energy Index Based on Voltage Tolerance Curve
2.4.1. Construction of Comparison Benchmark Values
2.4.2. Determination of Improved Energy Index
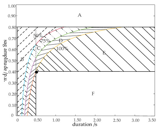
2.4.3. Severity Classification of Sag Events
3. Energy Index Correction Factor Considering Sag Type
3.1. The Necessity of Revising the Energy Index Based on the Sag Type
3.2. Energy Index Correction Factor Considering Sag Type
3.2.1. Correction Factor of the Influence of Sag Type on Voltage Tolerance Curve
3.2.2. Correction Factor for the Influence of Sag Type on Load
3.2.3. Determination of Energy Index Correction Factor
4. Evaluation of Voltage Sag Based on Improved Energy Index
4.1. Improved Energy Index Considering Sag Type for Single Sag Event
4.2. Severity Ranking of Multiple Voltage Sag Events Based on Measurement Function
4.3. Voltage Sag Evaluation Process Based on Improved Energy Index
- The sag events and sag characteristic quantities, according to the measured data, are input;
- According to the characteristic quantities of each sag event, the corresponding energy index is calculated and the distribution in the comprehensive load tolerance curve is obtained;
- According to the distribution characteristics of each sag event, the corresponding comparison benchmark value and weight coefficient are selected to form an improved energy index, and, on this basis, the zoning and grading evaluation of the severity of the sag event is carried out;
- The correction factor of energy index is formed based on the type of each sag event, and the improved energy index considering the type of sag is obtained by combining the improved energy index;
- The sorting result of the severity of multiple sag events of a single node and the sorting result of the average improved energy index of multiple nodes are output. The specific process is shown in Figure 6.
5. Case Studies
5.1. Monitoring Data Acquisition
5.2. Evaluation Results and Analysis
5.3. Comparison of Different Evaluation Indicators
6. Conclusions
- From the perspective of the evaluation of the grid system, the user’s comprehensive voltage tolerance curve is constructed, which avoids the problem of difficult access to user-side information, and indirectly reflects the severity of user equipment affected by the sag.
- Based on the voltage tolerance curve’s ability to reasonably select the comparison reference value of the energy index, the severity of the sag event located in the normal area and the abnormal area can be quickly evaluated and the problem of the energy index not being able to evaluate the severity of a single sag event is solved, although it remains impossible to assess the severity of the sag event in the uncertain area.
- Combining the voltage tolerance curve and energy index, through interval division, interval weight calculation and other operations, and considering the requirements of user governance expectations, the establishment of the severity level of voltage sag events in the uncertain area has achieved the purpose of grading evaluation. This can guide the control of the sag and has practical engineering significance.
- By comprehensively considering the influence of the type of sag type on the voltage tolerance curve and user equipment, the energy index correction factor is constructed, and the measurement function is used to calculate the voltage sag severity ranking in order to achieve the purpose of interval evaluation and to make the evaluation result more in line with the actual situation.
- Based on the measurement function, the severity results of the multiple sag events of a single node or multiple nodes can be sorted, and the weak nodes of the power grid can be obtained, which can provide a guiding plan for the access of sensitive equipment to the power grid nodes in the future.
- In future research, it is possible to further analyze issues, such as the tolerance curve of the general equipment on the system side and the mixed load in the user equipment in order to make the evaluation results more realistic.
