Numerical Modeling of Sublimation of Ammonium Carbamate Applied to Supply System of NOx Reductant
Abstract
:1. Introduction
2. Materials and Methods
2.1. Experiment Set-Up
2.2. Numerical Method
2.2.1. Sublimation Numerical Analysis Model
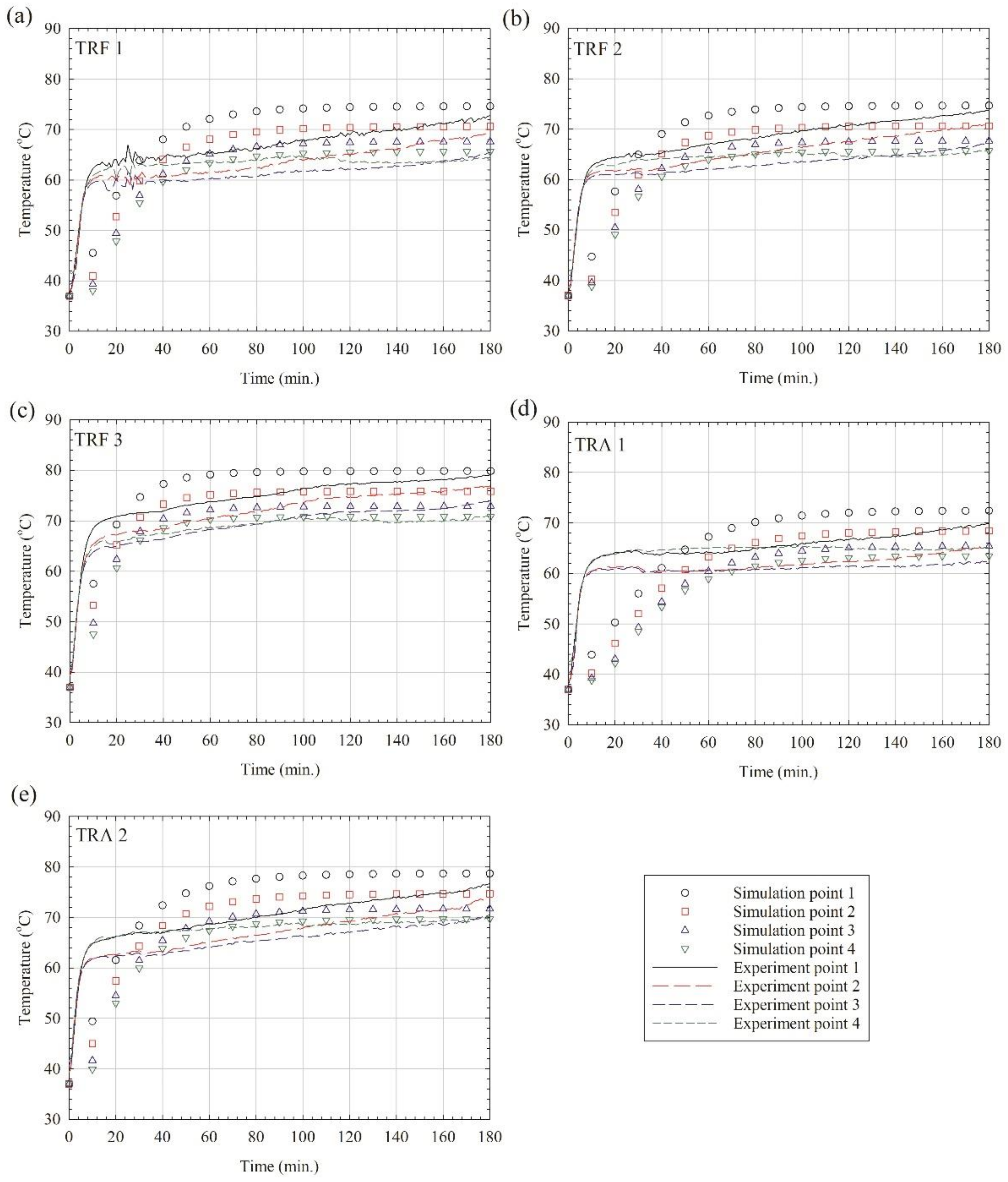
2.2.2. Model Validation
3. Results and Discussion
4. Conclusions
Author Contributions
Funding
Institutional Review Board Statement
Informed Consent Statement
Conflicts of Interest
References
- Xu, L.; Tsona, N.T.; You, B.; Zhang, Y.; Wang, S.; Yang, Z.; Xue, L.; Du, L. NOx enhances secondary organic aerosol formation from nighttime γ-terpinene ozonolysis. Atmos. Environ. 2020, 225, 117375. [Google Scholar] [CrossRef]
- 2014 National Emissions Inventory Technical Support Document. Available online: https://www.epa.gov/sites/production/files/2018-07/documents/nei2014v2_tsd_05jul2018.pdf (accessed on 23 June 2021).
