Study on the Convective Heat Transfer and Fluid Flow of Mini-Channel with High Aspect Ratio of Neutron Production Target
Abstract
:1. Introduction
2. Experimental Analysis
2.1. Experimental Setup
2.2. Data Acquisition
2.3. Experimental Uncertainty Analysis
3. Numerical Analysis
3.1. Solution Domains and Boundary Conditions
3.2. Governing Equations
3.3. Solution and Grid Independence
4. Results and Discussion
4.1. Analysis of Heat Transfer Characteristics
4.2. Flow Characteristics Analysis
4.3. Comparison of Experimental and Numerical Simulation
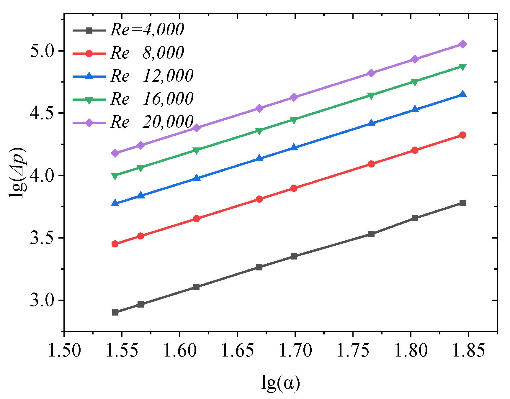
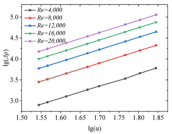
4.4. Influence of Aspect Ratio on Flow Resistance
5. Conclusions
- The classical empirical formula of the circular tube cannot be used to predict the heat transfer coefficient of mini-channels with a large aspect ratio. After the characteristic length is corrected according to the aspect ratio, it can be predicted by the empirical formula of the rectangular channel. The simulation results of the K-Omega SST model are in good agreement with the experimental results, which verifies the correctness of the numerical method and can be used for target design.
- The correlation between mini-channel pressure drop and aspect ratio was obtained, and the absolute error between the correlation and the experimental value was 6%.
- The critical Re of the rectangular mini-channel is between 2800 and 3800.
Author Contributions
Funding
Acknowledgments
Conflicts of Interest
Nomenclature
| Hydraulic diameter, - | |
| W | Width of the heating surface, m |
| S | Channel area, m2 |
| Length of the heating surface, m | |
| H | Height of the heating surface, m |
| P | Wet perimeter, m |
| Inlet temperature, K | |
| Outlet temperature, K | |
| Heating power, W | |
| Density, Kg/m3 | |
| Specific heat capacity, J/kg K−1 | |
| Volume flow, m3/s | |
| Heat transfer coefficient, Wm−2 K−1 | |
| Heat exchange area, m2 | |
| Heat transfer surface average temperature, °C | |
| Temperature of heater section in back row thermometer position, °C | |
| Temperature of heater section in up row thermometer position, °C | |
| Nusselt number, - | |
| Fluid thermal conductivity, Wm−1 K−1 | |
| Reynolds number, - | |
| Average axial velocity, m/s | |
| Pressure drop, kpa | |
| Thermometer distance, m | |
| Resistance coefficient, - | |
| Absolute uncertainty, - | |
| Independent parameter, - | |
| Geometric function, - | |
| Prandtl number, - | |
| Effective diffusion coefficient, - | |
| Turbulent dissipation, - | |
| k | Turbulent kinetic energy, J |
| ω | Specific dissipation rate, - |
| Dynamic viscosity, pa/s | |
| Aspect ratio, - |
References
- Wilcox, D.; Loveridge, P.; Davenne, T.; Jones, L.; Jenkins, D. Stress levels and failure modes of tantalum-clad tungsten targets at ISIS. J. Nucl. Mater. 2017, 506, 76–82. [Google Scholar] [CrossRef] [Green Version]
- Naoe, T.; Futakawa, M. Pressure wave-induced cavitation erosion in narrow channel of stagnant mercury. Trans. JSME 2014, 80, fe0025-1-12. (In Japanese) [Google Scholar]
- Riemer, B.; Wohlmuther, M.; Takada, H.; Takashi, N. Spallation Target Developments. In Proceedings of the ThEC13 Conference, Geneva, Switzerland, 27–31 October 2013; pp. 273–277. [Google Scholar]
- Tuckerman, D.B.; Pease, R.F.W. High-performance heat sinking for VLSI. IEEE Electr. Device Lett. 1981, 2, 126–129. [Google Scholar] [CrossRef]