Author Contributions
Funding
Institutional Review Board Statement
Informed Consent Statement
Data Availability Statement
Acknowledgments
Conflicts of Interest
References
- He, H.; Zhang, W.; Wang, Y.; Xiao, X. A Sensitive Industrial Process Model for Financial Losses Assessment Due to Voltage Sag and Short Interruptions. IEEE Trans. Power Deliv. 2020, 36, 1293–1301. [Google Scholar] [CrossRef]
- Yang, D.; Gao, X.; Ma, Z.; Cui, E.; Zhang, H. Novel Voltage Sag Protection Topology of Contactors for Uninterrupted Switching Capability. IEEE Trans. Ind. Appl. 2018, 54, 3170–3178. [Google Scholar] [CrossRef]
- Liu, Y.; Xiao, X.; Zhang, X.; Wang, Y. Multi-Objective Optimal STATCOM Allocation for Voltage Sag Mitigation. IEEE Trans. Power Deliv. 2020, 35, 1410–1422. [Google Scholar] [CrossRef]
- Wang, Y.; Yang, Y.; Xiao, X. Configuration strategy of shared mitigation equipment for voltage sag considering the demands of users. IET Gener. Transm. Distrib. 2020, 14, 6338–6347. [Google Scholar] [CrossRef]
- Motoki, E.; Filho, J.; da Silveira, P.; Pereira, N.; de Souza, P. Cost of Industrial Process Shutdowns Due to Voltage Sag and Short Interruption. Energies 2021, 14, 2874. [Google Scholar] [CrossRef]
- IEEE Guide for Voltage Sag Indices; IEEE Std. 1564-2014; IEEE: Piscataway, NJ, USA, 2014; pp. 1–59.
- Prajjwal, G.; Prasanna, P.; Rajesh, K. Development and Integration of Momentary Event Models in Active Distribution System Reliability Assessment. IEEE Trans. Power Syst. 2020, 35, 3236–3246. [Google Scholar]
- Liao, H.; Abdelrahman, S.; Guo, Y.; Milanovic, J. Identification of Weak Areas of Power Network Based on Exposure to Voltage Sags—Part I: Development of Sag Severity Index for Single-Event Characterization. IEEE Trans. Power Deliv. 2015, 30, 2392–2400. [Google Scholar] [CrossRef]
- Rajender, K.; Manish, K.; Anand, N.; Basit, Q.; Akanksha, A. A Critical Analysis of Methodologies for Detection and Classification of Power Quality Events in Smart Grid. IEEE Access 2021, 9, 83507–83534. [Google Scholar]
- Amir, S.; Mahmud, F.; Matti, L. A General Framework for Voltage Sag Performance Analysis of Distribution Networks. Energies 2019, 12, 2824. [Google Scholar]
- Wu, G.; Zhong, Q.; He, Q.; Xu, Z. Evaluation Method and Probabilistic Index of Voltage Sag Severity Considering Point-on-wave. J. Mod. Power Syst. Clean Energy 2021, 9, 633–638. [Google Scholar] [CrossRef]
- Jiang, H.; Xu, Y.; Liu, Z.; Ma, N.; Lu, W. A BPSO-Based Method for Optimal Voltage Sag Monitor Placement Considering Uncertainties of Transition Resistance. IEEE Access 2020, 8, 80382–80394. [Google Scholar] [CrossRef]
- Vijaya, H.; Nita, P.; Junghare, A. Computation of Energy Loss in an Induction Motor during Unsymmetrical Voltage Sags—A Graphical Method. IEEE Trans. Ind. Inf. 2018, 14, 2023–2030. [Google Scholar]
- Rodney, H.G.T.; Vigna, K.R. Voltage Sag Acceptability Assessment Using Multiple Magnitude-Duration Function. IEEE Trans. Power Deliv. 2012, 27, 1984–1990. [Google Scholar]
- Mo, W.; Xu, Z.; Ma, Z.; Li, C.; Lu, W. Estimation of single-event voltage sags using a novel classification method. In Proceedings of the Industrial Electronics Society IECON 2017-43rd Annual Conference of the IEEE, Beijing, China, 29 October–1 November 2017; pp. 233–238. [Google Scholar]