- Gou, X.; Wu, C.; Zhang, K.; Xu, G.; Si, M.; Wang, Y.; Wang, E.; Liu, L.; Wu, J. Low temperature performance of selective catalytic reduction of NO with NH3 under a concentrated Co2 atmosphere. Energies 2015, 8, 12331–12341. [Google Scholar] [CrossRef] [Green Version]
- Li, L.; Lin, W.; Zhang, Y. A new dynamic injection system of urea-water solution for a vehicular select catalyst reduction system. Energies 2017, 10, 12. [Google Scholar] [CrossRef] [Green Version]
- Fulks, G.; Fisher, G.B.; Rahmoeller, K.; Wu, M.C.; Herde, E. A review of solid materials as alternative ammonia sources for lean NOx reduction with SCR. SAE Int. 2009. [Google Scholar] [CrossRef]
- Gramigni, F.; Nasello, N.D.; Selleri, T.; Nova, I.; Tronconi, E.; Dieterich, S.; Weibel, M. Unexpected low-temperature deNOx activity of AdSCR systems for cold start NOx abatement. Emiss. Control Sci. Technol. 2020, 6, 402–409. [Google Scholar] [CrossRef]
- Choi, B.C.; Kim, Y.K.; Jhung, W.N.; Lee, C.H.; Hwang, C.Y. Experimental investigation on melting characteristics of frozen urea-water-solutions for a diesel SCR de-Nox-system. Appl. Therm. Eng. 2013, 50, 1235–1245. [Google Scholar] [CrossRef]
- Jeong, S.; Kim, H.; Kim, H.; Kwon, O.; Park, E.; Kang, J. Optimization of the urea injection angle and direction: Maximizing the uniformity index of selective catalytic reduction system. Energies 2020, 14, 157. [Google Scholar] [CrossRef]
- Kim, Y.; Raza, H.; Lee, S.; Kim, H. Study on the thermal decomposition rate of ammonium carbamate for a diesel NOx reducing agent-generating system. Fuel 2020, 267, 117306. [Google Scholar] [CrossRef]
- Kim, H.; Yoon, C.; Lee, J.; Lee, H. A study on the solid ammonium SCR system for control of diesel NOx emissions. SAE Int. 2014. [Google Scholar] [CrossRef]
- Lacin, F.; Kotrba, A.; Hayworth, G.; Sullivan, H.; Tatur, M.; Jacques, J.; Tomazic, D.; Cho, H. Solid SCR: Demonstrating an improved approach to NOx reduction via a solid reductant. SAE Int. 2011. [Google Scholar] [CrossRef]
- Costa, M.; Oliva, A.; Perez Segarra, C.D.; Alba, R. Numerical simulation of solid-liquid phase change phenomena. Comput. Methods Appl. Mech. Eng. 1991, 91, 1123–1134. [Google Scholar] [CrossRef]
- Huo, Y.; Rao, Z. Lattice Boltzmann simulation for solid-liquid phase change phenomenon of phase change material under constant heat flux. Int. J. Heat Mass Transf. 2015, 86, 197–206. [Google Scholar] [CrossRef]
- Chabot, C.; Gosselin, L. Solid-liquid phase change around a tube with periodic heating and cooling: Scale analysis, numerical simulations and correlations. Int. J. Therm. Sci. 2017, 112, 345–357. [Google Scholar] [CrossRef]
- Gong, S.; Cheng, P. A lattice Boltzmann method for simulation of liquid-vapor phase-change heat transfer. Int. J. Heat Mass Transf. 2012, 55, 4923–4927. [Google Scholar] [CrossRef]