- Murshed, S.; Nieto, C. A critical review of traditional and emerging techniques and fluids for electronics cooling. Renew. Sustain. Energy Rev. 2017, 78, 821–833. [Google Scholar] [CrossRef]
- Kilic, M.; Aktas, M.; SeVilgen, G. Thermal Assessment of Laminar Flow Liquid Cooling Blocks for LED Circuit Boards Used in Automotive Headlight Assemblies. Energies 2020, 13, 1202. [Google Scholar] [CrossRef] [Green Version]
- Liu, N.X.; Chen, H.; Wang, X.; Kefayati, G. Study on Surface Condensate Water Removal and Heat Transfer Performance of a Minichannel Heat Exchanger. Energies 2020, 13, 1065. [Google Scholar] [CrossRef] [Green Version]
- Ghasemi, S.E.; Ranjbar, A.A.; Hosseini, M.J. Experimental and numerical investigation of circular minichannel heat sinks with various hydraulic diameter for electronic cooling application. Microelectron. Reliab. 2017, 73, 97–105. [Google Scholar] [CrossRef]
- Yang, X.H.; Tan, S.C.; Ding, Y.J.; Liu, J. Flow and thermal modeling and optimization of micro/mini-channel heat sink. Appl. Therm. Eng. 2017, 117, 289–296. [Google Scholar] [CrossRef]
- Muhammad, S.A.; Anwar, Z.; Mujtaba, M.A.; Soudagar, M.E.M.; Badruddin, I.A.; Safaei, M.R.; Iqbal, A.; Afzalgk, A.; Razzaqa, L.; Khidmatgar, A.; et al. Two-phase frictional pressure drop with pure refrigerants in vertical mini/micro-channels. Case Stud. Therm. Eng. 2021, 23, 100824. [Google Scholar]
- Bagherzadeh, S.A.; Jalali, E.; Sarafraz, M.M.; Akbari, O.A.; Karimipour, A.; Goodarzi, M.; Bach, Q.V. Effects of magnetic field on micro cross jet injection of dispersed nanoparticles in a microchannel. Int. J. Numer. Method Heat 2020, 30, 2683–2704. [Google Scholar] [CrossRef]
- Jasiński, P.B.; Kowalczyk, M.J.; Romaniak, A.; Warwas, B.; Obidowski, D.; Gutkowski, A. Investigation of Thermal-Flow Characteristics of Pipes with Helical Micro-Fins of Variable Height. Energies 2021, 14, 2048. [Google Scholar] [CrossRef]
- Fialová, D.B.; Jegla, Z. Experimentally Verified Flow Distribution Model for a Composite Modelling System. Energies 2021, 14, 1778. [Google Scholar] [CrossRef]
- Forrest, E.C.; Hu, L.W.; Buongiorno, J.; McKrell, T.J. Convective Heat Transfer in a High Aspect Ratio Mini-channel Heated on One Side. J. Heat Transf. 2015, 138, 021704. [Google Scholar] [CrossRef]
- Wei, Z.Z.; Gao, L.S. Simulation and Experimental Research on Heat Transfer of Metal Microchannel Heat-sink. Vac. Cryog. 2020, 26, 131–138. [Google Scholar]
- Muhammad, A.; Selvakumar, D.; Wu, J. Numerical investigation of laminar flow and heat transfer in a liquid metal cooled mini-channel heat sink. Int. J. Heat Mass Transf. 2020, 150, 119265. [Google Scholar] [CrossRef]
- Ahmadi, A.A.; Arabbeiki, M.; Muhammad A., H.; Goodarzi, M.; Safaei, M.R. Configuration and Optimization of a Minichannel Using Water-Alumina Nanofluid by Non-Dominated Sorting Genetic Algorithm and Response Surface Method. Nanomaterials 2020, 10, 901. [Google Scholar] [CrossRef]
- Hassan, M.; Sadri, R.; Ahmadi, G.; Dahari, M.B.; Kazi, S.N.; Safaei, M.R.; Sadeghinezhad, E. Numerical Study of Entropy Generation in a Flowing Nanofluid Used in Micro- and Minichannels. Entropy 2013, 15, 144–155. [Google Scholar] [CrossRef] [Green Version]
- Zheng, W.; Sun, J.J.; Ma, C.B.; Yu, Q.P.; Zhang, Y.N.; Niu, T. Numerical Study of Fluid Flow and Heat Transfer Characteristics in a Cone-Column Combined Heat Sink. Energies 2021, 14, 1605. [Google Scholar] [CrossRef]