- Lv, J.; Liu, Y.; Fan, X.; Deng, S.; Wu, Y.; Ye, X. Node Voltage Sag Severity Evaluation Based on Improved Energy Index. In Proceedings of the 2020 10th International Conference on Power and Energy Systems (ICPES), Chengdu, China, 25–27 December 2020; pp. 38–43. [Google Scholar]
- Chang, H.Y.P.; Gilsoo, J. Systematic Method to Identify an Area of Vulnerability to Voltage Sags. IEEE Trans. Power Deliv. 2017, 32, 1583–1591. [Google Scholar]
- Behera, C.; Reddy, G.; Chakrapani, P.; Goswami, A.; Gupta, C.; Singh, G. Assessment of Equipment Trip Probability Due to Voltage Sags Based on Fuzzy Possibility Distribution Function. IEEE Access 2018, 6, 76889–76899. [Google Scholar] [CrossRef]
- Cebrian, J.; Kagan, N.; Milanović, J. Probabilistic Estimation of Distribution Network Performance with Respect to Voltage Sags and Interruptions Considering Network Protection Setting—Part I: The Methodology. IEEE Trans. Power Deliv. 2018, 33, 42–51. [Google Scholar] [CrossRef]
- Xiao, X.; He, H.; Wang, Y. Analytical model of AC contactors for studying response mechanism to multi-dimensional voltage sag characteristics and its novel applications. IET Gener. Transm. Distrib. 2019, 13, 3910–3920. [Google Scholar] [CrossRef]
- Xu, Y.; Wu, Y.; Zhang, M.; Xu, S. Sensitivity of Programmable Logic Controllers to Voltage Sags. IEEE Trans. Power Deliv. 2019, 34, 2–10. [Google Scholar] [CrossRef]
- Anthony, J.; Christe, S.; Philip, M. Design Implementation and Evaluation of Open Power Quality. Energies 2020, 13, 4032. [Google Scholar]
- Cigre/Cired/Uie Joint Working Group C4.110 Voltage Dip Immunity of Equipment and Installations; Cigre Technical Brochure 412; CIGRE: Paris, France, 2010.
- Xu, Y.; Li, C.; Wang, K. Compatibility between low voltage variable-frequency drives and voltage sags in distribution systems. Trans. China Electrotech. Soc. 2019, 34, 2216–2229. [Google Scholar]
- Mallek, M.; Rodney, H. Evaluation of power quality experience in UCSI University North Wing Campus. In Proceedings of the 2017 2nd International Conference Sustainable and Renewable Energy Engineering (ICSREE), Hiroshima, Japan, 10–12 May 2017; pp. 129–133. [Google Scholar]
- Alan, C. A Cement Plant’s Experience in Investigating Power Sags Leads to a Reduction in Kiln Outages by Utilizing Power Hardening Methods. IEEE Trans. Ind. Appl. 2016, 52, 4435–4441. [Google Scholar]
- Somrak, T.; Tayjasanant, T. Minimized Financial Losses Due to Interruptions and Voltage Sags with Consideration of Investment Cost. In Proceedings of the 2019 IEEE PES GTD Grand International Conference and Exposition Asia (GTD Asia), Bangkok, Thailand, 19–23 March 2019; pp. 29–34. [Google Scholar]
- Li, Y.; Wei, G.; Li, G. Research on optimization of power supply route of active distribution network considering DG. Proc. CSEE 2018, 38, 1971–1979. [Google Scholar]











| Event Region | A | B | C | D | E | F |
|---|---|---|---|---|---|---|
| Severity evaluation level | extremely low | low | slightly low | slightly high | high | extremely high |
| Sag Type | Type I | Type II | Type III |
| Equipment failure rate pi/% | 76.33 | 76.33 | 79.33 |
| Event Number | Sag Amplitude U/p.u. | Duration T/ms | Sag Type |
|---|---|---|---|
| 1 | 0.46 | 352 | Single-phase |