- Fang, W.Z.; Tang, Y.Q.; Yang, C.; Tao, W.Q. Numerical simulations of the liquid-vapor phase change dynamic processes in a flat micro heat pipe. Int. J. Heat Mass Transf. 2020, 147, 119022. [Google Scholar] [CrossRef]
- Kim, C.; Lee, J.; Lee, K.S. Numerical modeling of frost growth and densification on a cold plate using frost formation resistance. Int. J. Heat Mass Transf. 2017, 115, 1055–1063. [Google Scholar] [CrossRef]
- Zhang, C.; Bu, X.; He, J.; Liu, C.; Lin, G.; Miao, J. Simulation of evaporation and sublimation process in porous plate water sublimator based on a reduced CFD model. Int. J. Heat Mass Transf. 2020, 154, 119787. [Google Scholar] [CrossRef]
- Zadravec, M.; Casar, Z.; Hribersek, J.R.M. CFD based determination of sublimation mass flux for lyophilization inside a vial. Int. J. Comput. Methods Exp. Meas. 2020, 8, 47–60. [Google Scholar] [CrossRef]
- Ahn, C.; Lee, H.; Lee, M.; Chang, Y.; Han, K.; Rhee, C.; Kim, J.; Chun, H.; Park, J. Determination of Ammonium Salt/Ion Speciation in the CO2 Absorption Process Using Ammonia Solution: Modeling and Experimental Approaches. Energy Procedia. 2011, 4, 541–547. [Google Scholar] [CrossRef] [Green Version]








| Description | Density [kg/m3] | Viscosity [Pa-s] | Specific Heat [J/kg-K] | Thermal Conductivity [W/m-K] | |
|---|---|---|---|---|---|
| Fluid | Air | 0.898 | 2.264 × 10−5 | 1011 | 0.032 |
| Ammonia | 0.689 | 1.015 × 10−5 | 2158 | 0.025 | |
| Carbon Dioxide | 0.730 | 1.801 × 10−5 | 908 | 0.022 | |
| Water | 965.3 | 0.315 × 10−3 | 4206 | 0.675 | |
| Solid | SUS 304 | 7930 | - | 502 | 16.2 |
| Insulator (Urethane) | 70 | - | 1045 | 0.026 | |
| Ammonia Carbamate | 1380 | - | 1670 | 2.0 | |
| Glass | 2800 | - | 750 | 0.7 | |
Publisher’s Note: MDPI stays neutral with regard to jurisdictional claims in published maps and institutional affiliations. |
© 2021 by the authors. Licensee MDPI, Basel, Switzerland. This article is an open access article distributed under the terms and conditions of the Creative Commons Attribution (CC BY) license (https://creativecommons.org/licenses/by/4.0/).
Share and Cite
Woo, S.-H.; Noh, J.-H.; Raza, H.; Kim, H. Numerical Modeling of Sublimation of Ammonium Carbamate Applied to Supply System of NOx Reductant. Energies 2021, 14, 3795. https://doi.org/10.3390/en14133795
Woo S-H, Noh J-H, Raza H, Kim H. Numerical Modeling of Sublimation of Ammonium Carbamate Applied to Supply System of NOx Reductant. Energies. 2021; 14(13):3795. https://doi.org/10.3390/en14133795
Chicago/Turabian StyleWoo, Sang-Hee, Jung-Hun Noh, Hassan Raza, and Hongsuk Kim. 2021. "Numerical Modeling of Sublimation of Ammonium Carbamate Applied to Supply System of NOx Reductant" Energies 14, no. 13: 3795. https://doi.org/10.3390/en14133795
APA StyleWoo, S.-H., Noh, J.-H., Raza, H., & Kim, H. (2021). Numerical Modeling of Sublimation of Ammonium Carbamate Applied to Supply System of NOx Reductant. Energies, 14(13), 3795. https://doi.org/10.3390/en14133795