- Worwood, D.; Marco, J.; Kellner, Q.; Hosseinzadeh, E.; McGlen, R.; Mullen, D.; Lynn, K.; Greenwood, D. Experimental Analysis of a Novel Cooling Material for Large Format Automotive Lithium-Ion Cells. Energies 2019, 12, 1251. [Google Scholar] [CrossRef] [Green Version]
- Allio, A.; Difonzo, R.; Leggieri, A.; Legrand, F.; Marchesin, R.; Savoldi, L. Test and Modeling of the Hydraulic Performance of High-Efficiency Cooling Configurations for Gyrotron Resonance Cavities. Energies 2020, 13, 1163. [Google Scholar] [CrossRef] [Green Version]
- Li, S.L.; Zhao, Z.C.; Zhang, Y.Z.; Xu, H.J.; Zeng, W.Q. Experimental and Numerical Analysis of Condensation Heat Transfer and Pressure Drop of Refrigerant R22 in Minichannels of a Printed Circuit Heat Exchanger. Energies 2020, 13, 6589. [Google Scholar] [CrossRef]
- Moody, L. Friction Factors for Pipe Flow. Trans. ASME 1944, 66, 671–684. [Google Scholar]
- Incropera, F.P.; Dewitt, D.P.; Bergman, T.L.; Lavine, A.S. Fundamentals of Heat Mass Transfer; John-Wiley Sons: New York, NY, USA, 1996. [Google Scholar]
- Schultz., R.; Cole, R. Uncertainty analysis in boiling nucleation. Aiche Symp. Ser. 1979, 7532–7538. [Google Scholar]
- Roache, P.J. Perspective: A method for uniform reporting of grid refinement studies. J. Fluids Eng. 1994, 116, 405–413. [Google Scholar] [CrossRef]
- Gnielinski, V. New equations for heat and mass transfer in turbulent pipe and channels flow. Int. Chem. Eng. 1976, 16, 359–368. [Google Scholar]
- Shah, R.K. Laminar flow friction and forced convection heat transfer in ducts of arbitrary geometry. Int. J. Heat Mass Transf. 1975, 18, 849–862. [Google Scholar] [CrossRef]
- Bhatti, M.S.; Shah, R.K. Turbulent and Transition Flow Convective Heat Transfer in Ducts. In Handbook of Single-Phase Convective Heat Transfer; John-Wiley Sons: New York, NY, USA, 1987. [Google Scholar]
- Jones, O.C. An improvement in the calculation of turbulent friction in rectangular ducts. J. Fluid Eng. ASME 1976, 98, 173–180. [Google Scholar] [CrossRef]













| Physical Properties | Expression Function |
|---|---|
Publisher’s Note: MDPI stays neutral with regard to jurisdictional claims in published maps and institutional affiliations. |
© 2021 by the authors. Licensee MDPI, Basel, Switzerland. This article is an open access article distributed under the terms and conditions of the Creative Commons Attribution (CC BY) license (https://creativecommons.org/licenses/by/4.0/).
Share and Cite
Sun, P.; Lu, Y.; Tong, J.; Lu, Y.; Liang, T.; Zhu, L. Study on the Convective Heat Transfer and Fluid Flow of Mini-Channel with High Aspect Ratio of Neutron Production Target. Energies 2021, 14, 4020. https://doi.org/10.3390/en14134020
Sun P, Lu Y, Tong J, Lu Y, Liang T, Zhu L. Study on the Convective Heat Transfer and Fluid Flow of Mini-Channel with High Aspect Ratio of Neutron Production Target. Energies. 2021; 14(13):4020. https://doi.org/10.3390/en14134020
Chicago/Turabian StyleSun, Peng, Yiping Lu, Jianfei Tong, Youlian Lu, Tianjiao Liang, and Lingbo Zhu. 2021. "Study on the Convective Heat Transfer and Fluid Flow of Mini-Channel with High Aspect Ratio of Neutron Production Target" Energies 14, no. 13: 4020. https://doi.org/10.3390/en14134020
APA StyleSun, P., Lu, Y., Tong, J., Lu, Y., Liang, T., & Zhu, L. (2021). Study on the Convective Heat Transfer and Fluid Flow of Mini-Channel with High Aspect Ratio of Neutron Production Target. Energies, 14(13), 4020. https://doi.org/10.3390/en14134020