| 2 | 0.89 | 19 | Single-phase |
| 3 | 0.18 | 310 | Two-phase |
| 4 | 0.70 | 38 | Single-phase |
| 5 | 0.83 | 400 | Single-phase |
| 6 | 0.75 | 182 | Single-phase |
| 7 | 0.70 | 361 | Single-phase |
| 8 | 0.56 | 203 | Two-phase |
| 9 | 0.28 | 1047 | Three-phase |
| 10 | 0.29 | 1050 | Single-phase |
| 11 | 0.38 | 672 | Single-phase |
| 12 | 0.37 | 954 | Single-phase |
| 13 | 0.41 | 13 | Single-phase |
| 14 | 0.70 | 740 | Single-phase |
| 15 | 0.51 | 56 | Two-phase |
| 16 | 0.53 | 560 | Two-phase |
| 17 | 0.80 | 9 | Single-phase |
| 18 | 0.88 | 55 | Single-phase |
| 19 | 0.50 | 1021 | Three-phase |
| 20 | 0.54 | 147 | Two-phase |
| 21 | 0.59 | 671 | Two-phase |
| 22 | 0.35 | 194 | Single-phase |
| 23 | 0.83 | 20 | Single-phase |
| 24 | 0.76 | 254 | Two-phase |
| Event Number | Event Number | ||
|---|---|---|---|
| 1 | [0.164,0.493] | 13 | [0.004,0.011] |
| 2 | [0.001,0.004] | 14 | [0.198,0.594] |
| 3 | [0.475,0.713] | 15 | [0.045,0.068] |
| 4 | [0.008,0.024] | 16 | [0.609,0.913] |
| 5 | [0.044,0.131] | 17 | [0.001,0.003] |
| 6 | [0.030,0.090] | 18 | [0.005,0.014] |
| 7 | [0.073,0.220] | 19 | [1.457,1.836] |
| 8 | [0.142,0.213] | 20 | [0.111,0.166] |
| 9 | [2.639,3.327] | 21 | [0.599,0.899] |
| 10 | [1.094,3.282] | 22 | [0.114,0.343] |
| 11 | [0.560,1.679] | 23 | [0.002,0.006] |
| 12 | [0.825,2.473] | 24 | [0.077,0.116] |
| Event Number | MSDI | Se | Event Number | MSDI | Se |
|---|---|---|---|---|---|
| 1 | 59.57 | 0.91 | 13 | 0.00 | 0.59 |
| 2 | 0.00 | 0.11 | 14 | 24.63 | 0.75 |
| 3 | 60.42 | 1.37 | 15 | 5.42 | 0.82 |
| 4 | 0.92 | 0.50 | 16 | 67.68 | 1.18 |
| 5 | 0.00 | 0.28 | 17 | 0.00 | 0.20 |
| 6 | 4.45 | 0.42 | 18 | 0.00 | 0.20 |
| 7 | 16.91 | 0.49 | 19 | 75.60 | 1.26 |
| 8 | 22.76 | 0.73 | 20 | 17.44 | 0.77 |
| 9 | 100.00 | 1.79 | 21 | 53.50 | 1.04 |
| 10 | 100.00 | 1.77 | 22 | 36.25 | 1.09 |
| 11 | 100.00 | 1.54 | 23 | 0.00 | 0.17 |
| 12 | 100.00 | 1.57 | 24 | 4.67 | 0.39 |
Publisher’s Note: MDPI stays neutral with regard to jurisdictional claims in published maps and institutional affiliations. |
© 2021 by the authors. Licensee MDPI, Basel, Switzerland. This article is an open access article distributed under the terms and conditions of the Creative Commons Attribution (CC BY) license (https://creativecommons.org/licenses/by/4.0/).
Share and Cite
Xu, Y.; Fan, X.; Deng, S.; Niu, C. A Voltage Sag Severity Evaluation Method for the System Side Which Considers the Influence of the Voltage Tolerance Curve and Sag Type. Energies 2021, 14, 5065. https://doi.org/10.3390/en14165065
Xu Y, Fan X, Deng S, Niu C. A Voltage Sag Severity Evaluation Method for the System Side Which Considers the Influence of the Voltage Tolerance Curve and Sag Type. Energies. 2021; 14(16):5065. https://doi.org/10.3390/en14165065
Chicago/Turabian StyleXu, Yonghai, Xingguan Fan, Siying Deng, and Chunhao Niu. 2021. "A Voltage Sag Severity Evaluation Method for the System Side Which Considers the Influence of the Voltage Tolerance Curve and Sag Type" Energies 14, no. 16: 5065. https://doi.org/10.3390/en14165065
APA StyleXu, Y., Fan, X., Deng, S., & Niu, C. (2021). A Voltage Sag Severity Evaluation Method for the System Side Which Considers the Influence of the Voltage Tolerance Curve and Sag Type. Energies, 14(16), 5065. https://doi.org/10.3390/en14165065

